腹腔镜器械设计中的挑战
摘要
为了在手术操作中尽量减少创伤,外科技术不断演进。通过具备2或3个自由度的机器人化器械实现微创手术(MIS)的机器人化,旨在提高灵巧性、精度等,从而辅助外科医生。本文介绍了在开发一种手术器械过程中所面临 的挑战,这些经验源于完整手术机器人系统的研发与实施工作。在概述了与 MIS替代技术相关的手术器械之后,本文描述了为所开发的机器人系统设计 腹腔镜器械的过程。我们的方法聚焦于实现用户友好的腹腔镜技术所面临的 技术挑战,并确保该技术对医院而言具有可承受性。这些挑战包括设计小型 化器械的复杂性,既要满足外科要求,又要引入触觉反馈等附加功能。此外, 我们还阐述了为满足商业化要求而克服的非技术障碍。该领域数量庞大的专 利如同蜘蛛网一般,迫使我们必须寻求新颖性。尽管机器人系统的某些特定 部件并非本项目的核心,但我们仍需优化其设计并申请自有专利,以确保整 个机器人系统不侵犯他人专利。另一方面,复杂的监管程序使得整个商业化 过程变得漫长而繁琐。最后,我们介绍了当前正在进行的研究,旨在提升此 类机器人辅助手术的性能,并拓展至其他外科领域。
关键词 微创手术 · 腹腔镜器械 · 遥操作手术
1 引言
不断尝试减少手术干预带来的创伤,最终在1981年取得了一项重要成就,当时德国妇科医生库尔特·泽姆通过进入腹腔的微小切口完成了首次手术腹腔[1]。此次首次手术为阑尾切除术,由此形成了传统腹腔镜手术的经典操作方式,即采用三个切口,作为开放手术中大切口的替代方案。该手术借鉴了此前使用光学套管(一种膀胱镜)的经验,将其插入充入二氧化碳的腹腔,并使用套管针插入手术器械。然而,直到1986年才完成了首例胆囊切除术,这种手术技术被誉为“魔术手术”。由于各类器械的不断开发,这些技术得到了越来越广泛的应用。微型摄像头和用于观察腹腔的显示屏便是其中的例子。这一新场景使得助手人员和主刀医生均能观察到手术区域。
技术进步体现在两个方面。一方面,器械直径不断减小,从5毫米甚至减小到2毫米以下;另一方面,研究重点在于为器械增加除简单轴向旋转之外的自由度。
正是在21世纪初机器人辅助腹腔镜手术推出之后,才得以使用具有转动、俯仰和偏 yaw 运动的器械,而这些运动在手动手术中难以控制。这些器械复杂性的提高导致其直径增大,以实现相同的力性能。由于8毫米是标准直径,5毫米直径也较为常见,但在旋转范围上受到限制,且所能达到的力较小。
在追求新性能的过程中,自1997年起开发了具有三个或最多四个入口(进入点、端口)的穿刺器,从而能够通过单一的切口进行手术操作,这为减少疤痕提供了可能。由于这些新型穿刺器需要更大的直径(12至20毫米),因此切口通常通过肚脐进行。此类手术推动了可折叠器械的开发,从而可以使用更细的穿刺器。当这些器械进入体内后展开时,可实现更好的三角定位(用于表示手术区域内三个基本瞄准点的概念),从而缓解从单一投影点操作所带来的困难。然而,与允许从三个或更多方向到达目标点的腹腔镜手术相比,其操作性能仍较差。尽管如此,对于外科医生而言,这种操作上的局限性在某些特定手术中,因对患者美观影响较小而得到补偿。
为了寻找更微创的技术,2005年引入了新的腹腔镜技术,即经自然腔道内镜手术(NOTES)。瘢痕更少的手术,或者更好的是无皮肤切口的手术,通过自然腔道[2]作为入路。
2008年,我们的研究团队承担了开发一种用于腹腔镜手术的机器人系统的挑战,目标是提供一种比市场上现有的唯一工业系统更简单、创伤更小的机器人。这一挑战不仅涉及机器人系统的开发,还包括开发具有三个自由度的器械,以实现腹腔内的高可达性。后者在实践中比机器人本身的开发更为困难。这部分是由于尺寸限制带来的机械复杂性所致。器械套管被限制在最大直径8毫米,需要优化尺寸‐力度权衡。除了正常的技术挑战外,还需避免使用受知识产权壁垒限制的解决方案。
本文介绍了我们在设计和开发用于商业化机器人化系统的一套手术器械过程中所面临的挑战。该工作还描述了我们的实验室在机器人化显微外科器械领域提出的未来挑战。
2 腹腔镜手术新工具
