题目
题目描述
给定一个二叉树的根节点 root ,返回 它的 中序 遍历 。
示例 1:

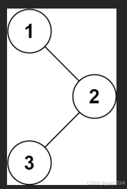
输入:root = [1,null,2,3]
输出:[1,3,2]
示例 2:
输入:root = []
输出:[]
示例 3:
输入:root = [1]
输出:[1]
提示:
树中节点数目在范围 [0, 100] 内
-100 <= Node.val <= 100
题解
中序遍历(Inorder Traversal)是二叉树的一种遍历方式,其遍历顺序为:先访问左子树,然后访问根节点,最后访问右子树。对于每个子树来说,也是遵循相同的访问顺序。这种遍历方法特别适用于二叉搜索树(BST),因为在BST中进行中序遍历会按照升序访问节点。
解题思路
为了实现中序遍历,我们可以使用递归或迭代的方法:
- 递归法:这是最直观的方法。我们定义一个辅助函数来进行递归调用,在这个过程中,首先递归访问左子树,然后访问当前节点,最后递归访问右子树。
- 迭代法:通过显式地使用栈来模拟递归调用的过程。开始时将所有左侧节点压入栈中,直到遇到没有左孩子的节点为止;然后弹出栈顶元素并访问它,接着转向它的右子树,并重复上述过程。
下面分别给出这两种方法的 Python 实现代码:<

最低0.47元/天 解锁文章
1246

被折叠的 条评论
为什么被折叠?



