云安全的定量评估方法
1 引言
随着全球计算机技术的快速发展,云计算技术已成为新一轮技术革命的关键,并广泛应用于政府、企业、教育、数据中心等领域[1]。云平台为用户提供了服务便利、存储空间和计算能力的快速扩展以及更低的部署成本。然而,采用云计算意味着用户的核心数据和业务脱离了自身的控制,因此云平台的安全问题受到广泛关注[2, 3]。云计算平台突破了传统信息系统的边界,在共享IT基础设施上运行,这意味着基于边界防护的传统安全评估方法已无法发挥作用[4, 5]。
如何评估云计算平台的安全性,并为用户提供可量化的可评估指标,已成为重要的研究课题。近年来,针对云平台的安全防护技术,特别是数据安全技术,已成为国内外研究人员的关注焦点[6],云平台整体安全的评估方法也引起了研究人员的兴趣[4, 7]。然而,由于云安全相关标准尚未建立,目前仍未找到被广泛认可的云安全评估方案。
云安全领域目前缺乏系统的评估和定量方法。基于云计算平台的特点,本文提出了一种建立云计算安全指标评估体系的方法。该体系利用模糊隶属函数表达主观评价元素,并采用G.A. 米勒理论对云计算平台的整体安全性进行量化。此外,文章中的示例展示了评估云平台安全性的完整流程,证明了该方法对建设者和用户具有可操作性。
2 相关工作
云计算平台通过互联网提供动态且可扩展的虚拟资源。凭借分布式计算、并行处理、存储和强大计算能力的特点,它属于大数据时代特定的信息系统模式。
然而,尽管云计算技术提供了便捷的服务,云安全问题也日益突出,制约了云计算技术的深入发展。目前已有大量关于云计算安全问题的研究工作。例如,冯等人[2]认为在云计算平台中应考虑安全问题;陈等人[1]提出了一套更为全面的云计算安全体系;林等人[3]则提出了一种云计算安全架构。
另一方面,为了提高信息和网络安全,我们建立了信息安全等级体系,并制定了一系列安全标准。然而,该安全等级体系主要针对传统信息系统的问题,未涉及云计算平台的边界模糊问题。也有一些研究工作考虑了云平台的特殊性来探讨安全评估方案。例如,陈等人[4]提出了基于等级保护的安全评估方法;江[7]构建了基于等级保护的安全评估模型。然而,这些评估方法通常侧重于如何使云评估与现有评估体系相兼容,未能提出适用于云平台安全评估的合适且可量化的评估方法。
因此,本文提出了一种针对云计算平台的指标体系,以及量化表达指标和整体方法论。该论文中的方法对评估云计算安全具有积极作用,并帮助用户选择合适的云服务,从而促进云计算产业的健康发展。
3 云计算安全指标体系
在云计算安全指标体系中,可以采用定性评估方法。首先可以使用列表记录所有需要评估的云计算安全指标,然后逐一审查这些指标。如果所有指标均满足基准要求,则测试通过。如果未满足要求,则需要进一步的证据。需要注意两点:(1)指标权重问题:不同类型的指标在安全中的重要程度不同。(2)指标评估结果:如果在安全指标评估中应用二值逻辑来判断结果,意味着安全评估只能是“通过”或“不通过”。但实际上,很少有指标完全符合标准或完全不符合标准。即使所有指标都被判定为“通过”,被测对象在安全性能上也存在差异,而二值逻辑的评估结果无法反映这些差异。
为了解决指标权重差异和评估过程控制的问题,我们提出了一种更全面的解决方案。所包含的方法——在云计算安全评估中选取连续范围内的数值——是一种比二值逻辑评估更客观的模糊评估方法。
3.1 指标体系构建原则
云安全指标体系的设计原则包括:(1)科学性:指标的选取基于云计算安全研究,符合相关法律法规。(2)层次性:云计算安全指标体系应根据不同属性划分为不同层级。(3)独立性:安全指标能够单独反映云计算的安全状况。(4)可操作性:云计算安全指标体系应客观实用,满足实际安全评估的需求。(5)系统性:需要考虑平台的各种因素,反映整体系统的内部关系。
3.2 指标体系的架构