最初,腹腔镜手术为每种器械使用一个切口和一个套管针,以便外科医生可以根据每次手术所需的可及性选择进入点。这使得外科医生能够以不同方向进行操作,从而缓解了传统工具缺乏旋转所造成的限制。对更少切口手术的需求推动了从单一通路端口进行操作的器械开发。为了确保即使在正面插入时也能实现侧向进入工作区域,有必要设计具有一定弯曲度的器械,如图1所示。
这项独特的切口技术的开发,被称为单端口(SILS,单切口腹腔镜手术)或 LESS(经脐单部位腹腔镜手术),沿着两条明确不同的路径发展:一种是单一端口、多通路设计,每个器械都有独立的通路,例如ASC TriPort®(Advanced Surgical Concepts公司,爱尔兰威克洛);另一种则是单一端口,仅通过一个通路插入器械[3]。在这种情况下,当器械到达腹腔后,会展开为两个或多个臂,同时光学部件突出于其他部分以获取图像,如TransEnterix公司(美国北卡罗来纳州德罕)的SPIDER手术系统[4],图2。
在传统腹腔镜手术和使用多通道端口的SILS中,器械可以接近并收回,从而产生两个位移:垂直和水平。这些位移通过围绕套管针旋转器械所产生的角度运动来实现,图3。
传统腹腔镜手术,b) 单孔多套管,c) 单孔与折叠式手术器械)
为了在使用SILS/LESS(单孔腹腔镜手术/经脐单孔腹腔镜手术)且仅有一个通道端口的情况下实现类似的可操作性,展开的器械也应能够执行类似的垂直和水平偏转。在这种情况下,它们作用于必须具有弯曲度的器械。该弯曲度提供了两种不同的操作方式:具有镜像效应(如传统腹腔镜手术)或无此效应(如机器人辅助腹腔镜手术),图4。
这些器械本身也有两种驱动类型:刚性器械,或具有可变弯曲度和/或长度的器械,后者需要更复杂的技术。
然而,单孔技术在操作灵活性方面存在一定的限制。由于多种器械共用一个进入点,导致其定位和方向调整变得困难。为了克服这些限制,已开发出其他可在腹腔内自由移动的器械,以扩大可及范围。这些器械通常通过磁力附着于腹腔上壁,并可通过引导来优化工作器械的方向,如图5所示。
将导入器放置在合适的位置,同时处理疤痕的后方可见性以及插入腹腔内器械的导航问题,即可到达任何位置而无需额外开孔。首批采用磁力支撑技术制造的器械是无线摄像头。该技术器械的设计更为复杂,因为它不仅需要实现器械的定位,还需要实现其驱动,而在某些情况下还需实现特定的方向定位。在这种情况下,旋转运动可以通过生成磁场并利用磁铁圆柱体来传递,如图6所示。
3 原型设计。技术问题与障碍
我们研究小组面临的挑战在于开发一种用于腹腔镜手术的机器人系统,该系统由一组两个机器人组成,每个机器人配备两条机械臂,并通过远程操作进行控制。该系统还需要开发在远端元件具有三个自由度的工作工具。这些工作工具应具备与手动工具相当的工作力,同时其直径不得超过8毫米。
这些器械的开发是该项目中最繁重的部分。主要困难来自技术设计;材料生物相容性要求带来的限制;获得欧洲共同体和美国食品药品监督管理局监管批准所施加的条件;以及他人知识产权(个人财产)所带来的限制。
3.1 技术设计和操作原型
就技术挑战而言,手术器械必须应对四个因素:高效设计、可实现的力、成本和耐用性。这些特性在许多方面相互矛盾,因此必须寻求一种折衷方案,以实现其型式认证,并确保具备商业可行性。
需要在具有三个旋转功能并需提供一定工作力的夹持器上进行驱动,这决定了运动传递方式的选择,因为执行器无法置于器械的远端,而必须位于腹腔外部。为了寻求最低成本解决方案,决定将执行器移至体外,将器械分为两部分:第一部分是集成到整体机器人设备中的电动元件,第二部分是工作器械,可在灭菌后重复使用,或作为一次性使用后丢弃。
传递运动的技术替代方案可以是杆件、缆线或齿轮。皮带未被考虑,不仅因为其尺寸,还因为存在生物相容性问题。使用杆件的机械解决方案是最常使用的,也是如图7所示能够传递较大力的方案。
该方案使运动的传递与器械的旋转相兼容,但并未解决在方向上的转弯处进行运动传递的问题。在这种情况下,必须使用齿轮(图9)或缆线(图10)。采用缆线的方案能够更方便地实现通过两个关节的传递,以完成方向上的转弯,因此是最常使用的方案(图11)。
