基于车辆模型反演的最优轨迹规划与鲁棒跟踪
摘要
本文研究通过设计横向和纵向鲁棒反馈控制以及适当的前馈控制,实现对自动驾驶非线性车辆模型参考最优轨迹的跟踪问题。在先前的研究中,采用基于人类驾驶员视野范围的策略来规划最优轨迹参考。该优化过程使用遗传算法(GA)完成,并将所得轨迹注入势场(PF),以便利用质点模型对突发事件做出响应。本文将此前开发的GA-PF规划过程集成到一种新的完整全局规划与跟踪方法中,并应用于验证用非线性车辆模型。该控制跟踪方法包含两种策略:采用自行车模型作为模型反演用于前馈设计,同时设计鲁棒控制作为反馈控制,以考虑车辆(质量与速度)和道路(坡度与附着系数)的参数变化。设计了横向非线性控制和纵向鲁棒控制。在超车场景和环岛场景中提供了真实的自动驾驶汽车仿真结果。
索引词
自动驾驶车辆,轨迹规划,轨迹跟踪,优化,自行车模型,模型反演,鲁棒控制。
一、引言
近年来,自主地面车辆已成为一个主要关注点,大多数汽车制造商都深度参与其中。自动驾驶汽车的出现涉及多个领域:需要进行法律修改,解决连通性问题(如黑客攻击),以及考虑社会问题(例如将生命交给机器的恐惧)。自主导航系统通常分为三个类别:感知与定位、规划和控制。本文仅考虑运动规划与控制方面。
关于轨迹规划方法的优秀综述可在[10],[19],[27]中找到,其中仅应用于自动驾驶车辆。对于车辆而言,轨迹规划是指在两个或多个位置之间找到一条定时路径。相反,轨迹跟踪是指跟踪先前已计算好的轨迹。该车辆被称为自车(EGV),以区别于环境中其他车辆。
在先前的研究中([23]–[25]),已开发并测试了将遗传算法(GA)与势场(PF)规划方法相结合的方法,并考虑了简单的质点模型。[23]受[21]启发,基于长度准则进行模型优化。对于多准则优化,遗传算法(GA)通过最小化多个准则(危险、长度、时间、燃油消耗和不适)来提供最优轨迹,而势场(PF)则提供了对意外事件的反应性。该轨迹使用简单的质点模型生成,且仅在笛卡尔坐标下有效。许多近期的研究采用更复杂的车辆模型,结合逆方法(如微分平坦性[2],[7])用于轨迹跟踪([3],[4],[20]),并且可以在自动驾驶车辆的轨迹规划中引入更真实的模型([6]用于高速超车,[15],[28]用于实时轨迹重规划,[1]用于高速规划)。
本文的贡献在于针对更复杂的车辆模型提出了控制系统设计结构。控制回路需要参考轨迹的笛卡尔坐标,但控制回路实际操作的是控制变量,即转向角和加速度。由于GA-PF在笛卡尔坐标系下提供了最优输入参考轨迹(见[25]),因此利用微分平坦性实现自行车模型逆系统,作为运动规划的前馈参考控制;最后,分别设计了横向非线性控制和纵向鲁棒控制,用于横向和纵向结构的轨迹跟踪控制(见图5)。
在第二节中,定义了面向车辆的规划问题、最优轨迹以及新的车辆控制结构,并描述了仿真中所使用的车辆模型。接着,在第三节中,阐述了控制结构的设计,给出了前馈和反馈控制的细节,并设计了相应的控制器,同时开发了处理模型参数不确定性的鲁棒控制器。为了验证这些研究成果,在第四节中提出了道路场景下的仿真示例。最后,在第五节中得出了结论。
II. 轨迹规划与跟踪问题
A. 方法结构
图1展示了自动驾驶汽车的完整控制跟踪方法。方框1到4为GA-PF方法,用于提供一条最优且具有响应性的轨迹(见[25]),作为车辆的参考轨迹。但这些方框使用的是点质量模型用于生成轨迹,并提供绝对的笛卡尔坐标位置参考。车辆需要控制变量以及符合其非完整约束的轨迹。本文将简要介绍参考轨迹及其特性。框图5中的控制变量生成过程将被详细阐述。本文的贡献在于轨迹跟踪方法,i.e.控制变量生成,以及通过参考轨迹的可行性对整个方法进行验证(见图1中的框图5)。
B. 最优轨迹定义
GA-PF方法用于生成10m到1km距离内的轨迹,此类距离通常由驾驶员处理。全球定位系统(GPS)根据具体情况提供起点和终点。遗传算法实现了对整个考虑距离内环境的轨迹全局优化。最优路径点由遗传算法布置,并通过样条曲线连接,确保位置和速度的连续性。势场法为该方法提供了反应性,能够根据突发情况调整参考轨迹。在参考轨迹生成中,采用质点模型。对于该模型,x和y坐标相互独立,遗传算法和势场法分别提供x和y方向的输入参考位置及其所有导数:(x(t), ˙x(t), ¨x(t))和(y(t), ˙y(t), ¨y(t))。有关该GA-PF方法的更多细节可参见[25]。
1) 势场
