【Unity Shader】常用光照计算公式
最新推荐文章于 2025-02-27 16:44:25 发布
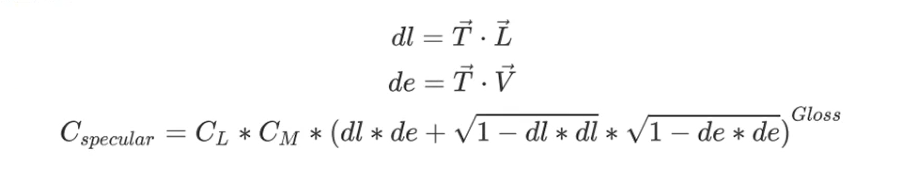
这篇博客详细介绍了Unity中光照计算的相关知识,包括兰伯特漫反射、半兰伯特漫反射、高光反射以及各向异性高光。通过讲解光照模型如Phong和Blinn-Phong模型,深入理解3D渲染中物体表面光照的计算过程,涉及公式包括环境光、漫反射光和镜面高光的计算。
这篇博客详细介绍了Unity中光照计算的相关知识,包括兰伯特漫反射、半兰伯特漫反射、高光反射以及各向异性高光。通过讲解光照模型如Phong和Blinn-Phong模型,深入理解3D渲染中物体表面光照的计算过程,涉及公式包括环境光、漫反射光和镜面高光的计算。

被折叠的 条评论
为什么被折叠?