OFDM系统中改进的μ律压扩技术分析
摘要
在采用正交频分复用(OFDM)调制方案的宽带通信系统中,发射信号的高峰均功率比(PAPR)是一个常见问题,会导致发射机功耗增加。在影响移动终端电池寿命和基础设施运行成本的消费类应用中,这一问题直接影响客户满意度。近年来,压扩技术被用于缓解高PAPR问题。本文提出一种带偏移的压扩方案,结合两个非线性压扩级别,在保持可接受误码率(BER)水平的同时实现更优的PAPR降低效果,从而提高电子产品的能效。研究案例包括了有无偏移时压扩对OFDM信号的影响。本文还提出了一种针对所提压扩方案误码率的新型闭式近似方法,并将其准确性与仿真结果进行了比较。基于等高线图提出了一种选择最佳压扩参数的方法。此外,通过现场可编程门阵列(FPGA)实现了实时OFDM系统的真实仿真,并对其进行了评估。
索引术语 —正交频分复用(OFDM),压扩,PAPR降低,现场可编程门阵列(FPGA)。
I. 引言
正交频分复用(OFDM)是现代宽带有线和无线通信系统中一种成熟的调制技术。由于其对多径衰落具有较强的抗干扰能力以及更高的频谱效率,OFDM目前已被应用于多种流行的消费电子产品中,包括移动设备手机、基于WiFi的电子设备(如平板电脑、笔记本电脑)及其支持的无线网络。然而,OFDM信号有一个关键缺点,即峰均功率比(PAPR)较高,约为12 dB [1]。如果发射机中的功率放大器工作在最大直流/射频转换效率状态,这可能导致带内谱扩展和带外辐射(谱再生)。
此外,高峰均功率比要求收发系统的混频器、数模转换器和模数转换器模块具有高动态范围。这给设计工程师和电子行业都带来了额外的限制,导致产品成本更高。由于个人通信领域的巨大商业增长,以及功率放大器(PAs)消耗了约25%的手持设备功耗[1],提高功率放大器的效率被视为首要任务。
许多技术已被提出用于降低OFDM系统的峰均功率比,包括削波和滤波[2]-[3]、编码[4]-[5]以及多信号表示技术[6]-[7],如部分传输序列(PTS)等。非线性压扩变换方案[8]-[12]是另一种颇具吸引力的选择,因其性能良好且易于在基带级别实现。
压扩方案压缩较大幅度信号并扩展较小幅度信号,从而实现较低PAPR。然而,所有压扩技术都被视为失真方法,因为它们会通过限制信号包络而破坏信号。此外,由于其固有的非线性特性,这些方法对信道噪声也非常敏感。
文献中已提出多种压扩变换以降低PAPR。μ‐律压扩方案最初在语音信号处理中提出[13]。较低的PAPR可放宽对功率放大器(PA)的线性要求,从而提高效率,实现节能。通常情况下,节能程度与压扩等级成正比。然而,由于接收机中执行的操作与发射机中相反,信道噪声的影响变得更加明显,导致整个系统的误码率(BER)恶化,从而抵消了PAPR的改善效果。文献[14]中的作者提出了一种双曲正切函数(HT)技术来降低PAPR,解决了压扩引起的平均功率增加问题,并提出了一种归一化方法。
针对线性特性,一种新型线性非对称变换(LNST)表现更优。在[15]中提出了一种基于对数的变换。其主要思想是将OFDM信号的大、小幅度视为具有一个拐点的两个独立部分。
本文提出了一种改进的双μ律压扩方案(ITMs),旨在实现比传统压扩方案更优的PAPR降低效果,同时保持收发系统可接受的误码率性能。该方法的核心思想是通过一个阈值将OFDM信号使用两个不同的μs值进行扩展,并引入一个偏移量以消除两个压扩电平之间产生的陡峭阶跃。仿真结果表明,与现有压扩方案相比,该方案实现了更好的PAPR/BER权衡。此外,与其他一些技术不同,该方案无需额外系统带宽。
通过降低信号PAPR而不增加系统成本,应能持续减少电子设备(收发系统)的功耗以及电池供电设备的充电频率。这对于手持式电子产品和基站等固定基础设施均适用。此外,降低这些广泛应用的电子设备的功耗最终将对环境产生积极影响。