势场法(PF方法)已在CRONE团队中得到深入研究([13],[22],[24]),其灵感来源于[8]。该概念是用势场填充机器人工作空间:机器人被吸引向其目标位置,同时被障碍物排斥[12]。这两者是同一现象的不同体现:所考虑的系统沿梯度的坡度移动。第k个障碍物的排斥势场U rep k通过基于Weyl分数阶微分定义[29]的势场[22]计算得出。其表达式定义为障碍物与EGV之间距离r= →−p obst k − →−p 的函数:
- if r ∈[rmin, rmax], U re p k(r)= r n k − 2 −r n k − 2 max / r n k − 2 min −r n k − 2 max ;
-
if r/ ∈[rmin , rmax], U re p k(r)= 0, 其中 rmin 和 rmax 是两个选定的值,r min 通常为障碍物半径,而 rmax 为最大障碍范围影响半径。nk ∈[0.1, 2[∪]2,+∞[表示障碍物k的阶数,该阶数取决于障碍物的<速度>、性质和脆弱性: nk= f(Vulnk,vk, vk) 其中,Vulnk称为障碍物的脆弱性, vk为其速度变化势场,vk为其速度。图2(b)展示了对应于一阶圆形障碍物的排斥势场示例。排斥力通过势场的负梯度[8]计算得出:
-
if r ∈[rmin, rmax]: →−F rep k(r)= −F 0 k →−∇ U rep k= −F 0 k( ∂U ∂r →−e r+ ∂U r∂ϕ →−e φ) = −F 0 k ∂U ∂r →−e r= − F0 k(nk −2)r n k −3 / r n k −2 min − r n k −2 max (1)
- 如果 r∈/[rmin,rmax]: →−F rep k(r)= 0, (2) 其中F 0 k 为缩放因子,r和 φ分别为以障碍物为中心的坐标系中的柱面坐标, →−e r和 →−e φ是相应的单位向量。吸引力势能U att被定义为相对于电动地面车辆的目标相对位置和速度的函数。相应地,虚拟力定义为负梯度
2) 遗传算法
遗传算法基于自然选择原理来解决优化问题。个体种群被迭代地修改,以成为潜在的解决方案。在每次迭代中,算法从种群中选择最优的个体作为“父代”以产生下一代。对于复杂的优化空间,经典确定性算法容易陷入局部极小值或变得计算过于复杂。例如,当代价函数不连续、不可微或包含整数变量时,确定性方法可能会完全低效。如第II-B.1节所述,电动地面车辆在吸引力的作用下,根据牛顿第二定律向目标移动。电动地面车辆只能在势场内运动,这意味着为了生成一条接近最优的轨迹,势场必须是最优的。当存在移动障碍物时,势场本身无法保持最优。因此,需要确定一个最优移动目标参考,即一个持续引导电动地面车辆到达其应有位置的最优吸引点。
遗传算法测试中间点(一组中间点构成一个个体,见表I),并在这些点之间生成由(xint , y int)表示的样条轨迹。最终结果是一条最优
| 表I | 轨迹点搜索的染色体结构。nopt为中间点数量。xn、yn、tn分别为第n个中间点 XY坐标和通过时间 |
|---|---|
由变量(xego,yego)表示的轨迹。遗传算法优于其他任何规划方法,因为其结构能够同时优化中间最优点的位置和通过时间。简而言之,遗传算法带来了最优性和预见性,其输出轨迹被输入到势场法中以实现反应性和灵活性。两者的组合高效且前景广阔。有关GA-PF方法的更多细节,请参见[25]。
在下一段中,提出了用于验证该方法的车辆模型。
C. 验证模型
本节介绍了完整的车辆验证模型,该模型对应于图1 中的框6。该模型用于模拟车辆水平方向(横向和纵向) 动力学。该模型由汽车电子与系统开放实验室(IMS实验室与标致雪铁龙集团合作)开发,并参考了[9],结合 [16]中所述的实车研究完成,其中验证车辆模型具有14 个自由度且具有高度非线性。这是一个完整的非线性模型, 考虑了多个与轨迹验证相关的现象。
下标lat和 long分别表示横向和纵向。下标(i,j) ∈{1, 2}用于区分四个车轮,i表示车辆的前部(i= 1) 或后部(i= 2),j表示左侧(j= 1)或右侧(j= 2)。
1) 轨迹
轨迹在笛卡尔坐标系中由纵向和横向值定义。
pmes= xmes ymes R0 = t 0 vmes x (τ)dτ+ x0 0 vmes y(τ)dτ+ y0 (10) 是笛卡尔坐标系 R0 中的测量位置
v mes= v mes x v mes y R0 mes long cos(ψ) − v mes lat sin(ψ) v mes long sin(ψ)+ v mes lat cos(ψ) R0 = v mes long v mes lat R ll (11) 是测量速度,其中 Rll是车辆坐标系。
