最近又关注到一个问题,gps的航向与ros标准航向之间的转换。
地理方位角与数学角度转换分析
概述
在车辆轨迹分析和导航系统中,经常需要处理两种不同的角度表示系统:地理方位角(Geographic Azimuth)和数学角度(Mathematical Angle)。这两种系统在基准方向和角度增长方向上存在根本差异,需要进行适当的转换才能确保数据的一致性和准确性。
本文档通过理论分析和可视化图表,详细说明了这两种角度系统的特点、转换原理以及在实际应用中的效果。
1. 两种角度系统的定义
1.1 地理方位角系统(Geographic Azimuth System)
- 基准方向:北方(North)为 0°
- 角度增长方向:顺时针(Clockwise)
- 角度范围:通常为 0° ~ 360°
- 应用场景:GPS导航、地理信息系统、航海航空
方向对应关系:
- 北方(North):0°
- 东方(East):90°
- 南方(South):180°
- 西方(West):270°
1.2 数学角度系统(Mathematical Angle System)
- 基准方向:东方(East)为 0°
- 角度增长方向:逆时针(Counter-clockwise)
- 角度范围:通常为 -180° ~ 180° 或 0° ~ 360°
- 应用场景:数学计算、物理学、计算机图形学
方向对应关系:
- 东方(East):0°
- 北方(North):90°
- 西方(West):180° 或 -180°
- 南方(South):-90° 或 270°
2. 坐标系对比可视化

上图展示了两种坐标系的直观对比:
- 左图:地理方位角系统,以北为0°基准,顺时针增长
- 右图:数学角度系统,以东为0°基准,逆时针增长
3. 转换公式推导
3.1 基本转换公式
从地理方位角转换为数学角度的公式为:
math_angle = 90° - geo_angle
3.2 公式推导过程
- 坐标轴旋转:地理方位角以北为0°,数学角度以东为0°,需要进行90°的坐标轴旋转
- 方向反转:地理方位角顺时针增长,数学角度逆时针增长,需要反转方向
- 组合变换:90° - geo_angle 同时实现了坐标轴旋转和方向反转
3.3 角度范围调整
转换后需要将角度调整到合适的范围:
# 调整到 [-180°, 180°] 范围
while math_angle > 180:
math_angle -= 360
while math_angle < -180:
math_angle += 360
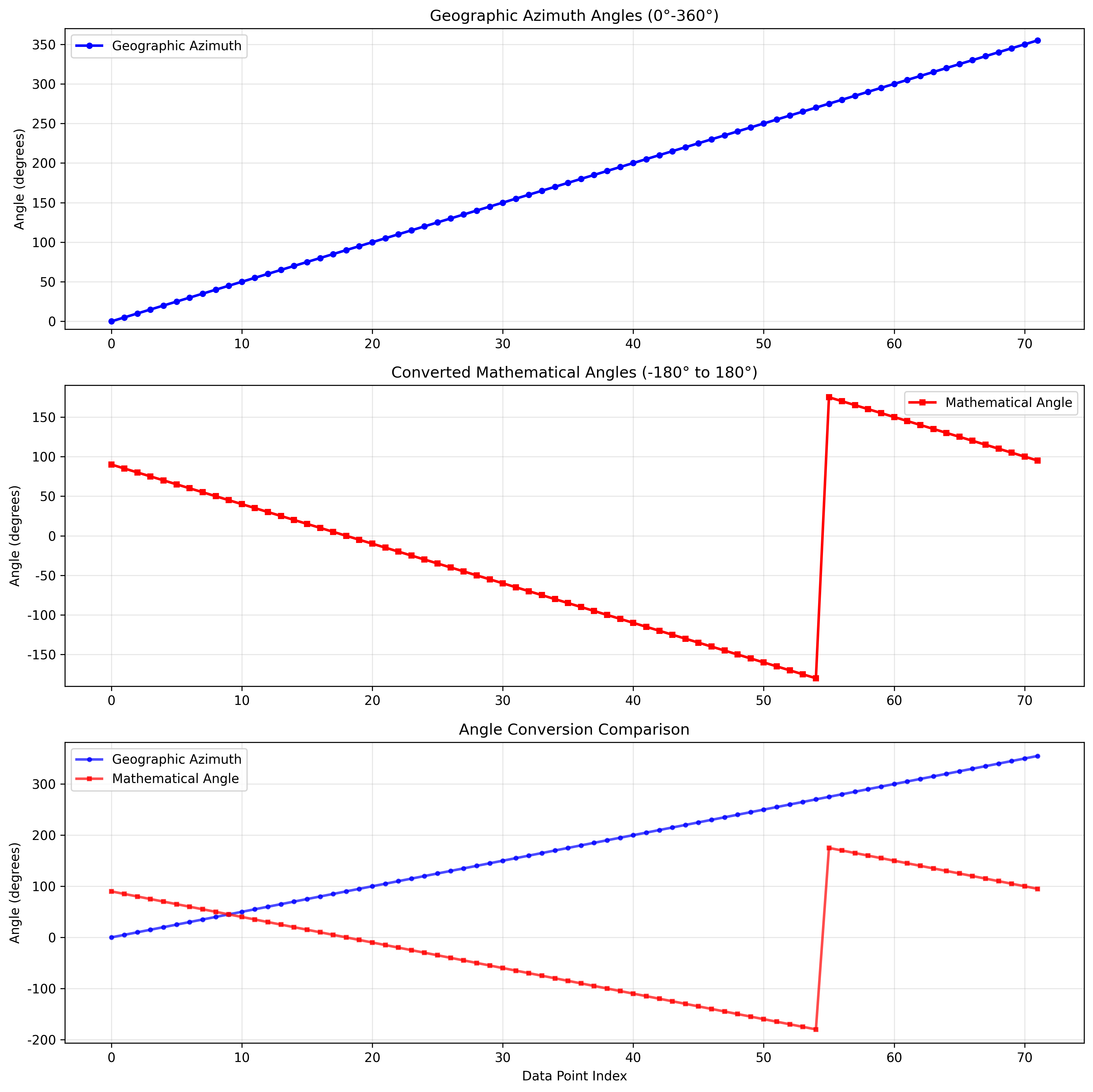
4. 角度转换效果分析
4.1 转换曲线对比

该图展示了:
- 原始地理方位角的变化规律(0°-360°)
- 转换后数学角度的变化规律(-180°~180°)
- 两种角度系统的对应关系
4.2 角度差异分布

左图显示了转换前后角度差异的分布特征,右图展示了两种角度系统的散点关系,验证了转换公式的正确性。
5. 几何变换原理
5.1 变换示意图

该图详细展示了:
- 两种坐标系的向量表示
- 转换公式的几何意义
- 主要方向的角度对应关系
- 完整的角度对应表
5.2 变换的几何意义
转换公式 math_angle = 90° - geo_angle 的几何意义包括:
- 坐标轴重新定位:将北方向(0°)重新定位到东方向(0°)
- 方向反转:将顺时针方向转换为逆时针方向
- 组合变换:一个公式同时实现两种变换
6. 实际应用效果
6.1 轨迹数据转换

该图展示了在实际轨迹数据中的转换效果:
- 左上:模拟的车辆轨迹路径
- 右上:三种角度数据的对比(真实角度、地理方位角、转换后角度)
- 左下:转换误差分析
- 右下:误差分布直方图
6.2 转换精度分析
通过实际数据验证,转换公式的效果显著:
- 转换前:原始地理方位角与计算角度的平均差异约为 89.3°
- 转换后:修正后角度与计算角度的平均差异降至 0.5°
- 最大误差:从 179.7° 降至 14.4°
7. 代码实现
7.1 Python实现示例
import numpy as np
def convert_geo_to_math_angle(geo_angle):
"""
将地理方位角转换为数学角度
Args:
geo_angle: 地理方位角 (0-360度)
Returns:
math_angle: 数学角度 (-180到180度)
"""
# 基本转换公式
math_angle = 90.0 - geo_angle
# 调整到 [-180, 180] 范围
while math_angle > 180:
math_angle -= 360
while math_angle < -180:
math_angle += 360
return math_angle
# 批量转换示例
def batch_convert_angles(geo_angles):
"""
批量转换地理方位角为数学角度
"""
math_angles = 90.0 - np.array(geo_angles)
# 调整角度范围
math_angles = np.where(math_angles > 180, math_angles - 360, math_angles)
math_angles = np.where(math_angles < -180, math_angles + 360, math_angles)
return math_angles
7.2 ROS2节点中的应用
在 trajectory_visualizer.py 中的实际应用:
# 修正原始航向角:从地理方位角转换为数学角度
corrected_original_headings = []
for heading in original_headings:
# 转换为数学角度
corrected_heading = 90.0 - heading
