方法1
匝数比

输入最小电压取185V,因为市电可能从220V波动到185V。
VF是次级整流二极管压降。
原边电感

我们输出是5V/2A,因此输出功率Po=5*2=10W
根据功率选磁芯

选好了磁芯,磁芯截面积Ae就确定好了

初级线圈匝数

根据输出功率Po=10W,计算初级峰值电流。

Bm一般取0.25左右,是个固定值。磁芯参数介绍,磁芯功率、△B、Ae、Aw、气隙、磁滞回线
次级线圈匝数

根据匝比计算次级线圈匝数。
方法2
参数确定
变压器设计时,需要先确定一些参数如下:
(1) 输入电压范围: AC85V~265V
(2) 输出电压及电流:DC12V/1A
(3) 开关频率:Freq=65Khz
(4) 最大占空比:D=0.5
磁心的选择
先计算出电源的输入功率 P=Pout/η (η 指开关电源的效率,设为0.8),而 Pout=Vout*Iout=12V*1A=12W,即推出 P=12W/0.8=15W。我们可以通过磁心的制造商提供的图表进行选择,也可通过计算方式选择,我们查图表方式选择15W电源可用EE20或EE25 磁心,在这儿我们选择 EE25 磁心进行下一步的计算。


计算原边电压Vs
输入电压为 AC85V~265V,计算最低电压下的最大功率,最低电压为85V时,Vs =85*1.3=110V (考虑了线路压降及整流压降)。
计算 PWM 导通时间
Ton =(1/F)*D=(1/65)*0.5=7.7uS
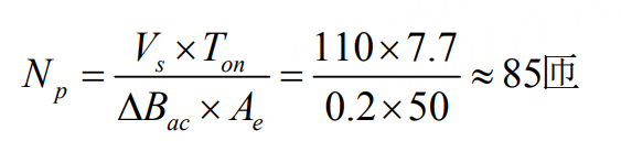
计算原边匝数 Np
Np =(Vs x Ton)/(∆Bac x Ae)

Np-------------------------原边匝数
Vs---------------------------原边直流电压(最低电压值)
Ton --------------------------导通时间
ΔBac ------------------------交变工作磁密(mT),设为 0.2
Ae---------------------------磁心有效面积(m 2 m),EE25 磁心为50 m2
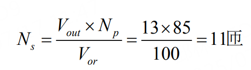
计算副边匝数 Ns
Ns =(Vout x Np)/Vor

Ns---------------------------副边匝数
Vout --------------------------输出电压(包含线路压降及速流管压降,为12V+1V=13V)
Vor ---------------------------反激电压(设置该电压不高于 150V,以避免造成芯片过压损坏,本设计中设为 100V)
计算原边电感量 Lp
Lp = (Vs x Ton)/Ip

Lp ……………………………原边电感量
Ip ……………………………原边峰值电流(所选芯片最大峰值电流为720mA,也可以根据功率来计算)
变压器的设计验证
变压器的设计时最大磁感应强度不能大于0.4T,(铁氧体的饱和磁感应强度一般为0.4T 左右),由于单端反激电路工作在B-H 的第一象限,磁心又存在剩磁Br 约为0.1T,所以最大的工作磁通Bmax 最大只有0.4 − 0.1 = 0.3T
Bmax = (Ip \∗ Lp)/(Np \∗ Ae)=(720 \∗ 1.2)/(85 \∗ 50) = 0.2
Bmax < 0.3 证明设计合理
变压器的漏感
由于变压器不是理想器件,在制造过程中一定会存在漏感,漏感会影响到产品的稳定及安全,所以要减小漏感,三明治绕线方式可以减小漏感。
方法3:表格计算

绿色背景的表格是需要输入的值。
输入次级的电压和电流,计算总输出功率
输入最小电压、最大占空比、效率,计算初级线圈峰值电流
根据峰值电流、开关频率,计算初级线圈电感

确定反向电动势,即次级反射回初级的电压。反激式开关电源Flyback工作过程、波形震荡、电流尖峰
初级线圈的电压=母线电压+反射电压+漏感电压。如果母线电压最高400V+反射电压90V+漏感电压150V,就要选耐压高于640V的开关管。
根据输出总功率,确定磁芯。

磁芯也可以用AP法去选型。
输入次级电压、二极管压降、△B、Ae,计算初级线圈匝数。
由于计算出的次级绕组匝数不是整数,因此取匝数为8,再次根据匝比计算初级匝数为126

根据电流计算线圈线径
实操:设计5V/1A输出变压器
明确需求:
输入电压范围AC85∼265V ,输入最低电压Vs = 85 \∗ 1.3 = 110V
输出 5V/1A ,二极管及其他压降1V,实际Vout=6V
开关频率 F=65KHz
最大占空比 D=0.5
效率η=0.8
EE20磁芯 Ae=31 mm2
反射电压 100V
∆Bac 取0.25
方法1
Pout=5*1=5W
匝数比N=(Vs/Vout)*(D/(1-D))=(110/6)*(0.5/0.5)=18.3
原边电感Lp=(η*D*D*Vs*Vs)/(2*F*Pout)=(0.8*0.5*0.5*110*110)/(2*65000*5)=3.723mH
原边峰值电流Ipk=2*Pout/(η*Vs*D)=(2*5)/(0.8*110*0.5)=0.227
原边匝数Np = (Lp x Ipk)/(∆Bac x Ae)=(3.723*0.227)/(0.25*31)=109.04≈109
Ns=Np/N=109/18.3=6
方法2
Pout = Vout ∗ Iout = 5V ∗ 1A = 5W P = 5/0.8 = 6.25W
Ton = 1/F ∗ D = 1/65 ∗ 0.5 = 7.7uS
原边匝数Np =(Vs x Ton)/(∆Bac x Ae)=(110 ∗ 7.7)/(0.25 ∗ 31) =109.29≈110
副边匝数Ns =(Vout x Np)/Vor=(6*110)/100=6.6≈7
Ip=2*Pout/(η*Vs*D)=(2*5)/(0.8*110*0.5)=0.227
Lp = (Vs ∗ Ton)/Ip = (110*7.7)/227 ≈3.73(mH)
Bmax = (Ip ∗ Lp)/(Np ∗ Ae)= (227∗ 3.73)/(110 ∗ 31) = 0.2
方法3



1309

被折叠的 条评论
为什么被折叠?