2) 轮胎模型
对于轮胎模型而言,控制变量是侧向滑移角 δ 和 纵向滑移率 τ,以及施加在每个车轮上的垂直力 Fz。轮胎容量生成作用力Flong和Flat取决于这些变量。在本研究中,轮胎压力被视为恒定。
让我们定义轮胎与地面接触点的速度为
vtyre= vtyre long vtyre lat (12)
以及侧向滑移角 δ为:
δ(t)= arctan vtyre lat(t) / vtyre long(t) , (13)
接近于
δ(t) ≈ vtyre lat(t) / vtyre long(t) , (14)
由于所考虑速度下的侧向滑移角较小,该假设在非操纵驾驶速度下始终成立。因此,排除了具有高侧向滑移角的操纵动作。在所有仿真中,初始和最终速度均设置为10米/秒,以避免低速模型问题。
纵向滑移率定义了车轮转速 ωr与有效纵向速度vmes long 之间的差值。其表达式取决于加速度符号:
- 在加速阶段:
τ(t)= 1 − r0ωr(t) / vmes long(t) ∈[0, 1]; (15)
- 在减速阶段:
τ(t)= 1 − vmes long(t) / r0ωr(t) ∈[0, 1], (16)
其中r0是车轮半径。
帕克萨模型(见[18])能够计算轮胎在路面上产生的纵向力Flong和横向力Flat,以及自动回正力矩Mz。Fz的计算由表达式(27)给出。
由于运动学原因,车辆转弯时各个车轮的速度均不相同,由此产生的力也不同。此外,只有前轮是驱动的。最后,沿着轨迹变化的纵向和侧向加速度导致每个车轮上的载荷转移不同,这也改变了各车轮的受力情况。基于以上所有原因,在验证模型中对四个车轮进行了单独仿真。
3) 纵向动力学
车辆的纵向动力学表示前后方向的运动。以下展示一个车轮的纵向动力学,由于所有车轮的纵向运动都是独立的,每个车轮具有各自的纵向速度,例如
v mes long (t)= 1 / Mij t 0 F long(τ)+ v mes lat(τ)ψ ˙(τ) dτ + v mes long (0), (17) 其中v mes long (0)表示初始纵向速度值,Mij, (i,j) ∈{1, 2}为所考虑的˙车轮所支撑的质量,包括车轮质量本身,以及 ψ 偏航速度。F lon g为作用在车轮上的总力
F lon g(t)= Flon g(t) − f 0 lon g (t) − Fa(v mes lon g ) −Frr(v mes lon g ) − Mi j g sin(α), (18)
其中,Flong为牵引力,f 0 long为纵向风力,Frr为与速度相关的滚动阻力,Fa为也与速度相关的空气动力阻力,g为 重力加速度, α为道路坡度角。
牛顿第二定律应用于车轮旋转,给出了角速度的表达式
ωr(t)= 1 / Jij t 0 (τ)dτ+ωr(0) (19)
其中Jij表示车轮的转动惯量, ωr(0)表示初始车轮转速值, 扭矩为
(t)= r(t) − r0Flong(t) − f(t) (20)
其中 r为牵引扭矩, f为依赖于 ωr的粘性摩擦扭矩。
4) 横向动力学
横向动力学通常在“稳定转弯”情况下进行分析,即恒定纵向速度转弯。在此段中,四个车轮无法单独研究,因此采用四轮模型(见图3):
- Fij long是车轮通过帕克萨模型施加在路面的纵向力(见[18]);
- Fij lat是车轮施加在路面的横向力(见 [18]);
- Lav、Lar、lav、lar分别为前部和后部半长度,以及前部和后部半宽度;
- Ri是瞬时旋转中心;
- β是前轮转向角;
- δG称为横向漂移角。
根据该模型,横向速度的表达式为
v mes lat(t)= 1 / M t 0 F v(τ)dτ − t 0 v mes long (τ)ψ ˙(τ)dτ +v mes lat(0), (21)
其中vmes lat(0)表示初始侧向速度值,以及所产生的力
F v(t)= i,j F i j lat( t). (22)
5) 横摆动力学
当横向动力学表示车辆的横向平移时,横摆动力学则是围绕横摆(即垂直)轴的旋转运动,由横摆角 ψ表征,例如:
ψ˙(t)= 1 / Iz t 0 z(τ)dτ+ ψ˙(0), (23)
˙与 ψ(0)表示横摆角的初始导数值,作用在横摆轴上的总力矩定义为:
