废话不多说,根据SYF老师知识点展开
架构:
随机数分为:(1)均匀随机数 (2)非均匀随机数
非均匀随机数又分为:(1)离散型 (2)连续型
在第一部分均匀随机数,我们主要关注,整数均匀随机数的生成
2.2 均匀随机数的生成
前置知识,理解什么叫同余,与同余的一些性质(其实离散数学里很多提到)



(性质4在后面证明阶数的过程中很重要)
2.2.1 线性同余发生器(LCG)
公式如下图所示
PS:这里需要注意,我们真正生成的随机数是Rn,生成后的Xn需要除以m,才是我们的目标

线性同余发生器又分为两类:

2.2.2 混合同余发生器
首先记住,当我们是混合同余发生器时,公式如下:

(一定要记得,我们的目的是为了获得Rn)
此时的C>0,所以代表,Xn是可以取0的哦(很重要)
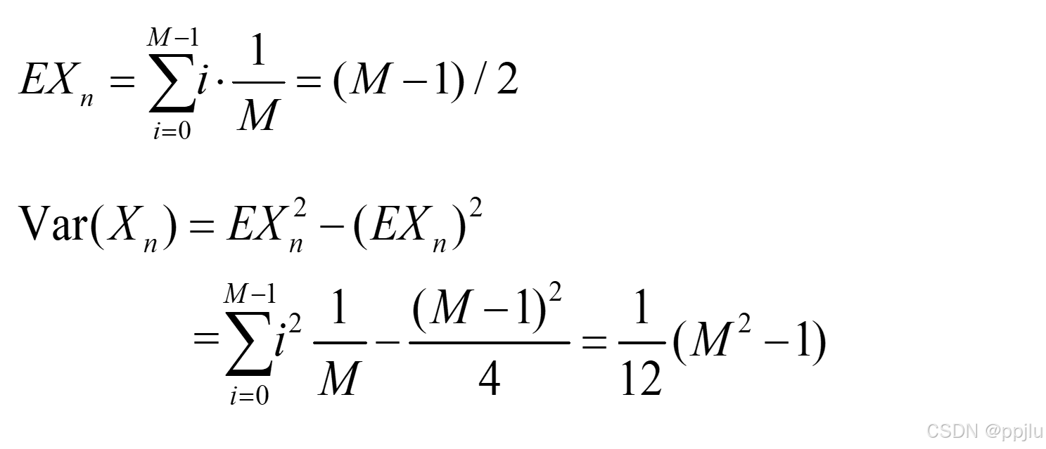
所以,Xn的取值范围为(记住我们一直是取余运算哦)
所以如下性质便成立(等差数列的知识就不介绍了)

注意平方和公式:

所以除以M,后

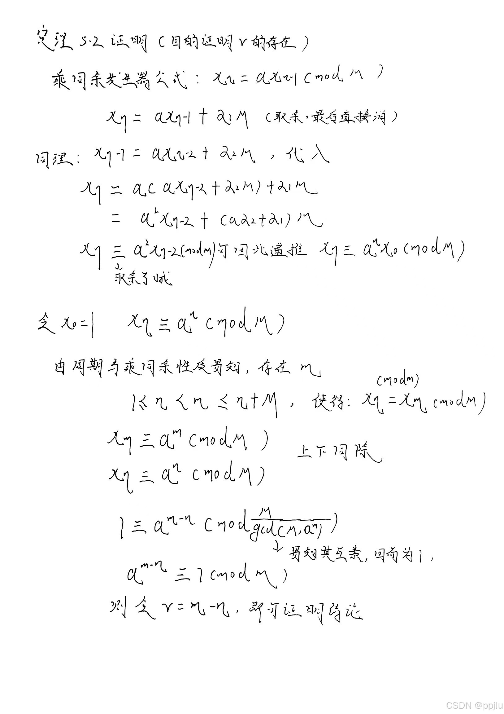
2.2.3 乘同余发生器
性质介绍:

在这里,X的取值,是从1开始的哦。
因为c=0,如果x=0,发生器就只能生成0了,产生不出来别的数了(废了)

以下为老师讲述的证明,大概回忆版


第一次作业推导:

2.2.4 随机数检验的意义
我确实没有找到老师的原话,可能还是学在吉大看的不够认真
(如果有谁看着了please告诉我一声)
查阅一些的资料,可以参考一下
(1)检验产生的随机数是否能代表总体样本
(2)检验随机数样本是否具有独立性
(3)检验随机数样本是否具有组合规律性
(4)参数检验
2.2.5 KS检验
直接看老师给的文档即可,感觉也不是很困难(建议直接看表)
作用可能是:检验多样本之间的分布是否相同
1312