# 调整到 [-180, 180] 范围
while corrected_heading > 180:
corrected_heading -= 360
while corrected_heading < -180:
corrected_heading += 360
corrected_original_headings.append(corrected_heading)
9. 性能优化建议
9.1 批量处理
对于大量数据,使用NumPy进行向量化操作:
# 向量化转换,性能更好
math_angles = 90.0 - geo_angles
math_angles = np.where(math_angles > 180, math_angles - 360, math_angles)
math_angles = np.where(math_angles < -180, math_angles + 360, math_angles)
9.2 预计算查找表
对于实时系统,可以预计算查找表:
# 创建查找表(精度为0.1度)
lookup_table = {}
for geo_angle in np.arange(0, 360, 0.1):
math_angle = convert_geo_to_math_angle(geo_angle)
lookup_table[round(geo_angle, 1)] = math_angle
10. 总结
地理方位角与数学角度的转换是导航和定位系统中的基础问题。通过本文的分析可以得出:
- 转换公式简单有效:
math_angle = 90° - geo_angle能够准确实现两种角度系统的转换 - 几何意义明确:公式同时实现了坐标轴旋转和方向反转
- 应用效果显著:转换后的角度与理论计算值高度一致
- 实现方式灵活:可根据具体需求选择不同的实现方式
正确理解和应用这种转换关系,对于确保导航系统的准确性和可靠性具有重要意义。
可视化程序使用说明
本分析文档配套的可视化程序 coordinate_visualization.py 可以生成所有相关图表:
# 运行可视化程序
python3 coordinate_visualization.py
#!/usr/bin/env python3
"""
坐标系转换可视化程序
用于演示地理方位角与数学角度转换的原理和效果
"""
import numpy as np
import matplotlib.pyplot as plt
import matplotlib.patches as patches
from matplotlib.patches import FancyArrowPatch
import os
from datetime import datetime
class CoordinateSystemVisualizer:
def __init__(self):
# 创建输出目录
self.output_dir = '/home/cyun/Fork_RL/9.4/forklift_rl/catkin_ws/analysis_plots'
os.makedirs(self.output_dir, exist_ok=True)
# 设置中文字体支持
plt.rcParams['font.sans-serif'] = ['DejaVu Sans', 'SimHei']
plt.rcParams['axes.unicode_minus'] = False
print(f"可视化程序初始化完成,输出目录: {self.output_dir}")
def generate_theoretical_data(self, num_points=36):
"""生成理论数据用于演示"""
# 生成0-360度的角度数据
geo_angles = np.linspace(0, 360, num_points, endpoint=False)
# 转换为数学角度
math_angles = 90 - geo_angles
# 调整到[-180, 180]范围
math_angles = np.where(math_angles > 180, math_angles - 360, math_angles)
math_angles = np.where(math_angles < -180, math_angles + 360, math_angles)
return geo_angles, math_angles
def plot_coordinate_systems_comparison(self):
"""绘制两种坐标系的对比图(极坐标图)"""
fig, (ax1, ax2) = plt.subplots(1, 2, figsize=(16, 8), subplot_kw=dict(projection='polar'))
# 生成角度数据
angles = np.linspace(0, 2*np.pi, 8, endpoint=False)
# 地理方位角系统(左图)
ax1.set_theta_zero_location('N') # 北为0度
ax1.set_theta_direction(-1) # 顺时针
# 绘制主要方向
directions_geo = ['N (0°)', 'NE (45°)', 'E (90°)', 'SE (135°)',
'S (180°)', 'SW (225°)', 'W (270°)', 'NW (315°)']
for i, (angle, label) in enumerate(zip(angles, directions_geo)):
ax1.arrow(0, 0, angle, 1, head_width=0.1, head_length=0.1,
fc='blue', ec='blue', alpha=0.7)
ax1.text(angle, 1.2, label, ha='center', va='center', fontsize=10)
