1.函数在某个点的斜率
2.导数
3.可微分
4.微分
5.导函数
6.微分算子
7.微分常用性质
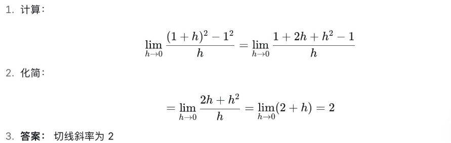
1.函数在某个点的斜率
求两个点的斜率(割线)公式可写为: k = y2 - y1 / x2 - x1 =🔺y /🔺x , 当割线非常靠近某一个点, 则🔺x 会越来越
小, 则该点的斜率可通过极限的方式计算:

求f(x) = x^2 在x = 1处的切线斜率

2.导数
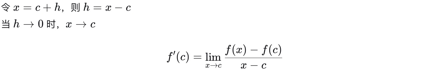
导数描述的是"函数在某一点处的瞬时变化率(切线斜率)"

几何意义: "函数图像在(x0, f(x0))处的切线斜率"

当x = c + h时, h -> 0, 那么x -> c

3.可微分
1).函数在某一个点可微分表示能够"计算函数在该点的导数和微分"
2).如何求解判断函数在该点是否可微分
a.图像在该点是连在一起的, 没有跳跃; 可以一笔把它画过去, 中间不需要抬笔
b.函数在该点存在唯一的切线(左导数和右导数相同)
3).实例: y = |x| (绝对值函数)
a.检查连续性, 当x从左边和右边趋近于0, 函数值y都趋近于0, 函数在x = 0处是连续的
b.检查左导数和右导数是否相同, 左边看, 导数是-1; 右边看, 导数是1
c.所以函数y = |x|在x = 0处不可微

4.微分
1).微分dy表示: "自变量发生一个微小变化dx时, 沿着函数的切线(不是沿着曲线本身), 计算出的函数值的变化率"
2).函数y = f(x)在x0处可微, 那么它在这一点微分定义为

5.导函数
导函数是求解导数的函数, 描述的是y随x变化的快慢
a.导函数的定义式

导函数本身是一个函数, 它的自变量是x, 因变量是原函数f(x)在x点处的导数值
6.微分算子
a.微分是一种数学运算过程, 用来求函数的变化率

"微分是一个动词, 描述是一个过程"
b.微分算子是一种数学符号, 用来表示微分运算, 常见的微分算子:
d / dx, D, dy / dx, df / dx

7.微分常用性质
"常数的导数是0"
