第二部分,我们主要关注非均匀随机数的生成。
同时我们也分为,离散型与连续型进行讨论。
2.3.1 前置知识讨论
前置知识,主要在于定理6.1,6.2 的证明过程

证明:


证明:

逆变换法的原理在这张图中展示的比较直观:

2.3.2 逆变换法生成离散型随机数
这一部分其实相对来说好理解些,更多的需要背诵记忆
1. 离散均匀随机数生成

2. 几何分布随机数生成
(首先,要知道几何分布是啥)


(注意所有的逆变换,都需要关注原函数是个什么东西)

:代表不小于x的最小整数
3. 二项分布随机数生成
其实就是咱们高中学的:超几何分布


标准流程方法如下:

4. 泊松随机数生成
泊松分布:


生成法:

2.3.3 逆变换法生成连续型随机数
最简单与基本形式

1. 两种三角分布
(了解即可,主要和后面的复合法有点关系)
(1)右三角分布

(2)左三角分布

2. 指数分布随机数

3. 利用指数分布生成泊松随机数
原理:N(t)代表截至时间 t 时,发生的事件数。
例如N(5)=30,代表时刻5时,事件发生了30次
那么我们在这时,假设事件发生一次,需要时间
(指数分布的来源)
那么我们求,N(1)的最大值,就是1时间内,最多发生了多少件事(生成的是泊松随机数)
老师解释如下

求解算法如图:


2.3.4 利用变换生成随机数
(主要重点在于,所能获得但不能直接生成的量,和不易获得但能直接生成的量之间有关系)
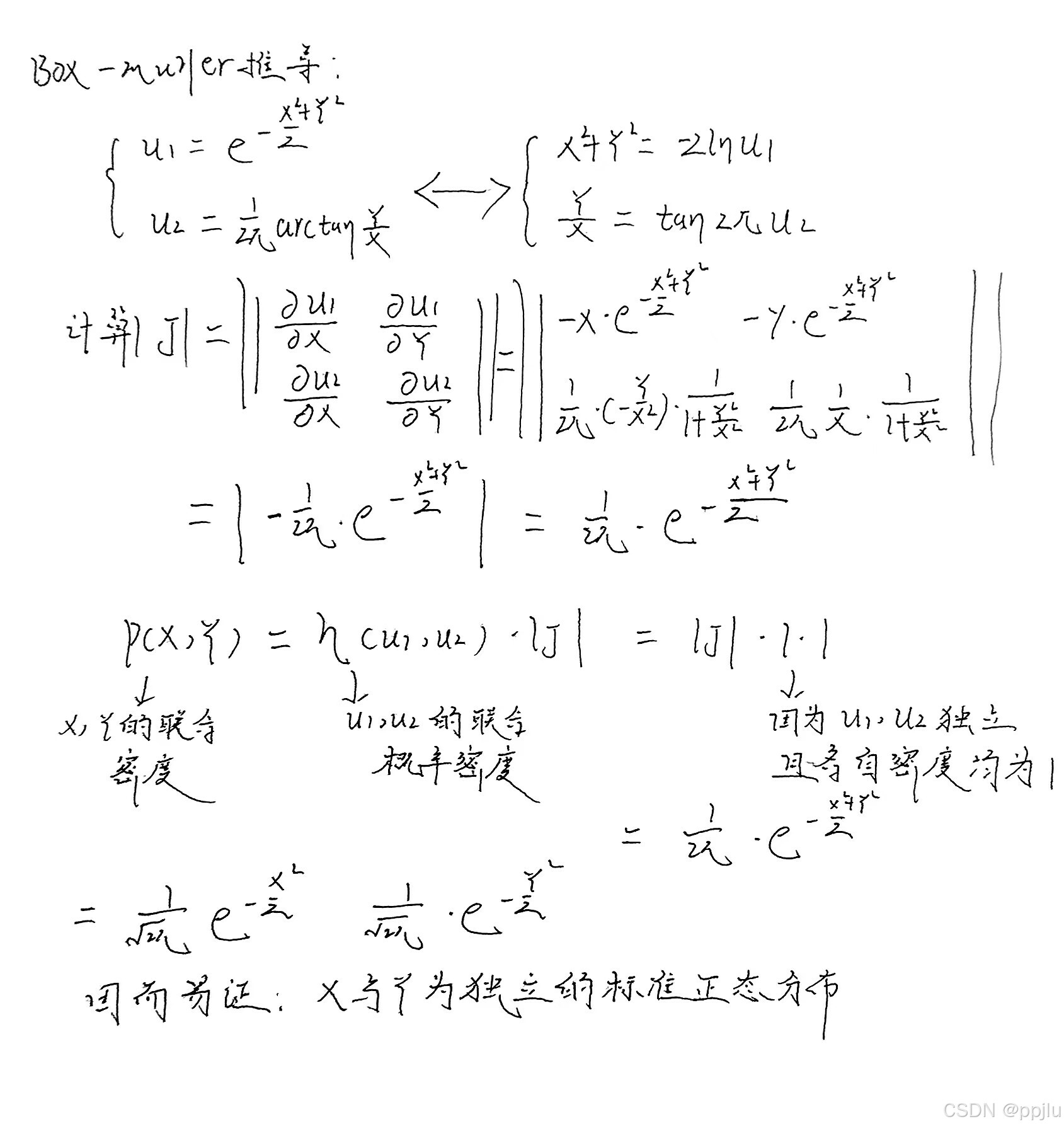
概率论中的式子很重要:

二阶的这么玩

下面的应用:

推导过程如下:

2.3.4 舍选法I
过程不难,理解这个就行

优缺点

1. 舍选法生成box-Muller随机数
2.3.5 复合法
我的理解是更多的化成两步,进行随机数的获得提取(感觉在这一块老师说的不是太多)
一个应用就是梯形分布的一个应用

直接用逆变换法求随机数太麻烦,所以决定看看有什么巧妙地方法

劈成了两部分,我理解用的时候,先去取个0-1的随机数,
在某个范围内,抽用作三角分布。在另一个范围里,用矩形分布生成即可
2.3.6 随机变量的生成
建议看两页ppt算了,不知道会怎么出




1310

被折叠的 条评论
为什么被折叠?