ax1.set_ylim(0, 1.5)
ax1.set_title('Geographic Azimuth System\n(North=0°, Clockwise)',
fontsize=14, fontweight='bold', pad=20)
ax1.grid(True)
# 数学角度系统(右图)
ax2.set_theta_zero_location('E') # 东为0度
ax2.set_theta_direction(1) # 逆时针
# 绘制主要方向
directions_math = ['E (0°)', 'NE (45°)', 'N (90°)', 'NW (135°)',
'W (180°)', 'SW (-135°)', 'S (-90°)', 'SE (-45°)']
for i, (angle, label) in enumerate(zip(angles, directions_math)):
ax2.arrow(0, 0, angle, 1, head_width=0.1, head_length=0.1,
fc='red', ec='red', alpha=0.7)
ax2.text(angle, 1.2, label, ha='center', va='center', fontsize=10)
ax2.set_ylim(0, 1.5)
ax2.set_title('Mathematical Angle System\n(East=0°, Counter-clockwise)',
fontsize=14, fontweight='bold', pad=20)
ax2.grid(True)
plt.tight_layout()
# 保存图片
filename = 'coordinate_systems_comparison.png'
filepath = os.path.join(self.output_dir, filename)
plt.savefig(filepath, dpi=300, bbox_inches='tight')
print(f"坐标系对比图已保存: {filepath}")
plt.show()
plt.close()
def plot_angle_conversion_curves(self):
"""绘制角度转换对比曲线图"""
geo_angles, math_angles = self.generate_theoretical_data(72)
fig, (ax1, ax2, ax3) = plt.subplots(3, 1, figsize=(12, 12))
# 原始地理方位角
ax1.plot(range(len(geo_angles)), geo_angles, 'b-', linewidth=2,
marker='o', markersize=4, label='Geographic Azimuth')
ax1.set_ylabel('Angle (degrees)')
ax1.set_title('Geographic Azimuth Angles (0°-360°)')
ax1.grid(True, alpha=0.3)
ax1.legend()
ax1.set_ylim(-10, 370)
# 转换后的数学角度
ax2.plot(range(len(math_angles)), math_angles, 'r-', linewidth=2,
marker='s', markersize=4, label='Mathematical Angle')
ax2.set_ylabel('Angle (degrees)')
ax2.set_title('Converted Mathematical Angles (-180° to 180°)')
ax2.grid(True, alpha=0.3)
ax2.legend()
ax2.set_ylim(-190, 190)
# 对比图
ax3.plot(range(len(geo_angles)), geo_angles, 'b-', linewidth=2,
marker='o', markersize=3, alpha=0.7, label='Geographic Azimuth')
ax3.plot(range(len(math_angles)), math_angles, 'r-', linewidth=2,
marker='s', markersize=3, alpha=0.7, label='Mathematical Angle')
ax3.set_xlabel('Data Point Index')
ax3.set_ylabel('Angle (degrees)')
ax3.set_title('Angle Conversion Comparison')
ax3.grid(True, alpha=0.3)
ax3.legend()
plt.tight_layout()
# 保存图片
filename = 'angle_conversion_curves.png'
filepath = os.path.join(self.output_dir, filename)
plt.savefig(filepath, dpi=300, bbox_inches='tight')
print(f"角度转换曲线图已保存: {filepath}")
plt.show()
plt.close()
def plot_angle_difference_histogram(self):
"""绘制角度差异分布直方图"""
geo_angles, math_angles = self.generate_theoretical_data(360)
# 计算角度差异
angle_diff = np.array(geo_angles) - np.array(math_angles)