z= Lav sin(β) F11 long+ F12 long + cos(β) F11 lat+ F12 + lav cos(β) F12 long−F11 long +sin(β) F11 lat−F12 −Lar F21 lat+ F22 + lar F21 long − F22 long . (24)
对于大多数汽车, β被限制在0.50 rad(或30◦)以内,因此可以进行如下近似: cos(β(t)) ≈ 1 sin(β(t)) ≈ β(t) (25)
这给出了
z(t) ≈ Lav β F11 long+ F12 long + F11 lat+ F12 + lav F12 long − F11 long + β F11 lat − F12 −Lar F21 lat+ F22 + lar F21 long − F22 long .(26)
6) 载荷转移
作用力 Flong 和 Flat 不仅取决于纵向滑移率 τ 和侧向滑移角 δ,还取决于施加在其上的垂向力 Fz,该力在 II-C.2 段中定义,其表达式为 :
Fz(t)= gMij+ Fij 0(t) (27)
其中Fij 0表示由于纵向和横向加速度引起的载荷转移,例如⎧⎪⎪⎪⎪⎪⎨⎪⎪⎪⎪⎪⎩: F11 0(t) ≈ hGM 2(Lav+ Lar) − Lar lav ames lat(t) − ames long(t) F12 0(t) ≈ hGM 2(Lav+ Lar) Lar lav ames lat(t) − ames long(t) F21 0(t) ≈ hGM 2(Lav+ Lar) − Lav lar ames lat(t)+ ames long(t) F22 0(t) ≈ hGM 2(Lav+ Lar) Lav lar ames lat(t)+ ames long(t) ,
其中ames long 和ames lat 分别是车辆的纵向加速度和横向加速度, hG是重心G的高度。
本节所述模型适用于轨迹验证,因为它能够一致地表示车辆的水平动力学。然而,该模型具有高度非线性,且过于复杂,无法直接用于控制变量生成的逆向求解。
因此,以下第II-D节将描述一个运动学自行车模型, 以用于控制变量生成。
D. 自行车模型
为了找到适用于控制变量生成的模型,必须考虑两个对立元素:
- 模型必须足够简单以便进行逆运算;
- 该模型必须足够精确,以生成接近参考轨迹的轨迹, 从而使调节能够补偿模型近似带来的误差。
由于验证车辆模型具有高度非线性且过于复杂而无法直接进行逆运算,因此基于以下两个思路选择运动学自行车模型进行控制变量生成:第一个控制变量是转向角 β,其与车辆几何结构直接相关,这意味着使用运动学模型已足以理解该变量;第二个控制变量是扭矩 ,其在运动学模型中并未出现。在“无滑移”假设下,扭矩 与纵向加速度ames long 直接相关,关系为:
= r0M 2 ames long (28)
并且
ames long = v˙ mes . (29)
在接下来的章节中,仅将加速度用作控制变量,并将 公式(28)视为包含在车辆模型中。
在此模型中,状态向量为
θ= ⎛⎜⎜⎝ xmes ymes v mes ψ ⎞⎟⎟⎠ (30)
以及控制向量是
u= β a mes lon g . (31)
得到的状态空间模型表示为: ⎧⎪⎪⎪⎪⎪⎨⎪⎪⎪⎪⎪⎩ x˙mes= vmes cos(δG+ψ) y˙mes= vmes sin(δG+ψ) v˙mes= ames long ψ˙= vmes Lar sin(δG) δG= arctan tan(β) Lar Lar+ Lav . (32)
在下一节中,将描述完整的轨迹跟踪方法。
III. 轨迹跟踪方法开发
A. 控制环与性能
车辆应跟踪最优轨迹,以满足以下期望性能:
- 在速度方面,期望的调节时间为tr5% =0.8s ⇒ ωcg = 3.75 rad/s,其中ωcg为开环增益交越频率;
- 在精度方面,位置误差必须足够小以避免各种危险: 纵向和横向的限值均为3cm,从而使总误差小于0.05m;
- 在稳定性方面,不允许出现超调:相位裕度的选择应 确保阶跃参考下的超调小于10%,从而在最优参考轨迹 下产生可忽略的超调。
- 控制变量也有限值,使得 β< 30◦和 ≤ 150 N.m,导致a ≤ 1.33 m.s −2;然而,对 的限值高度依赖于车辆, 因此不会被严格实施;
- 根据[5]关于振动对舒适性的影响,小于0.5 m/s2的 加速度在车内无法感知;这些振荡对应的扭矩大小为 50 N.m;因此, 上的噪声幅值必须低于此值。
