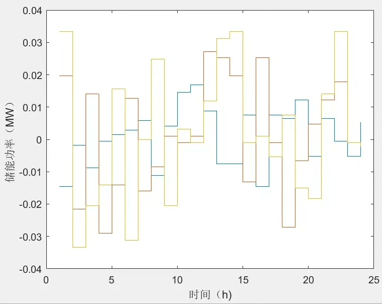
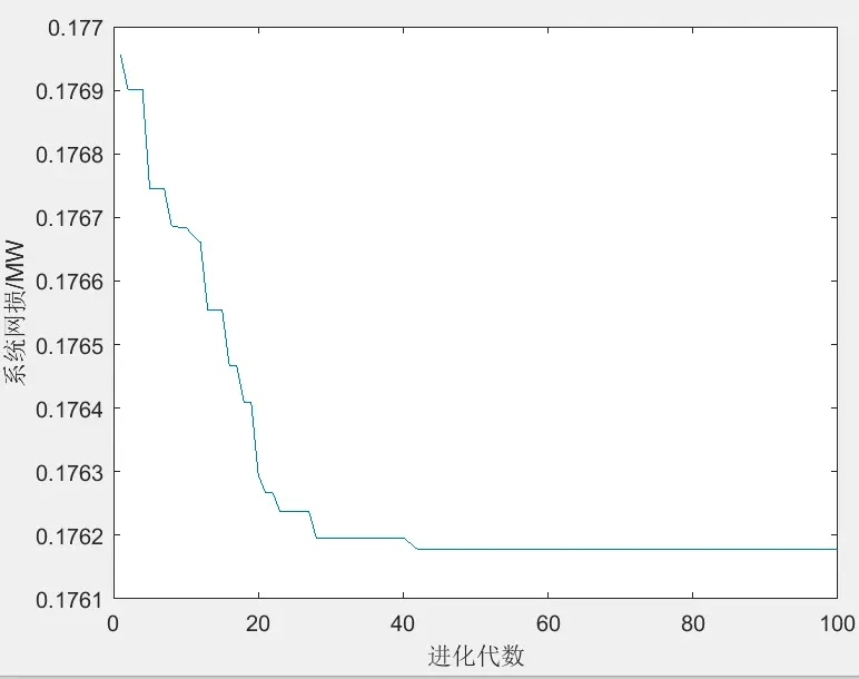
【储能选址定容】基于改进遗传算法的储能选址定容(可任意设定储能数量) 模型采用改进遗传算法优化配电网系统中储能选址位置和容量; 程序以IEEE33节点系统为分析对象,以网损最小为目标; 主要有三个优势:1储能数量可以任意设定,通过【命令行窗口】直接输入储能数量即可; 采用模拟退火改进遗传算法,算法创新性强; 模型增加了分布式光伏和风电,有效拓宽学习思路。 程序采用matlab编写,注释清晰,方便学习

在电力系统领域,储能的选址和定容一直是个关键问题,它对于提升配电网的性能和稳定性有着举足轻重的作用。今天咱就来唠唠基于改进遗传算法的储能选址定容,而且这里的储能数量还能随意设定哦。
一、模型核心:改进遗传算法
咱这个模型用的是改进遗传算法来优化配电网系统里储能的选址位置和容量。遗传算法本身就是一种借鉴生物界自然选择和遗传机制的随机搜索算法,而这里采用模拟退火对其进行改进,大大增强了算法的创新性。

模拟退火算法有啥妙处呢?简单说,它在搜索过程中允许一定概率接受劣解,这就像是给算法开了个“后门”,避免它过早陷入局部最优解。就好比爬山,正常爬山可能爬到一个小山坡就以为是山顶了,但是模拟退火这个“后门”能让它有机会再去探索一下,说不定能找到真正的高峰。

在Matlab代码里,我们可以这样实现模拟退火改进遗传算法的关键部分:
% 假设这里是遗传算法生成初始种群的部分
pop = initial_population(pop_size, chrom_length);
% pop_size是种群大小,chrom_length是染色体长度
for iter = 1:max_iter
% 计算适应度
fitness = calculate_fitness(pop);
% 选择操作
new_pop = selection(pop, fitness);
% 交叉操作
new_pop = crossover(new_pop, crossover_rate);
% 变异操作
new_pop = mutation(new_pop, mutation_rate);
% 模拟退火部分
T = cooling_schedule(iter); % T是温度,随迭代次数变化
for i = 1:pop_size
new_fitness = calculate_fitness(new_pop(i,:));
if new_fitness < fitness(i) || exp((fitness(i)-new_fitness)/T) > rand()
pop(i,:) = new_pop(i,:);
fitness(i) = new_fitness;
end
end
end
上面这段代码里,先初始化种群,然后在每次迭代中,计算适应度、进行选择、交叉和变异操作。模拟退火部分通过温度T来控制接受劣解的概率,如果新解的适应度更好,或者满足一定概率条件,就接受新解更新种群。
二、分析对象:IEEE33节点系统
程序是以IEEE33节点系统作为分析对象,为啥选它呢?IEEE33节点系统是一个典型的配电系统模型,节点数量适中,能较好地反映配电网的特性,方便我们对储能选址定容进行研究。

我们的目标很明确,就是让网损最小。网损可是配电网运行中的一个重要指标,降低网损不仅能提高电力系统的效率,还能节省成本。在Matlab里计算网损的代码大概长这样:
% 假设已经有了节点电压V和支路电流I
line_loss = 0;
for k = 1:num_lines
line_loss = line_loss + abs(I(k))^2 * line_resistance(k);
end
这段代码遍历每一条线路,根据支路电流和线路电阻计算网损,并累加到line_loss变量中。
三、三大优势,让模型脱颖而出
- 任意设定储能数量:这可太方便了,通过命令行窗口就能直接输入储能数量。比如说你想研究不同储能数量对配电网的影响,以前可能得在代码里改各种参数,现在直接在命令行窗口输入个数就行。在Matlab里实现起来也不难:
num_storage = input('请输入储能数量: ');
就这么简单的一行代码,就能获取用户输入的储能数量,方便后续根据这个数量进行储能的选址和定容操作。
- 创新算法:前面提到的模拟退火改进遗传算法,比起传统的遗传算法,能更有效地找到全局最优解。在复杂的配电网环境里,传统算法可能在局部最优解上“躺平”了,改进后的算法就能“折腾”得更彻底,找到更好的储能选址和定容方案。
- 增加分布式光伏和风电:模型里加入了分布式光伏和风电,这相当于给我们的研究打开了新的思路。现在分布式能源发展得如火如荼,把它们纳入模型,能更好地模拟真实的电力系统场景。比如说在计算负荷时,就得考虑光伏和风电的出力情况:
% 假设已经获取了光伏和风电的出力预测值
pv_power = get_pv_power();
wind_power = get_wind_power();
total_load = base_load - pv_power - wind_power;
这样就根据光伏和风电的出力调整了总的负荷,让模型更加贴合实际情况。

而且整个程序都是用Matlab编写的,注释那叫一个清晰,对于想学习储能选址定容相关知识的小伙伴来说,简直是福音。无论是算法的实现细节,还是系统的分析过程,都能通过阅读代码轻松理解。

总之,基于改进遗传算法的储能选址定容模型,凭借它的创新性、灵活性和实用性,为配电网优化提供了一个非常不错的解决方案,希望能给相关领域的研究和实践带来新的启发。

被折叠的 条评论
为什么被折叠?