在接下来的讨论中,第二节详细介绍了OFDM收发机基带系统和提出的压扩方案。第三节讨论了为获得更好的PAPR/BER权衡而选择压扩电平的方法。第四节比较了不同压扩方案下的系统性能。第五节描述了误比特概率的数学分析。第六节展示了提出的技术的FPGA实现,第七节对全文进行了总结。
II. 系统结构
图1展示了一个典型的基于OFDM的系统的框图。在发射链中,符号映射采用正交幅度调制(QAM),星座图的I和Q部分中的每个符号Sk具有独特的幅度和相位。对这些符号应用IFFT以生成OFDM符号,如下所示:
$$
x(n) = \frac{1}{\sqrt{N}} \sum_{k=0}^{N-1} S_k e^{j \frac{2\pi kn}{N}}, \quad n = 0, 1, …, N-1
$$
其中N为子载波数量。为了逼近连续OFDM信号的峰均功率比,对离散信号进行过采样。通过在符号Sk中补零(L-1)N个来实现过采样因子L的过采样。本文中L=4。离散OFDM信号的峰均功率比定义为:
$$
PAPR = \frac{\max(|x(n)|^2)}{E[|x(n)|^2]}
$$
其中 E[.]表示期望算子。x(n)的实部和虚部分别独立,且均服从零均值、方差为σ²=E[|Sk|²]/2的高斯分布。
在传输之前,数字信号被压扩,然后使用数模(D/A)转换器转换到模拟域。模拟OFDM信号通过时不变加性高斯白噪声(AWGN)信道进行传输。在接收机中,将执行与前述相反的过程,恢复的输出比特是输入二进制数据比特的估计值。
在本研究中,仿真了一个典型的OFDM收发系统,以分析使用以下规格的各种压扩方案的影响:256个子载波、1024点IFFT/FFT,以及通过16QAM调制的随机生成输入数据。
A. μ律压扩
μ律压扩方案是一种基于对数的非线性机制,用于降低PAPR。该技术通过放大信号的小幅度部分,从而减小峰值与小值之间的差异[13]。其输出的数学表达式中,μ律压扩和解压算法分别为$D(x)$和$D(r)$。
$$
D(x) = \text{sgn}(x) \frac{\log(1 + \mu |x|/\nu)}{\log(1 + \mu)}
$$
$$
D(r) = \nu \cdot \text{sgn}(r) \frac{e^{|r| \log(1 + \mu)/\mu} - 1}{\mu}
$$
其中x是基带OFDM信号,r是经过信道后的接收信号,ν是信号x的最大幅度,μ是压扩等级,sign(.)是符号函数。在后续分析中,压扩和解压功能(如公式(3)和(4))将分别应用于I和Q信号。
图2显示了改变μ对PAPR和误码率的影响。显然,在低μ值时,PAPR迅速下降,而在高值时趋于平缓,而误码率则几乎随着μ持续变化。因此,显然为了获得最佳效果,应选择较小的μ-值。
B. 双μ压扩
在该技术中,压扩操作引入了一个阈值 α,使得信号在低于阈值时以μ₁值进行压扩,而其余部分则应用μ₂。
如图3(a)所示。通过这种配置,可以根据系统要求调整μ和阈值,以实现最佳PAPR和BER性能[16]。尽管这超出了本文的范围,但此类自适应操作的实际实现将包括基于使用文献[17]中提出的误差矢量幅度(EVM)来评估BER的发射机与接收机之间的闭环反馈。
系统PAPR和误码率的典型结果如图3(b)-(c)所示。从仿真结果可以看出,该技术在实现更优的PAPR降低的同时,具有可接受的误码率或信噪比增加,性能优于μ律压扩方案。对于该方案,在μ₁,₂= 3, 2时获得的最佳值为ΔPAPR= 3.3分贝和ΔSNR= 0.4分贝,净增益达到2.9分贝。这优于μ律的ΔPAPR = 3.3分贝和ΔSNR = 0.7分贝,后者净增益为2.6分贝。上述中,ΔPAPR表示PAPR的改善或降低量,而ΔSNR表示为保持误码率在10⁻⁴水平不变所需的信噪比增加量。