在图5中,展示了本文所使用的控制回路,其中横向控制回路以红色表示(见第III-C.1节),纵向控制回路以绿色表示(见第III-C.2节),C1(s)用于速度调节,C2(s)用于位置调节。蓝色部分为前馈元件,用于支持调节并避免控制变量的饱和。
B. 前馈设计
模型反演(见图5中的框7)是通过第II-D段中提出的运动学自行车模型的反演实现的。本段的工作受到了微分平坦性原理(见[7])的启发。
考虑到平坦输出向量
Z(t)= ⎛⎝ xlong(t) ylat(t) ψ(t) ⎞⎠ (33)
其中xlong和ylat是车辆在中心坐标系(0,0)R0中的车辆坐标,与 R0形成夹角ψ。v mes、 β f f和a mes lon g 是Z及其导数的函数
x˙long= v mes cos(δG) y˙lat= v mes sin(δG) (34)
意味着
δ G= arctan y˙lat / x˙lon g . (35)
基于车辆模型反演的最优轨迹规划与鲁棒跟踪
III. 轨迹跟踪方法开发(续)
B. 前馈设计(续)
此外,vmes可以由xlong和ylong表示:
$$ v_{\text{mes}} = \sqrt{\dot{x} {\text{long}}^2 + \dot{y} {\text{lat}}^2}. $$ (36)
控制变量$\beta_{ff}$和$a_{\text{mes long}, ff}$也需要表示为$x_{\text{long}}$和$y_{\text{lat}}$的函数。
由方程(32)可得滑移角
$$ \delta_G = \arctan\left( \frac{\tan(\beta_{ff})}{\frac{L_{ar}}{L_{ar} + L_{av}}} \right), $$ (37)
这导致
$$ \beta_{ff} = \arctan\left( \frac{L_{ar} + L_{av}}{L_{ar}} \cdot \frac{\dot{y} {\text{lat}}}{\dot{x} {\text{long}}} \right). $$ (38)
如第II-D段所述,纵向加速度与速度直接相关
$$ a_{\text{mes long}, ff} = \dot{v}_{\text{mes}}. $$ (39)
因此,该系统已被证明是具有侧向力特性的,并且是可控的。此外,通过引入外部力的信息来改进方程(39),即:,可以进一步提升控制生成性能。
$$ a_{\text{mes long}, ff} = \dot{v} {\text{mes}} + \frac{1}{M} \left(F_a(v {\text{mes}}) - F_{rr}(v_{\text{mes}})\right). $$ (40)
C. 反馈设计
1) 横向控制回路
横向控制回路更为复杂,因为需要从两个位置变量$x_{\text{mes}}$和$y_{\text{mes}}$确定一个单一的反馈控制变量$\beta_{fb}$。对于横向控制,需考虑车辆到轨迹的横向距离,并应将其减小至零。
控制变量$\beta_{fb}$用于调整横摆角$\psi$,以使车辆加入轨迹。
$\beta_{fb}$直接通过:与偏航速度 $\dot{\psi}$关联
$$ \beta_{fb} = \arctan\left( \frac{L_{ar}}{v_{\text{mes}}} \cdot \tan\left( \arcsin\left( \frac{\dot{\psi} L_{ar}}{v_{\text{mes}}} \right) \right) \right). $$ (41)
然后,$\psi_{fb}$通过系统(32)的第四和第五个方程导出$\beta_{fb}$。
$(x_{\text{ego}}(t), y_{\text{ego}}(t))$是电动地面车辆在时间$t$时应到达的轨迹点。轨迹切线坐标系的建立使得切向量$\mathbf{u} t$为:
$$ \mathbf{u}_t(t) = \frac{1}{D} \begin{bmatrix} x {\text{ego}}(t) - x_{\text{ego}}(t - 1) \ y_{\text{ego}}(t) - y_{\text{ego}}(t - 1) \end{bmatrix} $$ (42)
其中
