题意:给定一棵无根树,问至少需要添加多少条边,使得每个节点属于且仅属于一个圈,并且,每个圈的节点数至少为3(即不算环和重边)。若无解则输出-1,否则输出至少添加的边数。
思路:不会做,看的别人的解体报告。
思路当然是树形dp。每个点设置三个状态:
1、f[0, x]表示以x为根的子树,变成每个顶点恰好在一个圈中的图,需要添加的最少边数。
2、f[1, x]表示以x为根的子树,除了根x以外,其余节点变成每个节点恰好在一个圈中的图,需要添加的最少边数。
3、f[2, x]表示以x为根的子树,除了根x以及其所在的一条链(*链长度要大于1)以外,其余节点变成每个节点恰好在一个圈中的图,需要添加的最少边数。
于是状态转移方程(解释见下面四张图便清楚了,假设当前结点x共有k个儿子节点):
i,j,v∈thesetofx′sson,i≠j
f[0, x] = min{
sum{f[0, v]} – max{f[0, i] – f[2, i]} ,
sum{f[0, v]} – max{f[0, i] – min{f[1, i], f[2, i]} – max{f[0, j] – min{f[1, j], f[2, j]}}
}
f[1, x] = sum{f[0, v]}
f[2, x] = sum{f[0, v]} – max{f[0, i] – min{f[2, i], f[1, i]}}
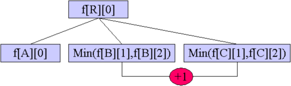
A.根R的所有子树自己解决(取状态0),转移到R的状态1。即R所有的儿子都变成每个顶点恰好在一个环中的图,R自己不变。

B.根R的k-1个棵树自己解决,剩下一棵子树取状态1和状态2的最小值,转移到R的状态2。剩下的那棵子树和根R就构成了长度至少为2的一条链。

C.根R的k-2棵子树自己解决,剩下两棵子树取状态1和状态2的最小值,在这两棵子树之间连一条边,转移到R的状态0。

D.根R的k-1棵子树自己解决,剩下一棵子树取状态2(子树里还剩下长度至少为2的一条链),在这棵子树和根之间连一条边,构成一个环,转移到R的状态0。

#include <cstdio>
#include <cstring>
#include <cstdlib>
#include <cmath>
#include <algorithm>
#include <queue>
using namespace std;
#define INF 1001
#define clr(s,t) memset(s,t,sizeof(s))
#define N 105
int n;
int dp[N][3],first[N],top;
struct edge{
int y,next;
}e[N<<1];
void add(int x,int y){
e[top].y = y;
e[top].next = first[x];
first[x] = top++;
}
void dfs(int x,int fa){
int i,y,a,sum,num,tmp;
num = sum = 0;
tmp = -INF;
for(i = first[x];i!=-1;i=e[i].next){
y = e[i].y;
if(y != fa){
dfs(y, x);
sum += dp[y][0];
num ++;//num是儿子的数量
if(tmp < dp[y][0] - min(dp[y][1],dp[y][2])){//求出最小值存入tmp,存储边的索引,即变量a是为了后面求次小值
tmp = dp[y][0] - min(dp[y][1],dp[y][2]);
a = i;
}
}
}
dp[x][1] = sum;//对应图A
if(!num)
return;
dp[x][2] = sum - tmp;//对应图B
for(i = first[x];i!=-1;i=e[i].next){
y = e[i].y;
if(y!=fa){
dp[x][0] = min(dp[x][0] , sum-dp[y][0]+dp[y][2]+1);//对应图D
if(i!=a)
dp[x][0] = min(dp[x][0] , sum-tmp-dp[y][0]+min(dp[y][1],dp[y][2])+1);//对应图C
}
}
}
int main(){
int i,a,b;
scanf("%d",&n);
clr(first, -1);
top = 0;
for(i = 1;i<n;i++){
scanf("%d %d",&a,&b);
add(a,b);
add(b,a);
}
for(i = 1;i<=n;i++)
dp[i][0] = dp[i][1] = dp[i][2] = INF;
dfs(1,0);
if(dp[1][0] >= INF)
printf("-1\n");
else
printf("%d\n",dp[1][0]);
return 0;
}
该博客介绍了如何使用树形动态规划解决poj 1848题目,即在无根树上添加最少边使得每个节点恰好位于一个长度至少为3的圈中。博客提供了解题思路,包括三种状态的定义和状态转移方程,并通过四种情况解释了状态之间的转换。
1167

被折叠的 条评论
为什么被折叠?



