comsol.固体氧化物燃料电池:固体氧化物燃料电池中的电解质和电极由金属氧化物(硬陶瓷材料)制成。 这种电池中的电极为多孔气体扩散电极(GDE),两个电极之间包含一层固体电解质,形成三明治结构。

在能源领域,固体氧化物燃料电池(SOFC)一直是备受瞩目的存在。今天咱们就借着 Comsol 这个强大的工具,深入了解下 SOFC 的一些关键结构。
材料构成
固体氧化物燃料电池中的电解质和电极由金属氧化物这种硬陶瓷材料制成。为啥选金属氧化物呢?主要是它具备良好的离子传导性能,在高温环境下能有效地传递氧离子,为电池的电化学反应提供基础。
独特结构
这种电池中的电极为多孔气体扩散电极(GDE)。多孔结构对于电极的性能至关重要,它能让反应气体快速扩散到电极与电解质的界面,大大提高反应效率。想象一下,气体就像一群小粒子,多孔结构就如同一条条高速公路,让它们能畅通无阻地到达反应地点。

两个电极之间包含一层固体电解质,形成三明治结构。这层电解质可不是简单的存在,它在电化学反应中起着隔离电子、传导离子的关键作用。就好比是一个严格的交通指挥员,只允许离子通过,而把电子限制在特定的路线上,从而实现电池内部的电荷转移和外部电路的电流输出。
用代码模拟结构(伪代码示例)
# 假设使用 Python 结合 Comsol 相关库来模拟 SOFC 结构
import comsol_library as comsol
# 创建模型对象
model = comsol.Model()
# 定义电解质材料属性
electrolyte_material = comsol.Material('金属氧化物电解质', conductivity = 1.0) # 假设电导率为1.0 S/m
model.add_material(electrolyte_material)
# 定义电极材料属性
electrode_material = comsol.Material('金属氧化物电极', porosity = 0.4) # 假设孔隙率为0.4
model.add_material(electrode_material)
# 创建电极几何结构
electrode1 = comsol.Geometry('电极1', shape = '平板', dimensions = [0.01, 0.001, 0.001]) # 假设尺寸为1cm x 1mm x 1mm
model.add_geometry(electrode1)
electrode2 = comsol.Geometry('电极2', shape = '平板', dimensions = [0.01, 0.001, 0.001])
model.add_geometry(electrode2)
# 创建电解质几何结构
electrolyte = comsol.Geometry('电解质', shape = '平板', dimensions = [0.01, 0.0001, 0.001]) # 假设厚度为0.1mm
model.add_geometry(electrolyte)
# 构建三明治结构
model.build_structure([electrode1, electrolyte, electrode2])
上述代码虽然是伪代码,但可以大概看出模拟 SOFC 结构的思路。首先创建模型对象,接着定义电解质和电极的材料属性,像电解质的电导率、电极的孔隙率等都是关键参数。然后创建各个部分的几何结构,最后按照三明治结构的顺序将它们组合起来。通过这样的模拟,我们就能在 Comsol 中对 SOFC 的结构进行更深入的研究,为进一步优化电池性能提供有力支持。