然而,上述两种μs系统的缺点是引入了阶跃。这使得接收机处的解压过程更加复杂,特别是当μ₁ > μ₂ 时,如图3(a)中所示(实线红色轨迹)。压扩信号的两个值会表现为一个值,导致在接收机端很难区分它们。因此,为了在实时系统中成功恢复原始信号,必须在传输数据时附加信息,从而导致更高的系统带宽。此外,在压扩和解压信号中出现阶跃是极不希望的,因为这会导致信号失真并产生更高噪声。
C. 所提方案——改进的双μ压扩
所提出的压扩机制的思路是在较低PAPR与误码率的可接受劣化之间实现最佳折衷,同时便于实际实现。
为了弥补TMs方案的不足,通过引入一种方法消除了阈值处的阶跃。偏移导致从μ₁到μ₂的平滑过渡,如图3(a)所示。图3(b)-(c)中的红色轨迹说明了该方法应用于双μ律方案时对峰均功率比和BER性能的影响。显然,添加偏移同时改善了峰均功率比和误码率性能。
改进的双μ律方案(ITMs)压扩和去压扩变换输出的数学表达式分别为$D_{ITM}(x; \mu_1, \mu_2)$和$D_{ITM}(r; \mu_1, \mu_2)$,可以表示为:
$$
D(x; \mu_1) = \text{sgn}(x) \frac{\log(1 + \mu_1 |x|/\nu)}{\log(1 + \mu_1)}, \quad |x| \leq \alpha
$$
$$
D(x; \mu_2) = \text{sgn}(x) \frac{\log(1 + \mu_2 |x|/\nu)}{\log(1 + \mu_2)}, \quad |x| > \alpha
$$
$$
\Delta = \max(D(x; \mu_1)) - \min(D(x; \mu_2))
$$
$$
D_{ITM}(x; \mu_1, \mu_2) =
\begin{cases}
K(\mu_1, \mu_2) D(x; \mu_1), & |x| \leq \alpha \
K(\mu_1, \mu_2)(D(x; \mu_2) - \Delta), & |x| > \alpha
\end{cases}
$$
$$
D_{ITM}(r; \mu_1, \mu_2) =
\begin{cases}
K(\mu_1, \mu_2) \nu \cdot \text{sgn}(r) \frac{e^{|r| \log(1 + \mu_1)/\mu_1} - 1}{\mu_1}, & |r| \leq \beta \
K(\mu_1, \mu_2)\left(\nu \cdot \text{sgn}(r) \frac{e^{(|r| + \Delta) \log(1 + \mu_2)/\mu_2} - 1}{\mu_2}\right), & |r| > \beta
\end{cases}
$$
应用压扩会以基带处理中的数据形式提高OFDM信号的平均功率水平[18]。在本研究中,通过使用归一化因子K(μ₁,μ₂)使压扩信号和未压扩信号的平均功率保持恒定,该因子等于两个信号功率之比的平方根。
需要强调的是,为了使ITMs方案高效工作,μ₁ 应小于μ₂,以便移除阶跃后会导致峰值被压缩,从而实现较低PAPR,如图3(a)所示。更多细节将在下一节中提供。
在接下来的章节中,将进一步分析以验证所提出的方案,并展示一种选择最优μ₁ 和μ₂ 值的方法。
III. 峰均功率比与误码率的μ₁,₂选择