$$ D = \sqrt{(x_{\text{ego}}(t) - x_{\text{ego}}(t - 1))^2 + (y_{\text{ego}}(t) - y_{\text{ego}}(t - 1))^2}. $$
切向坐标系$\mathcal{R} t = (\mathbf{u}_t, \mathbf{v}_t)$,其中$\mathbf{v}_t$是与$\mathbf{u}_t$正交的向量,相对于绝对笛卡尔坐标系平移了$(x {\text{ego}}(t - 1), y_{\text{ego}}(t - 1))$,并旋转了一个角度$\alpha_t$,使得:
$$ \alpha_t = \arctan\left( \frac{y_{\text{ego}}(t) - y_{\text{ego}}(t - 1)}{x_{\text{ego}}(t) - x_{\text{ego}}(t - 1)} \right). $$ (43)
车辆坐标$(y_{\text{mes}}) {\mathcal{R}_t}$在$\mathcal{R}_t$中是到轨迹的横向距离,可计算为:
$$ d {\text{traj}} = \left| (y_{\text{mes}}) {\mathcal{R}_t} \right| = \left| -(x {\text{mes}}(t) - x_{\text{ego}}(t - 1)) \sin(\alpha_t) + (y_{\text{mes}}(t) - y_{\text{ego}}(t - 1)) \cos(\alpha_t) \right|. $$ (44)
从图6可知,该变化量 $\dot{\psi}$可定义为:
$$ \text{sign}(\dot{\psi} {fb}) = -\text{sign}((y {\text{mes}})_{\mathcal{R}_t}). $$ (45)
偏航速度$\dot{\psi} {fb}$取决于$d {\text{traj}}$,并且与$(y_{\text{ego}}) {\mathcal{R}_t}$的符号相反,例如:
$$ \dot{\psi} {fb} = -\text{sign}((y_{\text{ego}}) {\mathcal{R}_t}) \arctan\left( \frac{d {\text{traj}}}{d_0} \right) $$ (46)
其中$d_0$为选定的中间距离。通过公式(41),可计算出$\beta_{fb}$。
如果$d_{\text{traj}}$较大,则$\dot{\psi} {ff}$与$\dot{\psi}$(即$\dot{\psi} {fb}$)之间的差异也较大,从而使其返回参考轨迹。如果该距离较小,则$\dot{\psi}$必须非常接近$\dot{\psi}_{ff}$,意味着$\dot{\psi}$的变化几乎如同电动地面车辆处于轨迹上一样。
2) 纵向控制回路
电动地面车辆不仅要保持在轨迹上,还需要在正确的时间到达正确的曲线坐标位置,以精确跟踪最优轨迹。纵向控制回路由两个嵌套的回路组成:速度控制回路和位置控制回路。
a) 纵向速度控制回路
在定义控制器C1之前,首先对所选车辆模型中变化的参数进行研究。以下列出了四个变化的参数:
- 工作点对应于给定的电动地面车辆速度
$$ v_{\text{ego}}(0) \in [4\,\text{m/s}, 33\,\text{m/s}] \quad [15\,\text{km/h}, 120\,\text{km/h}] $$ (47)
其标称值为$v_{\text{ego}}(0) = 14\,\text{m/s}$(50 km/h);
- 车辆质量变化,例如
$$ M \in [600\,\text{kg}, 900\,\text{kg}]; $$ (48)
标称值为$M_{\text{nom}} = 750\,\text{kg}$;
- 道路附着系数
$$ \mu \in [0.2, 1] $$ (49)
标称值为0.9(干燥路面为1);
- 道路坡度
$$ \alpha \in [-15^\circ, 15^\circ] $$ (50)
标称值为0,表示道路是水平的。
参数变化意味着过程增益和相位频率响应的变化,在图7中针对代表极端变化的不同参数集进行了表示。
鉴于这些不确定性的特点,设计了一种鲁棒的第三代CRONE控制器,使得开环传递函数满足以下模板:
$$ \beta(s) = K \omega^{-N^-} \frac{s + 1/n_l}{1 + s/\omega^{N^+ + 1}/n_h} \prod_{k=-N^-}^{N^+} \left( \frac{1 + s/\omega_k}{1 + s/\omega_{k+1}} \right)^{a_k} \times \Re\left( \left(C_k \frac{1 + s/\omega_k}{1 + s/\omega_{k+1}} \right)^{ib_k} \right)^{-q_k \text{sign}(b_k)} $$ (51)
其中$K$为静态增益,$n_l$为低频阶次,$n_h$为高频阶次,$\omega_k$对于$k \in [-N^-, N^+ + 1]$为不同的开环模板频率。$a_k + jb_k = n_k$为CRONE控制器的分数复数阶。传递函数的设计通过使用CRONE工具箱完成,并考虑了由参数变化引起的不确定性域,这些不确定性域在图8中以绿色表示。
| 表二 | 分数阶控制器有理逼近的零点和极点频率 |
|---|---|
车辆应跟踪最优轨迹,以满足§III-A段中所述的以下期望性能:
- 速度开环增益交越频率应比位置开环增益交越频率快10倍,即$10\omega_{cg1} > \omega_{cg} = 3.75\,\text{rad/s}$;
- 在精度方面,位置误差必须足够小以避免各种危险:纵向和横向的限值均为3cm,从而使总误差小于0.05m;
- 在稳定性方面,不允许出现超调:相位裕度的选择应确保在阶跃参考下超调小于10%,从而在最优参考轨迹下产生可忽略的超调。
- 控制变量也有限值,使得$\beta < 30^\circ$和$\tau \leq 150\,\text{N·m}$,导致$a \leq 1.33\,\text{m·s}^{-2}$;然而,对$\tau$的限值在很大程度上取决于车辆,因此不会被严格实施。
从实际应用的角度来看,需要使用有理控制器来近似优化后的分数阶控制器,这给出了图8中表示的第二个频率响应(—),其表达式为
$$ C_R(s) = C_0 \frac{1}{s} \prod_{i=1}^{N} \left( \frac{1 + s/\omega’_i}{1 + s/\omega_i} \right) $$ (52)
其中$\omega’_i$和$\omega_i$分别为N个极点和零点(此处为3个),以及一个积分阶次,$C_0$为相应的静态增益(此处为25.3 dB)。表二总结了有理控制器所使用的频率。
b) 纵向位置控制环
现在必须综合设计曲线位置控制器$C_2$。
| 表III | PI控制器的系数 |
|---|---|
需要考虑的过程是(见图5):
$$ G_2(s) = \frac{1}{s} \cdot \frac{C_R(s) G_1(s)}{1 + C_R(s) G_1(s)} $$ (53)
其中,$G_1$被视为标称过程,$G_2$的频率响应如图9所示。
为了使内环足够快,外环的增益交越频率选择为$\omega_{cg2} \leq \omega_{cg1}/10 = \omega_{cg} = 3.75\,\text{rad/s}$。
分析图9可以得出,对于$\omega_{cg2}$,无需相位超前,通过添加积分效应即可保证精度,从而得到以下PI控制器:
$$ C_2(s) = C_{02} \frac{1 + t_{i2}s}{t_{i2}s} $$ (54)
其系数见表III。
IV. 仿真示例与结果
仿真采用第III-B节所述的前馈控制以及第III-C节定义的控制器进行。开环仿真在第IV-A节中给出,随后将单独测试速度环以验证CRONE控制器的鲁棒性,最后在第IV-C节中对整个控制结构在道路场景下进行测试。
A. 开环仿真
在本段中,验证了自行车模型逆系统作为控制变量生成方法的一致性。
两个控制变量是转向角$\beta$和加速度$a$(见图5),输出为$(x_{\text{mes}}, y_{\text{mes}})$,并与参考值(即最优轨迹)即$(x_{\text{tar}}, y_{\text{tar}})$进行比较,如图10所示。
由遗传算法(GA)生成的最优轨迹$(x_{\text{tar}}, y_{\text{tar}})$被用作参考,因为该轨迹是平滑的:相较于由势场法(PF)生成的受扰动模式轨迹$(x_{\text{ego}}, y_{\text{ego}})$,更容易与输出轨迹进行比较。输出轨迹如图11(a)所示,输出轨迹与参考轨迹之间的相应误差绘制在图11(b)中,控制变量绘制在图11(c)中。