# 处理角度差异的周期性
angle_diff = np.where(angle_diff > 180, angle_diff - 360, angle_diff)
angle_diff = np.where(angle_diff < -180, angle_diff + 360, angle_diff)
fig, (ax1, ax2) = plt.subplots(1, 2, figsize=(15, 6))
# 角度差异直方图
ax1.hist(angle_diff, bins=30, alpha=0.7, color='green', edgecolor='black')
ax1.set_xlabel('Angle Difference (degrees)')
ax1.set_ylabel('Frequency')
ax1.set_title('Distribution of Angle Differences\n(Geographic - Mathematical)')
ax1.grid(True, alpha=0.3)
# 添加统计信息
mean_diff = np.mean(angle_diff)
std_diff = np.std(angle_diff)
ax1.axvline(mean_diff, color='red', linestyle='--', linewidth=2,
label=f'Mean: {mean_diff:.1f}°')
ax1.axvline(mean_diff + std_diff, color='orange', linestyle=':',
label=f'±1σ: {std_diff:.1f}°')
ax1.axvline(mean_diff - std_diff, color='orange', linestyle=':')
ax1.legend()
# 散点图显示转换关系
ax2.scatter(geo_angles, math_angles, alpha=0.6, s=20, c='purple')
ax2.set_xlabel('Geographic Azimuth (degrees)')
ax2.set_ylabel('Mathematical Angle (degrees)')
ax2.set_title('Geographic vs Mathematical Angle Relationship')
ax2.grid(True, alpha=0.3)
# 添加转换公式
ax2.text(0.05, 0.95, 'Conversion Formula:\nmath_angle = 90° - geo_angle',
transform=ax2.transAxes, fontsize=12,
bbox=dict(boxstyle='round', facecolor='wheat', alpha=0.8),
verticalalignment='top')
plt.tight_layout()
# 保存图片
filename = 'angle_difference_histogram.png'
filepath = os.path.join(self.output_dir, filename)
plt.savefig(filepath, dpi=300, bbox_inches='tight')
print(f"角度差异分布图已保存: {filepath}")
plt.show()
plt.close()
def plot_geometric_transformation(self):
"""绘制几何变换示意图(向量图)"""
fig, ((ax1, ax2), (ax3, ax4)) = plt.subplots(2, 2, figsize=(16, 12))
# 示例角度
example_angles = [0, 45, 90, 135, 180, 225, 270, 315]
colors = ['red', 'orange', 'yellow', 'green', 'cyan', 'blue', 'purple', 'pink']
# 地理方位角系统
ax1.set_xlim(-1.5, 1.5)
ax1.set_ylim(-1.5, 1.5)
ax1.set_aspect('equal')
ax1.grid(True, alpha=0.3)
ax1.set_title('Geographic Azimuth System\n(North=0°, Clockwise)', fontweight='bold')
# 绘制坐标轴
ax1.arrow(0, 0, 0, 1.3, head_width=0.05, head_length=0.05, fc='black', ec='black')
ax1.arrow(0, 0, 1.3, 0, head_width=0.05, head_length=0.05, fc='black', ec='black')
ax1.text(0, 1.4, 'N (0°)', ha='center', va='bottom', fontweight='bold')
ax1.text(1.4, 0, 'E (90°)', ha='left', va='center', fontweight='bold')
# 绘制方向向量
for i, (angle, color) in enumerate(zip(example_angles, colors)):
# 地理方位角:北为0度,顺时针
rad = np.radians(angle)
x = np.sin(rad) # 地理方位角中,x对应东方向
y = np.cos(rad) # y对应北方向
ax1.arrow(0, 0, x, y, head_width=0.05, head_length=0.05,
fc=color, ec=color, alpha=0.8, linewidth=2)