云计算安全指标体系的构建过程包括:(1)根据国内外专家意见,结合实际情况,设计关于云计算安全评估指标体系的调研表,然后利用这些调研表收集专家提出的云计算平台安全指标。(2)通过调研表的反馈,可以获得专家认可的云计算安全指标。(3)重复前述两个步骤,直到大多数专家达成符合原则的安全指标体系。
云计算安全指标体系包括:技术指标体系和管理指标体系。技术安全指标体系包括:物理安全、网络安全、主机系统安全、应用安全、数据安全、备份与恢复等指标。管理安全指标体系包括:安全管理体系、安全管理、安全人员管理、建设管理和系统运行、维护管理等指标。这些指标体系涵盖了云计算安全评估的需求。
4 云安全的定量评估
云计算安全的定量评估具有很强的主观性,且“符合”与“不符合”之间没有绝对界限,通常采用模糊方法。模糊评价有助于表述安全问题。我们可以根据实际情况将整体问题分解为若干小问题,以便评估人员进行主观评价。评估人员作出类似百分比形式的模糊判断,能更准确地反映云安全状况。模糊评估方法是将模糊数学理论应用于云安全概率的量化[8, 9]。该概率可视为模糊数,通过建立云安全事件树并结合三角模糊树、LR模糊数等进行定量分析。然而,该评估方法依赖于评估人员对评价等级和权重的主观选择,因此其结果的科学性和客观性需要进一步验证。
为了确保客观评估,约桑的主观逻辑评价方法也为描述主观行为提供了有效途径,但该方法仍然过于依赖主观判断,其正确性值得怀疑。为解决上述问题,我们决定采用多属性决策方法对云平台安全进行定量评估,综合考虑云平台安全评估定量分析的三个特点——无统一的无量纲指标、覆盖范围广以及互斥性。关于云平台安全定量评估的多属性决策方法有多种:乐观型、悲观型、乐观‐悲观联合型、简单加权平均、折衷法。其中,折衷决策倾向于尽可能接近理想解,或尽可能远离负理想解,并在理想解与负理想解之间寻找一个相对满意的可行解。关键在于如何选择基准,以及如何衡量可行解与基准之间的距离,以满足安全定量评估的要求。
4.1 多属性决策指标体系
云计算平台是由相互作用的子系统构成的复杂系统。因此,对云平台的安全评估需要多个相互关联的评价指标。根据层次结构,这些指标被组合成一个具有特定评估功能的整体。该指标体系包括:经济指标、技术指标、资源指标、基础设施指标等。
4.2 决策指标的规范化
确定指标的成本效益值。 例如,随着云计算平台安全指数的数据共享率不断提高,资源利用率得到提升且成本降低,但同时也会带来安全性降低。因此,数据共享率必须被限制在适当范围内。
指标的无量纲化。 云计算平台安全评估的最大问题在于指标之间的不可公度性,换句话说,属性值列表中每一列的属性值具有不同的量纲,一旦对同一属性采用不同的计量单位,列表中的数值就会变得不同。
归一化思想。 在原始属性值列表中,不同指标的属性值量级差异很大。为了使用多目标评价方法对这些值进行比较,必须对属性值列表的值进行归一化,即将数值平移至区间[0, 1]。同时,在预处理数据时采用非线性变换方法解决不完全补偿性问题。
指标归一化方法:
(1)线性缩放变换。效益型属性:变换后最差值属性为 0,最优值为1。成本导向属性:变换后最差值属性为1,最优值为0。
(2)标准 0–1变换。对于每个属性,最优值为1,最差值为0,且变换后的差异是线性的。
(3)最优值在区间之间的变换。给出具体属性区间以便于判断。
(4)向量归一化。规范化后,同一指标各方案的属性值平方和为“1”,无论成本导向或效益导向类型,属性值的量级无法区分。
(5)定性指标的量化方法。某些指标为定性类型,只能进行定性描述。例如云平台安全指标的可靠性。将定性指标量化,将这些指标划分为若干等级,并赋以不同数值。
4.3 多属性决策
1. 多属性决策准备工作
(1) 决策矩阵 假设:
备选方案集为:$ X = {X_1, X_2, \dots, X_m} $;
方案的属性集为:$ Y = {y_1, y_2, \dots, y_n} $
(2) 决策矩阵定义为:
$$
Y =
\begin{bmatrix}
y_{11} & \cdots & y_{1n} \