遗憾的是,传动系统技术的选择不仅取决于技术因素。更重要的是,必须确保不侵犯现有专利,即获得“自由操作”权。基于杆件或齿轮的解决方案变体较少,因此我们不得不放弃基于这些技术的方案。
因此,所选择的技术是基于缆线的,与目前占主导地位的制造商所采用的技术相同。然而,两种设计有明显区别:我们的设计在每个中间关节处不使用滑轮来引导缆线,而是使用柔性缆线护套,如图12所示。带护套的缆线可用于通过关节传递运动,同时保持缆线长度不变,如图13所示。因此,运动实现解耦,这与图11所示滑轮的情况相反。
这种解决方案已使用数十年,因此不受知识产权主张的限制。尽管在概念上简单,但该方案在缩小规模时难以实现。因此,必须解决电缆从鞘管引出至关节或夹持器驱动卷筒时的导向问题。虽然并非最优方案,但目前依赖于基于摩擦的偏转喷嘴设计,如图14所示。因此,电缆在张力下工作会导致一定程度的磨损,从而限制了其耐用性。对这些喷嘴的轮廓研究已实现了性能和耐用性的优化,该方案已获得专利[5]。此设计不如带滑轮的传动系统高效,存在更大的摩擦阻力,因而性能较低。此外还存在滞后现象,尽管已通过软件进行了补偿。
使用8毫米的穿刺器入口限制了卷筒的半径,使其减小至2.5毫米,如图14所示。为了在夹持器上达到约0.2牛·米的扭矩,缆线需要施加0.2/0.003=66牛顿的力,对应直径0.45毫米的缆线。由于传动系统的分段结构,必须对执行器进行电机化设计,使其能够向执行端传递高达100牛顿的力。
腹腔镜器械设计中的挑战
3.2 非技术障碍
到目前为止,我们已经描述了为实现一个合适且可靠的产品所面临的主要挑战。然而,还有一些处于科学关注点之外的附加要求,也可能决定产品的成功或失败。在本节中,我们将阐述与知识产权管理以及将产品推向市场所需的法律要求相关的困难和风险。
显然,了解任何技术领域的专利状况至关重要,无论是为了保护自身的知识产权,还是为了避免侵犯他人权利。以我们的情况为例,机器人手术器械属于过去十年中在欧洲专利申请数量增长最快的技术领域。如图15所示,医疗技术在2014[6]年度的欧洲专利申请量已位居首位(我们注意到2010年由于专利申请规则的变更而出现了一个峰值)。
根据我们的经验,专利申请一直是一个耗时且成本高昂的过程,主要原因是要审查大量相关和不相关的文件。仅直觉外科公司(Intuitive Surgical)就拥有1800项专利及1500项待批准专利,用于保护达芬奇手术系统[7]。他们的专利策略明显旨在以垄断方式控制腹腔镜手术机器人行业。这些新器械的开发迫使我们必须为其申请专利,这并不一定是为了创新,而只是为了避免任何侵权行为,并能够进行制造。
还存在一些不合理专利,导致了荒谬的情况。例如,有专利声称报警器颜色是一项发明,或有公司声称远程操作的概念为其自身的知识产权,这些都是真实存在的例子,如果被采纳,确实会阻碍任何开发。这些专利的批准显然出于政治原因,而非公正地保护真正的发明。
为了获得我们手术器械的商业化权利,我们遵循了理事会指令93/42/EEC关于医疗器械的监管要求。一方面,其优点在于主管机构所要求的验证测试必须由我们自行设计。然而,按照我们自己的标准来评估技术也存在缺点。由于缺乏标准程序,在提交测试结果时存在被拒绝的风险。因此,监管审批所需的时间变得不确定。
另一个障碍是各国法律的实施方式不同。监管要求可能因产品拟商业化地区而异。任何额外的要求都不可避免地转化为额外时间和成本。因此,通常会遵循所谓的软法。这些是非约束性法规,例如ISO标准。尽管它们不具有法律效力,但提供了高效的指导方针,以获得产品商业化的监管批准。
4 结果与评估
在手术器械的设计过程中,我们考虑了两种替代方案。一种方案是确保长寿命,但需要设计成本较高的器械;另一种方案是设计低成本产品,能够至少完成一次完整的手术操作。鉴于现有专利的限制,无法采用诸如通过驱动滑轮实现有线传动等常规解决方案,因此我们选择了设计一次性使用器械。尽管其机械性能较低,但我们已在具备三个自由度的器械上实现了效率‐力与耐用性之间的满意平衡。该器械的使用寿命超过5个工作小时,足以完成一次完整的手术操作。