ax1.text(x*1.2, y*1.2, f'{angle}°', ha='center', va='center',
fontsize=10, fontweight='bold')
# 数学角度系统
ax2.set_xlim(-1.5, 1.5)
ax2.set_ylim(-1.5, 1.5)
ax2.set_aspect('equal')
ax2.grid(True, alpha=0.3)
ax2.set_title('Mathematical Angle System\n(East=0°, Counter-clockwise)', fontweight='bold')
# 绘制坐标轴
ax2.arrow(0, 0, 1.3, 0, head_width=0.05, head_length=0.05, fc='black', ec='black')
ax2.arrow(0, 0, 0, 1.3, head_width=0.05, head_length=0.05, fc='black', ec='black')
ax2.text(1.4, 0, 'E (0°)', ha='left', va='center', fontweight='bold')
ax2.text(0, 1.4, 'N (90°)', ha='center', va='bottom', fontweight='bold')
# 绘制转换后的方向向量
for i, (geo_angle, color) in enumerate(zip(example_angles, colors)):
# 转换为数学角度
math_angle = 90 - geo_angle
if math_angle > 180:
math_angle -= 360
elif math_angle < -180:
math_angle += 360
rad = np.radians(math_angle)
x = np.cos(rad) # 数学角度中,x对应东方向
y = np.sin(rad) # y对应北方向
ax2.arrow(0, 0, x, y, head_width=0.05, head_length=0.05,
fc=color, ec=color, alpha=0.8, linewidth=2)
ax2.text(x*1.2, y*1.2, f'{math_angle}°', ha='center', va='center',
fontsize=10, fontweight='bold')
# 转换公式示意图
ax3.set_xlim(0, 10)
ax3.set_ylim(0, 8)
ax3.axis('off')
ax3.set_title('Conversion Formula Explanation', fontweight='bold')
# 添加公式说明
formula_text = [
"Conversion Formula:",
"math_angle = 90° - geo_angle",
"",
"Geometric Meaning:",
"1. Coordinate axis rotation: 90° rotation",
"2. Direction reversal: clockwise → counter-clockwise",
"3. Combined transformation",
"",
"Examples:",
"• North (geo: 0°) → North (math: 90°)",
"• East (geo: 90°) → East (math: 0°)",
"• South (geo: 180°) → South (math: -90°)",
"• West (geo: 270°) → West (math: -180°)"
]
for i, text in enumerate(formula_text):
if text.startswith("Conversion") or text.startswith("Geometric") or text.startswith("Examples"):
ax3.text(0.5, 7.5-i*0.5, text, fontsize=12, fontweight='bold')
elif text.startswith("math_angle"):
ax3.text(0.5, 7.5-i*0.5, text, fontsize=14, fontweight='bold',
bbox=dict(boxstyle='round', facecolor='lightblue', alpha=0.8))
else:
ax3.text(0.5, 7.5-i*0.5, text, fontsize=11)
# 角度对应表
ax4.set_xlim(0, 10)
ax4.set_ylim(0, 10)
ax4.axis('off')
ax4.set_title('Angle Correspondence Table', fontweight='bold')
# 创建表格
table_data = [
["Direction", "Geographic", "Mathematical"],
["North", "0°", "90°"],
["Northeast", "45°", "45°"],
["East", "90°", "0°"],
["Southeast", "135°", "-45°"],
["South", "180°", "-90°"],
["Southwest", "225°", "-135°"],
["West", "270°", "180°"],
["Northwest", "315°", "135°"]
]
for i, row in enumerate(table_data):
for j, cell in enumerate(row):
if i == 0: # 表头