\vdots & \ddots & \vdots \
y_{i1} & \cdots & y_{ij} & \cdots & y_{in} \
\vdots & \ddots & \vdots \
y_{m1} & \cdots & y_{mn}
\end{bmatrix}
$$
2. 数据预处理
(1) 线性变换
原始决策矩阵为 $ Y = {y_{ij}} $,经过变换后变为 $ Z = {z_{ij}} $,其中 $ i = 1,\dots,m $,$ j = 1,\dots,n $。假设 $ y_j^{\text{max}} $ 为矩阵第j列的最大值,
若 $ j $ 为效益型属性,则:
$$
z_{ij} = \frac{y_{ij}}{y_j^{\text{max}}} \tag{1}
$$
预处理数据时,最差值属性在变换后不一定为0,但最优值是1。
如果 $ j $ 是成本导向属性,则可以设置:
$$
z_{ij} = 1 - \frac{y_{ij}}{y_j^{\text{max}}} \tag{2}
$$
经过(2)变换后,最优属性值不一定为1,最差为0。成本导向属性可使用以下公式进行变换:
$$
z_{ij} = \frac{y_j^{\text{min}}}{y_{ij}} \tag{3}
$$
在使用(3)公式进行变换后,最差值不一定为0,最优值为1,且属于非线性变换。
(2) 0–1标准变换。
对于线性变换,经过线性变换后,如果属性j的最优值为1,则其最差值通常不是0;如果最差值为0,则最优值通常不是1。经过平移后,当属性的最优值为1且最差值为0时,可进行标准0–1变换。对于效益型属性j,设:
$$
z_{ij} = \frac{y_{ij} - y_j^{\text{min}}}{y_j^{\text{max}} - y_j^{\text{min}}} \tag{4}
$$
当j为成本导向属性时,设置:
$$
z_{ij} = \frac{y_j^{\text{max}} - y_{ij}}{y_j^{\text{max}} - y_j^{\text{min}}} \tag{5}
$$
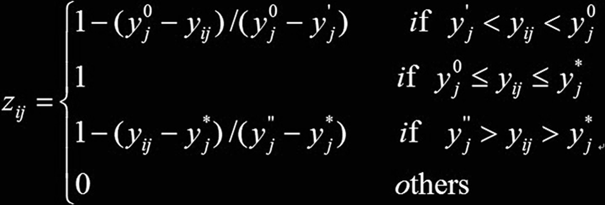
(3) 最优值给定区间的平移。
文章设定了最优属性区间$[y_j^0, y_j^
]$,其中$y_j’$为不可容忍下限,$y_j’‘$为不可容忍上限,然后:
$$
z_{ij} =
\begin{cases}
0, & y_{ij} \leq y_j’ \
\frac{y_{ij} - y_j’}{y_j^0 - y_j’}, & y_j’ < y_{ij} \leq y_j^0 \
1, & y_j^0 < y_{ij} \leq y_j^
\
\frac{y_j’’ - y_{ij}}{y_j’’ - y_j^
}, & y_j^
< y_{ij} < y_j’’ \
0, & y_{ij} \geq y_j’‘
\end{cases} \tag{6}
$$
属性值$z_{ij}$与原始$y_{ij}$之间的函数图像为梯形。
(4)向量归一化。该方法中的成本导向或效益型属性,均可采用以下公式进行转换:
$$
z_{ij} = \frac{y_{ij}}{\sqrt{\sum_{i=1}^{m} y_{ij}^2}} \tag{7}
$$
变换是线性的,因此无法区分变换后属性值的量级。规范化后,所有方案中同一属性值的平方和为1,通常用于计算所有方案与某个虚拟方案之间的欧氏距离。
(5)原始数据统计处理方法。
对于原始数据,通过统计平均法进行预处理。设M为百分制均值。将M设为方案集X的属性均值,然后使用以下公式进行转换:
$$
z_{ij} = \left( \frac{y_{ij} - \bar{y}
