PS
这篇文章似乎写歪了啊,因为我测试SSE优化的代码,发现和原始版本的C代码速度是一致?不知道是有什么核心的地方没注意到?我再研究研究吧。
前言
本算法的原理以及优化过程都是偷师ImageShop,也可以把这篇文章理解为https://www.cnblogs.com/Imageshop/p/6376028.html 这篇文章的一篇阅读总结。
原理
首先,高斯滤波是可以用递归算法来实现的。这最早见于《Recursive implementation of the Gaussian filter》论文中:
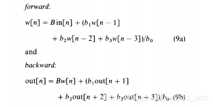
在forward的过程中,n是递增的,所以,我们在进行forward之前将in数据复制给w,然后上式即可变形为:
w [ n ] = B w [ n ] + ( b 1 w [ n − 1 ] + b 2 w [ n − 2 ] + b 3 w [ n − 3 ] ) / b 0 w[n]=Bw[n]+(b_1w[n-1]+b_2w[n-2]+b_3w[n-3])/b_0 w[n]=Bw[n]+(b1w[n−1]+b2w[n−2]+b3w[n−3])/b0-------(1a)。
同理backward过程中n是递减的,因此在backward前将w的数据完整的拷贝到out中,则式9b则变为:
o u t [ n ] = B o u t [ n ] + ( b 1 o u t [ n + 1 ] + b 2 o u t [ n + 2 ] + b 3 o u t [ n + 3 ] ) / b 0 out[n] = B out[n] + (b_1out[n+1] + b_2out[n+2] + b_3 out[n+3]) / b0 out[n]=B

最低0.47元/天 解锁文章
343

被折叠的 条评论
为什么被折叠?



