一、案例分析背景
案例:
中国全体居民的消费水平与经济发展数量关系的分析
提出问题:
改革开放以来,随着中国经济的快速发展,人民生活水平不断提高,居民的消费水平也在不断增长。研究中国全体居民的消费水平与经济发展的数量关系,对于探寻居民消费增长的规律性,预测居民消费的发展趋势有重要意义。
理论分析:
影响居民人均消费水平的因素有多种,但从理论和经验分析,最主要的影响因素应是经济发展水平。从理论上说经济发展水平越高,居民消费越多。
变量选择:
被解释变量选择能代表城乡所有居民消费的“全体居民人均年消费水平”(元/人);
解释变量选择表现经济增长水平的“人均国民生产总值(人均GDP)”(元/人)
研究范围:
1978年至2007年中国“全体居民人均年消费水平”与“人均国内生产总值(人均GDP)” 的时间序列数据
二、最小二乘估计OLS

# 读取数据
data = pd.read_excel('data.xlsx')
print(data.head)
# 准备数据
x = data['人均GDP(元)X']
y = data['全体居民消费水平(元)Y']
# 绘制散点图
plt.scatter(x, y)
plt.show()

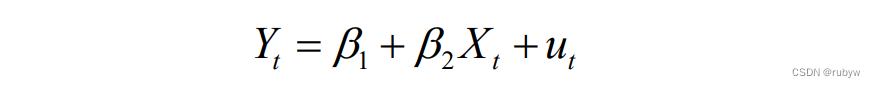
从散点图可以看出居民消费水平(Y)和人均GDP (X)大体呈现为线性关系。为分析中国居民消费水平随人均GDP变动的数量规律性,可以建立
简单线性回归模型:

假定模型中随机扰动满足基本假定,可用OLS法。
简单线性回归的基本假定:
对模型和变量的假定、对随机扰动项u的假定(零均值假定、同方差假定、无自相关假定、随机扰动与解释变量不相关假定、正态性假定)
# 添加截距列
X = sm.add_constant(x)
# 拟合模型ols
model = sm.OLS(y, X
中国居民消费水平与GDP关系的定量分析:OLS方法与模型预测

本文通过对中国1978年至2007年的居民消费水平与人均GDP数据进行分析,使用最小二乘法(OLS)建立线性回归模型,发现人均GDP对消费水平有显著影响。模型预测表明,随着GDP的增长,消费水平也相应提高。模型评估结果显示R方高,MSE和MAE较低,显示模型具有良好的预测性能。
最低0.47元/天 解锁文章
665

被折叠的 条评论
为什么被折叠?



