初等变换与初等矩阵
矩阵有三种初等变换(以行为例、列同理):
1、交换任意两行
2、某一行同乘一个不为0的数
3、某一行同乘一个不为0的数再加到零一行
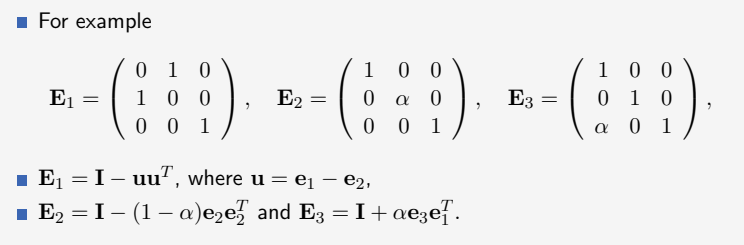
三种初等变换对应了三种初等矩阵,例如我想要互换矩阵A(三阶方阵)的一二行,就可以对其左乘下图的第一个矩阵。

下面的两个公式是对初等矩阵进行分解,变为可以套用上一节介绍的公式(矩阵和的逆)的形式。
我多说一下如何快速看出一个初等矩阵的逆矩阵,帮助大家理解初等矩阵如何表示初等变换的。
我们根据矩阵逆的定义可以知道,如果想求上图E1的逆,那就需要找出能让它变成单位矩阵的那个矩阵,其实非常简单,只需要将它的一二行互换就可以了,如果你还记得E1的作用(左乘互换一二行),就会发现只要用E1乘以它自己就可以得到单位矩阵(左乘右乘都可以),也就是说
对于互换类初等矩阵,它的逆就是它自己
上图E2,它的作用(左乘:将第二行变为原来的α倍),如果希望它变成单位矩阵,只需要左乘一个和它一模一样的矩阵,只不过把中间的α换成1/α,也就是说
对于倍乘类初等矩阵,它的逆就是将它倍乘的那一行变为原来的倒数
上图E3,它的作用(左乘:将第一行的α倍加到第三行),如果希望它变成单位矩阵,只需要左乘一个和它一模一样的矩阵,只不过把α的位置换成-α,也就是说
对于倍加类初等矩阵,它的逆就是将它倍乘相加的数变为相反数
下面给出这三个矩阵的逆:

矩阵的等价
定义:如果矩阵A可以经过若干次初等行或列变换变成矩阵B,那么称A与B等价。

矩阵等价是有传递性的。
![]()
证明如下:



我们由高斯-约当消去法(就是解线性方程组,先化成上三角再把主元所在列的其余元素变为0的那个)可以知道,如果矩阵A的秩为n,那么这个矩阵一定等价于它的秩标准型,其中


显然可以知道,所有等价的矩阵必然有相同的秩标准型。
LU分解
U指上三角矩阵,L指下三角矩阵,凡是高斯消元法没有进行换行需求的矩阵(即不进行初等变换E1)的矩阵都可以进行LU分解。(我们后续可以通过改造这样的矩阵来使其能进行LU分解)。下面介绍LU分解的思路:
其实我们回忆一下高斯消去法,它的过程就是将一个矩阵逐渐变为一个上三角矩阵,举例:

对于这样一个矩阵我们先进行两次行变换(、
),再进行一次行变换(
),就将其变为了一个上三角矩阵。根据我们最开始提到的,行变换实际上可以用左乘初等矩阵来描述


对矩阵A左乘上,就得到了上三角矩阵U。
这里大家可以自己计算一下(我们前面讲了如何快速求初等矩阵的逆),可以发现结果恰好是一个下三角矩阵(其实可以证明,任意下三角矩阵的乘积仍然是下三角矩阵,上三角也同理,这个是第一次作业的题)
由此可以看到:
如果,那么

LU分解的计算过程是比较好理解的。这里补充一些关于上(下)三角矩阵的东西,上三角矩阵的定义是主对角线元素以下全为0的矩阵,也就是说,全0矩阵也是上(下)三角矩阵。LU分解后的两个矩阵,L矩阵的主对角线元素全为1,U矩阵的主对角线元素不为0。
LU 分解要求 L 是 “单位下三角矩阵”,其元素仅记录行倍加的乘数。但换行操作(交换两行)无法用 “行倍加变换” 表示,因此凡是需要换行的矩阵都无法进行LU分解
LU分解可以很好的求解线性方程组,因为上(下)三角矩阵都可以不通过消元来直接得出解:

这个例子可以方便大家理解上图:

LU分解的条件——方阵且顺序主子式全不为零
这里其实有一个问题,我在查资料的过程中有两种说法,第一种认为必须所有的顺序主子式都不为零,另一种认为只需要前n-1阶都不为零,这里应该是区分了标准LU分解与广义LU分解,按照课件上来说,我认为老师讲得应该是标准LU分解,即必须所有的顺序主子式都不为0。
PLU分解
有没有一个办法能让所有的矩阵都进行LU分解呢?我们之前提到了,不能进行LU分解的原因是L矩阵的元素仅能记录倍加乘数,无法记录换行,那么有没有一种方法可以记录换行呢?
比如说,我们先对A矩阵提前进行所有的行变换P,得到PA矩阵,保证其在高斯消元的过程中不出现行变换,那么PA矩阵不就可以进行LU分解了吗?但是这样有一个问题,我们如何提取知道高斯消元需要进行多少行变换呢?实际上有这样一个方法:

我们来详解这个过程,首先使用A的增广A|p来记录A矩阵的各行,p向量只参与记录行互换,不参与运算。
第一步:采用部分主元法,选择第一列中绝对值最大的元素与第一行互换,由于是互换,p向量也需要改动。
第二步:进行高斯消元,将第一列中除了4以外的所有元素都消为0,这里黑体表示的1/4,1/2,-3/4,是第二行减去第一行的1/4,第三行减去第一行的1/2,第四行加上第一行的3/4,这里为了方便后面直接写出下三角矩阵L,没有写0,而是将高斯消元的系数记录下来,减去记为正,加上记为负。这里是倍加倍减,p向量不参与运算。
第三步:继续采用部分主元法,选择第二列中除第一行外绝对值最大的元素与第二行互换,由于是互换,p向量也需要改动。
第四步:进行高斯消元,将第二列中除8、5外的所有元素都消为0,将第三行加上第二行的-1/5,p向量不参与运算。
第五步:选择第三列中的最大主元,由于其就是第三行的-6,不需要进行互换。用第四列减去第三列的1/3,p向量不参与运算。
至此,已经通过高斯消去完成了一个上三角矩阵,LU分解结束。这里计算时需要注意,黑体所写的并不是矩阵中实际的元素,只是记录高斯消去的系数方便我们写出L矩阵,它们实际上都是0。P矩阵应该是很容易根据p向量观察出来的。

所有矩阵都可以进行PLU分解,PLU分解求解线性方程组的过程如上。
LDU分解
其实没什么可讲的,它是 LU 分解的一种对称化形式,把一个矩阵变成单位下三角矩阵,对角矩阵,单位上三角矩阵,一看就明白。

6606

被折叠的 条评论
为什么被折叠?