具有约12 dB峰均功率比的OFDM信号,其信号电压均方根/峰值比(SVPR)为0.25。因此,采用0.3作为阈值可将信号分为两部分:一部分是大部分接近平均值的信号,经过μ₁处理;另一部分则是对峰值进行轻微扩展,或在ITMs情况下进行压缩,使用μ₂。通过商用软件进行的大量仿真结果已证实了该阈值选择的合理性。
无偏移,(b) 有偏移。)
图4(a)-(b) 显示了不同μ₁, μ₂和固定 α= 30% 峰值幅度下PAPR(单位为分贝)的等高线图。这些图形仅是发射机端压扩处理的结果。在分析中,μ₁,₂= 0–20 被选为实际限制。随着μ₁和μ₂的增大,PAPR 减小。沿对角线 μ₁= μ₂ 并垂直或水平向更高 μ₁ 或 μ₂,方向移动时,可以明显看出 μ₁ 对 PAPR 的影响远大于 μ₂。这一点在 TMs 方案中尤为明显,其中两个 μ 独立工作,如图3(a)所示。图4(a) 还证实了大部分信号被限制在阈值附近及以下区域。
在图4(b) 中,两个 μ 协同作用以降低 PAPR,其中 μ₁ 主要用于扩展平均值附近的信号,而 μ₂ 则主要用于扩展甚至压缩峰值,特别是在 μ₁< μ₂ 时。两幅图均显示出更强的 μ₁ 依赖性。
在图5(a)-(b)中,误码率也作为μ₁和μ₂的函数绘出,条件为相同的阈值和固定的15 dB 信噪比。与上述情况不同,这两幅图的结果均源于发射机端压扩器的非线性,以及接收机端扩张器与信道噪声的共同作用。总体而言,两幅图均显示,随着μ₁的增大,μ₂应减小以保持误码率恒定。
尽管μ₁的影响仍大于μ₂,但由于到达接收机的压扩信号被放大,其相对于原始信号的峰均功率比高于0.25,并且叠加了信道噪声,使得μ₂对误码率的影响相较于峰均功率比更为显著,这一现象在TMs和ITMs两种模式下均存在。然而,在图5(a)的TMs方案中,在较低区域出现了相反的情况,即μ₁远小于μ₂。在此区域内,μ₁和μ₂应一同增加或减少(阶跃恒定)以保持误码率不变。由于 μ₁较低,发射机非线性的影响极小,因此该行为的主要原因可归结为两个压扩电平之间阈值处所产生阶跃的大小;随着该阶跃增大,相应的信号失真也随之增加,从而导致更高的误码率。
比较图4(b)和图5(b),对于ITMs方案,显然为了最大化PAPR增益,μ₁应大于μ₂,而为了使BER恶化最小,μ₂应大于μ₁。因此,由于应以较低的μ值为目标,仿真结果表明,当μ₂ 大于μ₁时,能够在保持低误码率和良好PAPR降低方面获得最佳效果。
IV. 与其他压扩方案的比较
在基于OFDM的系统背景下,评估了文献中不同的经典压扩方案以及所提出的ITMs方案。这些技术包括传统的μ‐律(μ = 3)、双μ律方案(TMs)(μ₁ = 3,μ₂ = 2, α= 0.3)、改进的TMs(μ₁ = 2,μ₂ = 7, α= 0.3)、双曲正切(HT)方案(a = 0.4 和 b = 0.3),以及具有缩放因子K = 0.5的线性非对称变换(LNST)。表I列出了不同压扩方案在误码率恒定为10⁻⁴时,相对于原始(未压扩)OFDM信号在PAPR降低和额外(超额)信噪比方面的数值结果。
在前述情况下,双曲正切(HT)方案实现了最佳的PAPR降低,达到7.73分贝,但需要额外增加11.2分贝的信噪比以保持误码率恒定。另一方面,最优的额外信噪比是接近原始OFDM信号的情况,TMs方案的额外信噪比为0.4分贝,但其PAPR降低性能仅为3.3分贝。此外,TMs方案需要额外系统带宽来恢复原始信号。然而,ITMs相比TMs方案在没有额外系统要求或复杂性的情况下,提供了更好的净增益(PAPR改善量‐额外信噪比),达到3.1分贝。
表I 不同方案的系统性能结果
| 压扩方案 | PAPR降低 | 额外信噪比 | 净增益 |
|---|---|---|---|
| μ律 @ μ=3 | 3.3 分贝 | 0.7 分贝 | 2.6 分贝 |