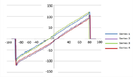
已构建一个测试平台,用于执行客观且严格的质量控制过程。该测试监控一项重复性任务,测量每个自由度的偏转角度,分析其退化情况,并量化器械尖端施加的力,如图16所示。该装置由一个黑箱组成,黑箱内配有摄像头,用于监测滚动、俯仰和偏航的测量角度;在偏航范围的两个极端位置设有三个带有嵌入式力敏电阻(FSR)的弹性可抓握元件,用于扭矩和力测量,如图17所示。
为了测量偏转角度,视觉系统跟踪钳子每个手指的三轴。为了验证此测试,将测量值与执行器输出端编码器提供的值进行比较。两个读数之间的差异量化了包含钢丝‐套管‐偏转喷嘴组件的传动系统的退化程度,见图18。系列1表示编码器和实际位置随角度增加的关系,系列2表示随角度减小的关系,指示滞后的程度。系列3和系列4表示经过一段时间运行后的相同数据。滞后现象(表明退化程度)随着运行时间的增加而增大。
关于作为可互换部件所需达到合理水平的低成本要求,所采用的策略是在每次使用后重复使用该器械的有价值部件,例如其钳指和其他钢制部件。
该策略使我们能够验证设计的工作寿命,超过5小时。每个自由度的工作灵活性达到±90°,各执行器中由夹紧力产生的扭矩均高于200毫牛·米。从技术上证明,我们的设计满足腹腔镜器械的需求。
5 未来挑战
医疗机器人仍处于起步阶段,展望未来仍有许多挑战需要应对,许多技术和认知上的局限性有待克服。除了机器人腹腔镜外,我们的实验室还在研究其他机器人功能和医疗领域,例如触觉反馈和显微外科。以下部分将介绍正在进行的项目。
5.1 触觉挑战
当前机器人手术系统的主要局限之一是缺乏力反馈[8],这会增加术中损伤风险,并直接影响手术完成时间、精度以及降低透明度[9]。尽管已有多次尝试开发能够提供触觉反馈数据的力传感器,但结果仍存在尺寸、成本、长期稳定性以及生物相容性和灭菌方面的问题[10]。直接测量的复杂性促使人们寻求新的替代方案。我们的方法[11]基于施加的力在组织上引起的变形的视觉信息,即所谓的:基于视觉的力测量(VBFM)方法,图19。
我们的工作基于循环神经网络和长短期记忆模型(RNN‐LSTM),提出了一种用于微创手术的力估计方法,通过分析组织变形并将这些测量值与等效力相关联。三维变形结构的计算基于能量泛函最小化。
该信息与几何数据(即机器人信息)共同构成了RNN‐LSTM架构的输入。
结果如图20所示,表明该方法适用于任何组织模型。
5.2 显微外科蠕虫机器人
我们部门与专注于截肢肢体再血管化的知名医疗机构帕克塔乌利医疗中心密切合作。该中心的一项需求是开发用于显微外科的机器人化工站;这种外科技术要求在狭小的工作空间内以高精度进行操作。要达到所需的灵巧性需要经过严格的训练,然而工作空间的限制不应成为遥操作系统使用的障碍。
我们的解决方案是设计可在狭小工作空间内独立或协同作业的小型机器人及其相应的器械。该遥操作系统预期能发挥类似于可视化所用显微镜的作用:显微镜可放大观察区域,而远程操作中的尺度变换则能减小动作幅度,从而提高手动操作的灵巧性和精度。
为了克服这些限制,我们设计了Microsurgery worm,这是一种在末端执行器上具有6个自由度的小型机器人。该机器人结构可实现工具尖端的高精度运动。由于该手术技术的特点,器械施加的力较小,因此带编码器的小型电机适用于此类手术。该机器人的另一个特点是其末端执行器,被设计用于夹持目前传统手术中使用的标准工具。这些工具的成本明显低于那些关节式器械,甚至低于电动机器人器械。此外,这些工具可通过快速即插即用系统轻松更换。目的是缩短手术时间,无论是术前准备还是手术过程中的器械更换。
显微外科机器人的总体设计如图21所示。在工作状态下,其尺寸为高度30厘米,伸展臂延伸距离约为60厘米。
该Microsurgery worm已通过仿真验证。原型正在等待构建,以验证其在此类手术中的可行性和适用性。
腹腔镜器械设计的关键挑战
32

被折叠的 条评论
为什么被折叠?