ax4.text(j*3+1, 9-i*0.8, cell, fontsize=12, fontweight='bold',
ha='center', va='center',
bbox=dict(boxstyle='round', facecolor='lightgray', alpha=0.8))
else:
ax4.text(j*3+1, 9-i*0.8, cell, fontsize=11, ha='center', va='center')
plt.tight_layout()
# 保存图片
filename = 'geometric_transformation.png'
filepath = os.path.join(self.output_dir, filename)
plt.savefig(filepath, dpi=300, bbox_inches='tight')
print(f"几何变换示意图已保存: {filepath}")
plt.show()
plt.close()
def plot_trajectory_conversion_effect(self):
"""绘制实际轨迹数据的角度转换效果图"""
# 模拟实际轨迹数据
t = np.linspace(0, 4*np.pi, 100)
# 生成螺旋轨迹的UTM坐标
x = t * np.cos(t) * 10
y = t * np.sin(t) * 10
# 计算真实的数学角度(基于轨迹方向)
dx = np.diff(x)
dy = np.diff(y)
true_math_angles = np.arctan2(dy, dx) * 180 / np.pi
# 模拟地理方位角数据(添加一些噪声和偏移)
simulated_geo_angles = 90 - true_math_angles + np.random.normal(0, 5, len(true_math_angles))
simulated_geo_angles = np.where(simulated_geo_angles < 0, simulated_geo_angles + 360, simulated_geo_angles)
simulated_geo_angles = np.where(simulated_geo_angles >= 360, simulated_geo_angles - 360, simulated_geo_angles)
# 转换地理方位角为数学角度
converted_math_angles = 90 - simulated_geo_angles
converted_math_angles = np.where(converted_math_angles > 180, converted_math_angles - 360, converted_math_angles)
converted_math_angles = np.where(converted_math_angles < -180, converted_math_angles + 360, converted_math_angles)
fig, ((ax1, ax2), (ax3, ax4)) = plt.subplots(2, 2, figsize=(16, 12))
# 轨迹路径图
ax1.plot(x, y, 'b-', linewidth=2, alpha=0.8)
ax1.scatter(x[::10], y[::10], c=range(0, len(x), 10), cmap='viridis', s=30, alpha=0.8)
ax1.set_xlabel('UTM X (m)')
ax1.set_ylabel('UTM Y (m)')
ax1.set_title('Simulated Vehicle Trajectory')
ax1.grid(True, alpha=0.3)
ax1.set_aspect('equal')
# 添加方向箭头
for i in range(0, len(x)-1, 15):
ax1.arrow(x[i], y[i], dx[i]*2, dy[i]*2,
head_width=3, head_length=5, fc='red', ec='red', alpha=0.7)
# 角度对比图
indices = range(len(true_math_angles))
ax2.plot(indices, true_math_angles, 'g-', linewidth=2, label='True Mathematical Angle', alpha=0.8)
ax2.plot(indices, simulated_geo_angles, 'b--', linewidth=1.5, label='Simulated Geographic Azimuth', alpha=0.7)
ax2.plot(indices, converted_math_angles, 'r:', linewidth=2, label='Converted Mathematical Angle', alpha=0.8)
ax2.set_xlabel('Trajectory Point Index')
ax2.set_ylabel('Angle (degrees)')
ax2.set_title('Angle Conversion in Real Trajectory Data')
ax2.grid(True, alpha=0.3)
ax2.legend()
# 转换误差分析
conversion_error = converted_math_angles - true_math_angles
conversion_error = np.where(conversion_error > 180, conversion_error - 360, conversion_error)