| HT | 7.73分贝 | 11.2 分贝 | -3.47 分贝 |
| LNST | 3.23 分贝 | 0.6 分贝 | 2.63 分贝 |
| TM @ μ₁,₂ =3, 2 | 3.3 分贝 | 0.4 分贝 | 2.9 分贝 |
| ITMs @ μ₁,₂ =2, 7 | 3.7 分贝 | 0.6 分贝 | 3.1 分贝 |
V. 误码概率的数学分析
本节讨论了改进的TM压扩OFDM信号误码率的闭式近似。在加性高斯白噪声信道上,采用MQAM调制的方形星座图的传统OFDM系统的通用误码率表达式定义为[19]
$$
P_e(\gamma_b) = \frac{4}{\sqrt{M}}\left(1 - \frac{1}{\sqrt{M}}\right) Q\left(\sqrt{\frac{3 \ln M}{(M-1)\gamma_b}}\right)
$$
其中 M 是调制阶数,γ_b 是每比特信噪比,Q(.) 是给定的 Q‐函数
$$
Q(x) = \frac{1}{\sqrt{2\pi}} \int_x^\infty \exp\left(-\frac{u^2}{2}\right) du
$$
在系统的仿真及其如下所述的实际实现中,(8)式中的指数函数已精确计算。为了推导误码率的解析表达式,假设压扩是仅使用指数函数泰勒级数的前两项来完成的。然后,在接收端,令 $S’_k$ 表示第k个子载波上恢复数据的判决变量,经过一些数学简化后,该判决变量可近似为 $\tilde{S}_k = \text{DFT}(\tilde{X})$,其中 $\tilde{X}$ 是
$$
\tilde{X} =
\begin{cases}
K(\mu_1,\mu_2)\left(\omega_n + \frac{x}{\nu} + \frac{1}{\log(1+\mu_1)} \log\left(1 + \frac{\mu_1 |x|}{\nu}\right)\right), & |x| \leq \alpha \
K(\mu_1,\mu_2)\left(\omega_n + \frac{x}{\nu} + \frac{1}{\log(1+\mu_2)} \log\left(1 + \frac{\mu_2 |x|}{\nu}\right)\right), & |x| > \alpha
\end{cases}
$$
其中,DFT(.) 是离散傅里叶变换,ωₙ 是采样的加性高斯白噪声信号。注意,$S’ k$ 是根据 OFDM信号 x 表示的。因此,由于提出的压扩方案引起的等效噪声增量(即噪声方差)为 $\sigma^2 {inc} = \sigma^2_\omega + \sigma^2_{N_{inc}(.ITM)}$,其中 $N_{inc}$ 给出为
$$
N_{inc} =
\begin{cases}
\left(\frac{K(\mu_1,\mu_2)}{\nu}\right)^2 \left(\frac{\mu_1 \sigma_s}{1 + \mu_1 |x|/\nu}\right)^2, & |x| \leq \alpha \
\left(\frac{K(\mu_1,\mu_2)}{\nu}\right)^2 \left(\frac{\mu_2 \sigma_s}{1 + \mu_2 |x|/\nu}\right)^2, & |x| > \alpha
\end{cases}
$$
其中 σ²_ω 和 σ²_s 分别为原始加性高斯白噪声信号和OFDM信号的信号方差。将(12)代入(9)后,通过对接收信号的阈值和信号电压均方根/峰值比(SVPR)对 $P_{e}^{ITM}(\gamma_b:1)$ 和 $P_{e}^{ITM}(\gamma_b:2)$ 进行加权平均,得到(15)中误码率的闭式近似。