j}{y_j^{\text{max}} - \bar{y}_j} \right)(1.00 - M) + M \tag{8}
$$
在公式中,$\bar{y}_j = \frac{1}{m} \sum
{i=1}^{m} y_{ij}$是所有方案中属性j的均值,m为方案的数量,M的取值在0.5到0.75之间。
(6) 专家打分数据的预处理。
由于性能指标难以通过统计数据进行测量,通常会邀请专家对评价对象进行评分,并将评分均值作为相关指标的属性,以此来确定对象的状态。
鉴于专家意见可能存在差异,专家的意见也是评估的关键。在本文中,所有专家的评分都被标准化到同一区间$[M_0, M_
]$内。不同的$M_0$和$M_
$不会影响结果,只要评分处于上述区间即可。具体算法如下:
$$
z_{ij} = M_0 + (M_
- M_0) \cdot \frac{y_{ij} - y_j^{\text{min}}}{y_j^{\text{max}} - y_j^{\text{min}}} \tag{9}
$$
当$M_0 = 0$、$M_
= 1$时,上述算法与效益型属性0–1变换公式(4)相同。
3. 基于最大化偏差的多属性决策方法
对于多属性决策问题,若权重信息未知且决策矩阵为 $ A = (a_{ij}) {n \times m} $,当对 $ A $ 进行标准化处理时,可得到标准化矩阵 $ R = (r {ij})_{n \times m} $
假设属性的权重向量为 $ w = (w_1, w_2, \dots, w_m) $,$ w_j \geq 0 $,$ j \in M $,并满足约束条件:
$$
\sum_{j=1}^{m} w_j^2 = 1 \tag{10}
$$
然后,每个方案的属性值可以定义为:
$$
z_i(w) = \sum_{j=1}^{m} r_{ij} w_j \tag{11}
$$
多属性决策是对所有方案的属性值排序进行比较。方案间$u_j$的差异越小,该属性对方案决策和排序的作用越弱;反之,方案间$u_j$的差异越大,该属性对方案决策和排序的作用越强。
从对所有方案进行排序的角度来看,本文可以得出结论:方案的属性值偏差越大,所赋予的权重就越大。如果所有方案的属性之间没有差异,则属性 $ u_j $ 对方案排序没有影响,其权重为 0。
5 定量分析示例
5.1 安全评估模块
该评估模块包含多属性决策方法,用于获取云平台的属性权重、方案偏好和决策权重。其中,基于多属性决策方法的属性特征,对云平台的安全属性权重进行多属性决策,并从两个方面对云平台的安全属性进行分类。首先,将云平台的安全属性分为定量类型和定性类型;其次,可分为效益导向型和成本导向型。其中,效益型属性的值越大越好,对评估结果具有正向影响;而成本型属性的值越小越好,对评估结果具有负向影响。本文提出的评估属性属于效益型属性和定量类型属性。方案偏好用于衡量决策者对方案和属性的偏好、属性重要性以及与方案相关的决策者权威性(权威系数)。通常使用区间数表示决策权重,可定义区间数的期望值,通过最小化方案评估值与期望值之间的差异,确保权重向量选择的客观性。
5.2 量化评估
云安全量化评估算法的步骤包括:(1)对云平台量化评估的属性进行模糊化处理,使用G. A. 米勒理论构建区间值形式较为实用,最终形成决策矩阵。(2)利用公式对云平台安全量化评估的归一化决策矩阵进行归一化处理。(3)根据专家对云平台安全量化评估的偏好水平和经验,确定各属性的期望值。(4)获取云平台安全量化评估的属性权重。(5)最后,计算各评估方案的属性值根据权重进行相应排序。(6)为验证模型的可用性,可对专家开展相关问卷调查,并通过聚合得到云计算量化评估方案(表1)。
(1)属性量化与规范性方法。
上述表格中定量属性值的规范性方法,结果如表2所示。
该文章对成本导向和效益导向属性进行了规范化,从而得到如下标准规范的决策矩阵:
表 1. 云计算安全量化评估的定量属性特征