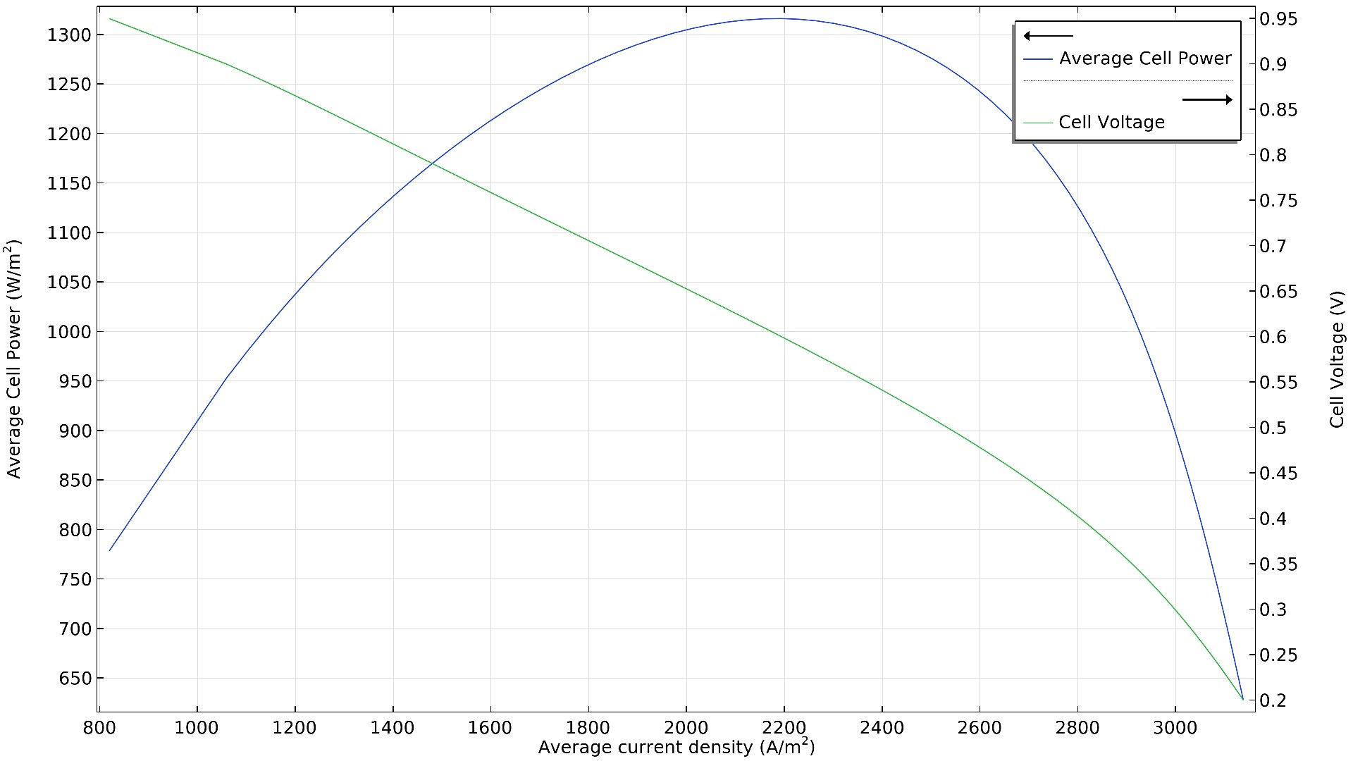
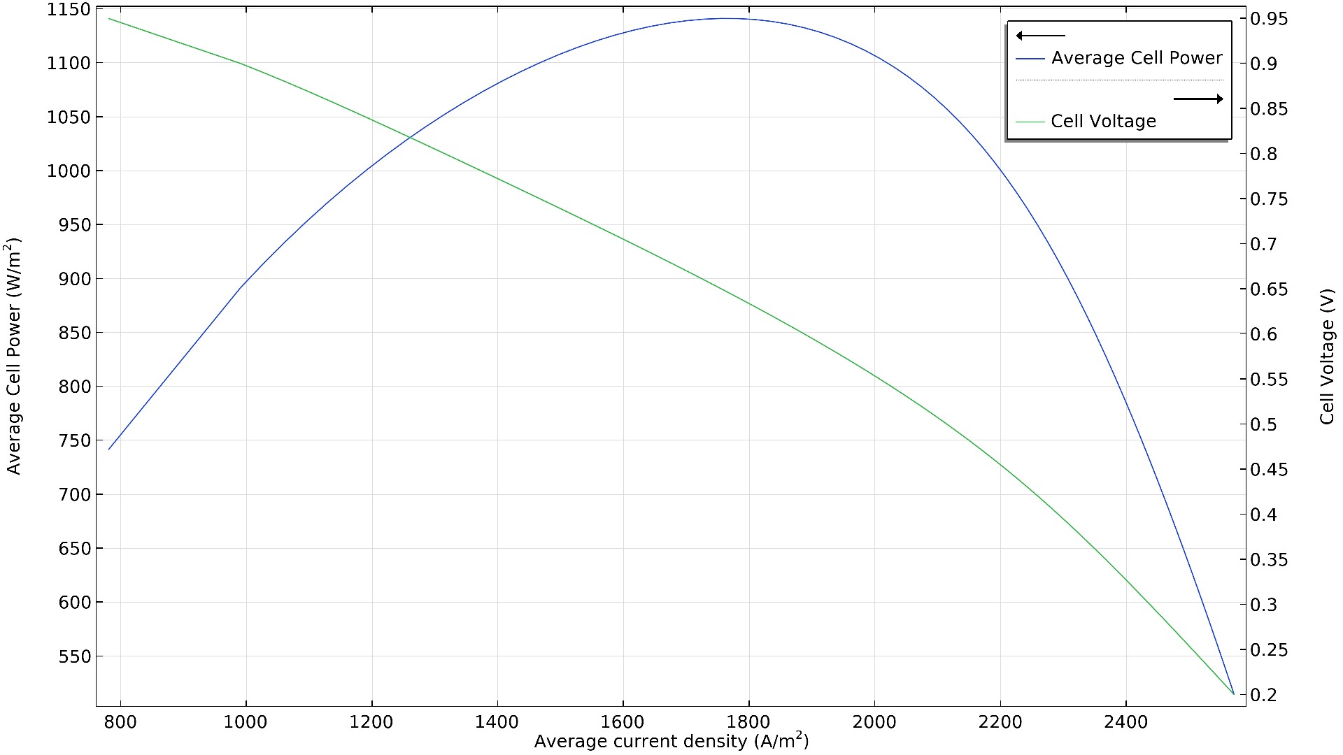
固体氧化物燃料电池的这种独特构成和结构,决定了它在高效能源转换方面具有巨大的潜力,而借助 Comsol 和代码模拟,我们能更好地挖掘和发挥这种潜力。


816

被折叠的 条评论
为什么被折叠?