$$
P_{e}^{ITM}(\gamma_b:1) = \frac{4}{\sqrt{M}}\left(1 - \frac{1}{\sqrt{M}}\right) Q\left(\sqrt{\frac{3 \ln M}{(M-1)(\gamma_b + \sigma^2_{inc}/\sigma^2_s)}}\right)
$$
$$
P_{e}^{ITM}(\gamma_b:2) = \frac{4}{\sqrt{M}}\left(1 - \frac{1}{\sqrt{M}}\right) Q\left(\sqrt{\frac{3 \ln M}{(M-1)(\gamma_b + \sigma^2_{inc}/\sigma^2_s)}}\right)
$$
$$
P_{e}^{ITM}(\gamma_b) = P_{e}^{ITM}(\gamma_b:1) F(x:\sigma)(1 - F(x:\sigma)) + P_{e}^{ITM}(\gamma_b:2) F(x:\sigma)
$$
其中F(x:σ) 是瑞利分布变量x(在此上下文中为未压扩信号幅度)的累积分布函数,其模态值为 σ。对于PAPR为 ≈ 12 dB的OFDM信号,计算得最大电压v为 4σ ,阈值 α= 0.3对应于x = 1.2σ,从而得到权重1−exp(−0.72) = 0.513用于 $P_{e}^{ITM}(\gamma_b:1)$,0.487用于 $P_{e}^{ITM}(\gamma_b:2)$。
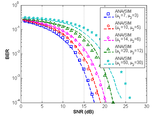
图6展示了不同压扩电平μ₁ 和μ₂ 下理论与仿真误码率的变化情况。显然,当μ₁,₂ ≤ 20时,两者具有良好的匹配性。这是因为在去压扩信号中,指数函数仅用泰勒级数展开的前两项进行近似,而当采用较高的压扩等级时,这种近似显然不够精确。增加泰勒级数展开的项数可以解决该问题,但会使理论推导变得复杂得多。对于较高的μ值,可采用数值方法,但这超出了本文范围,并且被认为是不必要的,因为μ₁和μ₂的最佳值不超过10。
VI. 实验结果
基于正交频分复用的系统被许多人视为一种数字收发系统,因此仅通过仿真就足以分析其系统性能。这种理解是不准确的,因为该系统实际上是模拟和数字组件的混合体。因此,在FPGA平台上进行硬件实现是对正交频分复用系统实时系统性能的重要评估。
A. 硬件测试平台
使用了商用FPGA硬件套件系统实现。图7展示了TMs压扩OFDM系统的顶层设计模型。整个系统被划分为多个设计范式,每个设计范式均在仿真和硬件中分别进行构建、仿真、分析和验证。典型的OFDM收发系统包括:输入信号通过模数转换器(ADC)后,经过并串转换(P/S)对信号进行上采样,使输出速率提高7倍。从输入信号中提取同相与正交分量。
16QAM数据映射旨在为星座图[‐1 ‐1/3 1/3 1]提供所需的点,其逆向操作为16QAM数据解映射,该过程由一个简单的比较器实现。比较器的输出为估计的实部和虚部分量,用于生成输出正弦波信息。FFT/IFFT操作通过快速傅里叶变换(FFT)模块实现。
为压扩OFDM收发器模型分配的系统参数包括512点 IFFT/FFT、80纳秒FPGA时钟周期,以及采用16QAM方案调制的频率为10千赫兹的1Vpp模拟输入信号。指定的压扩电平为μ₁ = 10、μ₂ = 0 ,阈值为峰值幅度的30%。无线信道被省略,以便重点在硬件上实现ITMs压扩方案的概念验证。
B. ITMs的FPGA实现