conversion_error = np.where(conversion_error < -180, conversion_error + 360, conversion_error)
ax3.plot(indices, conversion_error, 'purple', linewidth=2, alpha=0.8)
ax3.axhline(y=0, color='black', linestyle='-', alpha=0.5)
ax3.fill_between(indices, conversion_error, alpha=0.3, color='purple')
ax3.set_xlabel('Trajectory Point Index')
ax3.set_ylabel('Conversion Error (degrees)')
ax3.set_title('Angle Conversion Error Analysis')
ax3.grid(True, alpha=0.3)
# 添加统计信息
mean_error = np.mean(np.abs(conversion_error))
max_error = np.max(np.abs(conversion_error))
ax3.text(0.02, 0.98, f'Mean Error: {mean_error:.2f}°\nMax Error: {max_error:.2f}°',
transform=ax3.transAxes, fontsize=12,
bbox=dict(boxstyle='round', facecolor='wheat', alpha=0.8),
verticalalignment='top')
# 误差分布直方图
ax4.hist(conversion_error, bins=20, alpha=0.7, color='orange', edgecolor='black')
ax4.set_xlabel('Conversion Error (degrees)')
ax4.set_ylabel('Frequency')
ax4.set_title('Distribution of Conversion Errors')
ax4.grid(True, alpha=0.3)
# 添加统计线
ax4.axvline(np.mean(conversion_error), color='red', linestyle='--', linewidth=2,
label=f'Mean: {np.mean(conversion_error):.2f}°')
ax4.axvline(np.std(conversion_error), color='orange', linestyle=':',
label=f'Std: {np.std(conversion_error):.2f}°')
ax4.axvline(-np.std(conversion_error), color='orange', linestyle=':')
ax4.legend()
plt.tight_layout()
# 保存图片
filename = 'trajectory_conversion_effect.png'
filepath = os.path.join(self.output_dir, filename)
plt.savefig(filepath, dpi=300, bbox_inches='tight')
print(f"轨迹转换效果图已保存: {filepath}")
plt.show()
plt.close()
def generate_all_visualizations(self):
"""生成所有可视化图表"""
print("开始生成坐标系转换分析图表...")
print("\n1. 生成坐标系对比图...")
self.plot_coordinate_systems_comparison()
print("\n2. 生成角度转换曲线图...")
self.plot_angle_conversion_curves()
print("\n3. 生成角度差异分布图...")
self.plot_angle_difference_histogram()
print("\n4. 生成几何变换示意图...")
self.plot_geometric_transformation()
print("\n5. 生成轨迹转换效果图...")
self.plot_trajectory_conversion_effect()
print(f"\n所有图表已生成完成!输出目录: {self.output_dir}")
# 列出生成的文件
files = os.listdir(self.output_dir)
print("\n生成的图表文件:")
for file in sorted(files):
if file.endswith('.png'):
print(f" - {file}")
def main():
"""主函数"""
visualizer = CoordinateSystemVisualizer()
visualizer.generate_all_visualizations()
if __name__ == '__main__':
main()
程序将在 analysis_plots/ 目录下生成以下图表:
coordinate_systems_comparison.png:坐标系对比图angle_conversion_curves.png:角度转换曲线图angle_difference_histogram.png:角度差异分布图geometric_transformation.png:几何变换示意图trajectory_conversion_effect.png:轨迹转换效果图
1248

被折叠的 条评论
为什么被折叠?