| 评估方法 | 物理安全 | Host 安全 | 应用程序 安全 | Data 安全 | 管理 |
|---|---|---|---|---|---|
| X1 | 不错 | Bad | Good | Good | Good |
| X2 | 优秀 | 优秀 | 非常差 | 不错 | 不错 |
| X3 | 不错 | 不错 | 优秀 | Good | Good |
| X4 | 优秀 | 优秀 | Bad | 不错 | 不错 |
| X5 | 非常差 | poor | 不错 | Good | Good |
表 2. 云计算安全量化评估指标的规范方法
| 评估方法 | 物理安全 | Host 安全 | 应用程序 安全 | Data 安全 | 管理 |
|---|---|---|---|---|---|
| X1 | [0.322 0.412] | [0.174 0.203] | [0.542 0.633] | [0.393 0.481] | [0.595 0.774] |
| X2 | [0.522 0.656] | [0.561 0.618] | [0.129 0.181] | [0.268 0.330] | [0.174 0.207] |
| X3 | [0.511 0.574] | [0.381 0.511] | [0.595 0.707] | [0.395 0.454] | [0.414 0.449] |
| X4 | [0.548 0.631] | [0.522 0.588] | [0.127 0.169] | [0.327 0.357] | [0.214 0.263] |
| X5 | [0.158 0.222] | [0.071 0.093] | [0.412 0.462] | [0.580 0.692] | [0.478 0.571] |
(2)确定专家对每个云安全量化评估方案的主观判断和偏好。
例如,一些专家参与了云平台安全性的评判,权威性为 $ b’_p = (0.83, 0.74, 0.80, 0.94) $,属性重要度为 $ W_j = (0.25, 0.28, 0.15, 0.21, 0.11) $。根据本文所述公式,可获得专家对不同云安全量化评估方案的偏好。
(3) 选择客观属性的综合评价和最优权重值
本文根据不同参数分配$W_j$,然后参照不同参数的属性最优权重比较云平台安全等级(表 3)。
选择不同参数时权重分配存在差异。原因是随着权重的增加,专家的主观判断信息在模型中的作用逐渐放大,对云平台的量化结果影响最大。然而,由于模型的变换,其他属性的分配也发生了一些变化。
表3. 云计算安全的量化评估结果
| 模型 参数 a, b | 属性优化权重 $W_j$ | 方案属性$Z_j$的综合值 |
|---|---|---|
| a = 1.0, b = 0 (模型P1) | (0.37, 0.15, 0.12, 0.22, 0.14) | (0.4344, 0.4398, 0.4906, 0.4269, 0.3477) |
| a = 0.5, b = 0.5 (模型P1&P2) | (0.34, 0.19, 0.13, 0.18, 0.16) | (0.4215, 0.4438, 0.5060, 0.4247, 0.3347) |
| a = 0, b = 1(模型 P2) | (0.41, 0.13, 0.14, 0.21, 0.11) | (0.4205, 0.4430, 0.5004, 0.4312, 0.3403) |
6 总结
综上所述,本文采用多属性决策方法对云计算安全进行评估,不仅确立了属性的权重,还综合考虑了专家对评估方案的偏好和客观最优排序两个因素。这是对模糊评估方法和主观逻辑评估方法的优化与改进,确保属性权重能够真实反映云平台的安全状况,为云计算的量化评估提供了高效实用的方法。
796

被折叠的 条评论
为什么被折叠?