所提出的改进的TMs算法,包括压缩与扩张功能,其实现方式如下。首先,输入信号通过阈值设计模型,生成两组信号。每组信号使用不同的μ‐律值进行压扩。然后,在第二组压扩信号上添加偏移设计模型,以平滑突变过渡。随后,将这两组信号相加以生成改进的TMs压缩信号,其形式为带15位小数的28位二进制补码定点精度。
在μ律压扩和解压设计模型中,使用对数模块计算自然对数。由于缺乏指数模块,必须通过泰勒级数展开的前六项以等效方式完全设计指数运算。
然后将所提出的整体模型添加到预设计的OFDM收发系统中。调整估计输出正弦波模块的累积延迟,以匹配整体延迟并准确重新生成估计的正弦波信息。
表II 设备资源使用摘要
| 资源 | 资源使用情况 |
|---|---|
| 切片 | 15360个中的4439个(28%) |
| LUTs | 30,720 中的 8,121(26%) |
| DSP48模块 | 192 中的 52(27%) |
| 绑定的输入输出块 | 448 中的 62(13%) |
| RAMB16存储器块 | 0 / 192(0%) |
C. 结果
使用实时锯齿波模拟信号对Two‐μs压扩系统进行初始测试。在图8(a)中,幅度达到峰值30%阈值以内的信号被以μ₁ = 10进行压扩,其余部分保持不变。注意TMs压扩对锯齿形状的影响中,如预期所示,在被压扩部分与未压扩部分之间存在突变过渡。然而,在(μ₁= 10,μ₂= 0)之间引入偏移后,将生成连续且平滑的压扩信号,如图8(b)所示。输出解压缩锯齿信号具有清晰且未受损的形状。因此,改进的TMs压扩与解压扩设计模型按预期正常工作。在将所提出的压扩变换与基于OFDM的系统模型集成后,系统性能分析如下。图9(a)和图9(b)分别展示了未压扩和改进的TMs压扩OFDM信号的时域表示。在OFDM信号包络上可明显观察到压扩的效果,其波形相比原始未压扩信号具有更小的幅度变化。
无偏移和 (b) 有偏移情况。轨迹 1 2 = 0 1 = 10 α= 0 3 2) 压缩扩展后的锯齿波信号 (μ,μ, .), 轨迹 ) 输入信号。)
原始OFDM信号,(b) 压扩OFDM信号。)
表III PAPR结果汇总
| 系统模型 | 仿真 | 硬件 |
|---|---|---|
| 原始OFDM | 12.455 分贝 | 12.6 分贝 |
| 改进的TMs压扩OFDM | 8.693 分贝 | 9.107 分贝 |
VII. 结论
OFDM发射信号的高峰均功率比是其主要缺点,因为它会增加消费电子产品及其支撑基础设施的功耗。诸如压扩等各种技术在PAPR降低和误码率恶化之间提供了折衷。通过研究不同版本的压扩方案,已经确立了这种折衷关系。
本文在多种压扩方案中,发现所提出的改进型双‐μs方案能实现最佳的PAPR降低,达到3.7 分贝,同时信噪比仅略微增加0.4 分贝,从而获得3.1 分贝的净增益。由于功率放大器消耗收发系统总功率的25%,例如,在手机中功率放大器效率获得3.1 分贝的净改善,意味着电池功耗可节省近13%。此外,与其他类似技术不同,该改善无需额外系统带宽。
本文还提出了一种针对所提出的压扩方案误码率的新型闭式近似。通过与仿真结果的对比,全面检验了所提出表达式的准确性。研究案例涵盖了压扩对带有和不带偏移的OFDM信号的影响。本工作中的分析验证了ITMs方案所提出的优点,这将通过降低大多数电子产品的功耗,特别是减少移动设备的充电频率,从而显著提升许多电子产品的性能。此外,可以根据OFDM系统的不同设计需求,合理选择压扩和阈值参数,从而使系统具有自适应性。该研究工作还通过在FPGA平台上对提出的压扩方案进行实际实现得到了验证。
改进μ律压扩降低OFDM-PAPR
678

被折叠的 条评论
为什么被折叠?



