曲面法线是几何曲面的重要属性,并且 大量用于许多领域,例如计算机图形学应用,以应用 校正产生阴影和其他视觉效果的光源。
给定一个几何表面,推断 在表面上的某个点法线,作为垂直于 在这一点上浮出水面。但是,由于我们获取的点云数据集 表示真实表面上的一组点样本,有两个 可能性:
从获取的点云数据集获取下垫表面,使用 曲面网格划分技术,然后从 网孔;
使用近似值从点云数据集推断表面法线 径直。
本教程将解决后者,即给定点云数据集, 直接计算云中每个点的表面法线。
理论入门
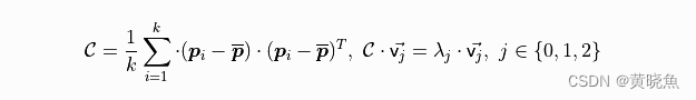
尽管存在许多不同的正态估计方法,但我们将 专注于本教程是最简单的教程之一,其表述为 遵循。确定曲面上某个点的法线的问题是 近似于估计与 曲面,进而成为最小二乘平面拟合估计问题。
注意
有关更多信息,包括最小二乘问题的数学方程,请参阅 [RusuDissertation]。
因此,估计表面法线的解决方案简化为 特征向量和特征值(或 PCA – 主成分)的分析 分析)从 查询点。更具体地说,对于每个点,我们 按如下方式组装协方差矩阵:

要从 PCL 中的一组点估计协方差矩阵,可以使用:

订阅专栏 解锁全文
1万+

被折叠的 条评论
为什么被折叠?