输出轨迹接近参考轨迹($\max{|\Delta x|, |\Delta y|} < 70\,\text{cm}$),验证了自行车模型逆用于控制变量生成的有效性。模型近似带来的误差足够小,可通过闭环进行校正,下一段将对此进行测试。
开环输出轨迹 (–),与最优轨迹 (–) 的对比 (b) x和 y轨迹误差 (c) 控制变量变化)
B. 速度调节
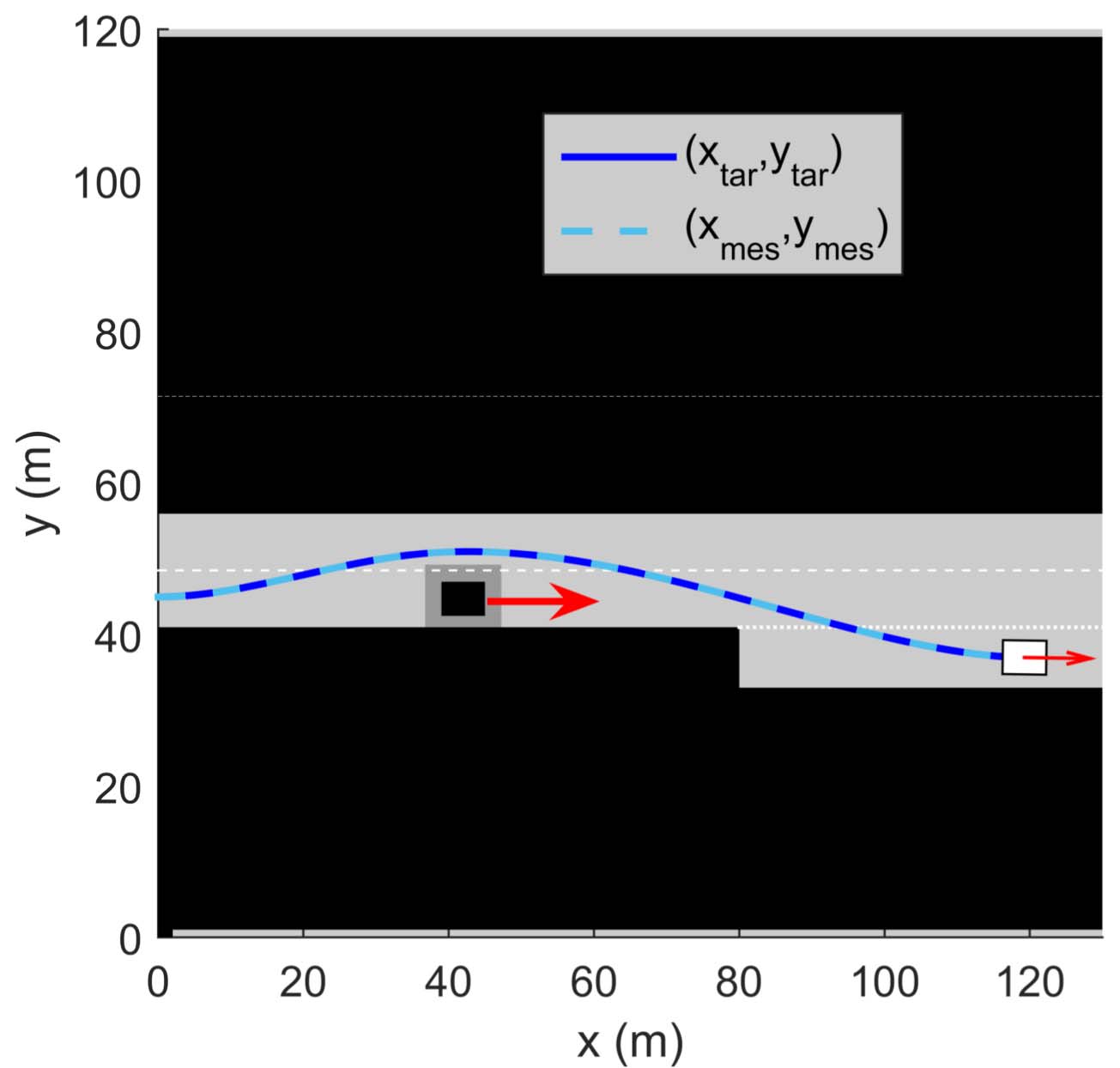
1) 超车场景
基于道路场景通过遗传算法设计的最优速度曲线,现被用作速度控制回路的参考。该仿真的目的是观察控制稳定性以及轨迹可行性。
在图12(a)中,针对第III-C.2段定义的四组参数,展示了速度参考和输出速度。四组参数下的速度参考均被准确跟踪。在图12(b)中,展示了这四组参数下施加到车轮上的相应扭矩。所得扭矩水平介于$-150\,\text{N·m}$和$150\,\text{N·m}$之间,这是可接受的,因为它接近第III-A段中提到的$120\,\text{N·m}$量级。
尽管在此场景中速度值变化不大(约5 km/h的差异),下一节将测试另一个具有更大速度变化的场景。
四组参数下的速度闭环响应 (b) 对应于超车场景的最优参考轨迹的相应转矩变化)
2) 环岛场景
在此场景中,考虑了一个比超车场景具有更多速度变化的环岛场景。遗传算法得到的最优速度曲线被用作速度控制回路的参考。
在图13(a)中,标称参数集下的最优参考轨迹(—)及其对应的输出速度(—)被展示出来。参考轨迹被很好地跟踪,最大误差在图中标出,其值为0.05 m/s (0.18 km/h)。该值接近传感器的灵敏度,因此可以接受。在图13(b)中给出了相应的扭矩值,范围在$-200\,\text{N·m}$和$300\,\text{N·m}$之间。这些值略高,在后续研究中应略微降低回路的速度,以减轻对控制的需求。在稳定性方面,未观察到超调,达到了预期性能。
对应于环岛场景的最优参考轨迹的速度闭环响应;(b) 相应的转矩变化)
此外,回路的速度 tends to increase control variable sensitivity to noise, which will be tested in the next section.
3) 噪声影响
在实际系统中,调节受到传感器噪声的限制,传感器噪声直接影响控制变量。
假设传感器精度约为0.1 km/h。因此,将具有该幅值的零均值高斯白噪声添加到测量输出速度中。在图14(a)中显示了参考速度和含噪输出速度,图14(b)为局部放大图。
超车场景下对含噪输出的最优速度参考的闭环响应 (b) 左侧曲线的局部放大)
在图15中,可以观察到加速度(CRONE控制器的输出)。
0.04 m/s的输出噪声在控制变量上产生了0.44 m/s²的噪声,这对应于每个车轮扭矩上的噪声为50 N·m。由于该噪声低于第III-A段中设定的0.5 m/s²限值,因此是可接受的。
在速度环测试完成后,通过添加纵向位置控制回路和横向控制回路,对整个调节结构进行仿真。
C. 轨迹跟踪
1) 最优轨迹跟踪
在图5中,不仅纵向速度和位置被控制,而且横向位置也被控制。在本节中,使用最优轨迹作为参考进行仿真,这意味着图1中的框2、3和4未被使用。
在图16中,针对标称参数集得到的轨迹能够正确地跟随参考轨迹,如图17(a)所示,位置误差小于1厘米。在图17(b)中给出了速度参考和测量速度,两者几乎完全相同。在图17(c)中给出了相应的前馈$\tau$ (–),反馈$\tau$ (–)和总$\tau$ (–)控制变量。
x和 y误差,对应于图16 (b) 速度参考与测量速度 (c) 对应的 前馈τ(–), 反馈τ(–) 和 总τ(–) 控制变量)
横向反馈控制似乎不够稳定,因为可以观察到振荡,但需要提醒的是,该控制器是非线性的(见公式(41))。由于得到的误差较小(小于1.5厘米),这些振荡在跟踪方面并不构成问题。振荡抑制是本工作的后续研究方向。
2) PF轨迹跟踪
如图1所述,用作跟踪参考的是来自势场法的轨迹,而非来自遗传算法的最优轨迹。由于势场法轨迹受环境中障碍物的影响,平滑性较差,因此需要验证其作为参考的有效性。
由于障碍物产生的力以离散方式依赖于与障碍物的距离,因此势场法(PF)产生的加速度参考中会出现一些振荡。这些振荡的频率约为100 Hz ≈ 600 rad/s。为了减小这些振荡的影响,在图1的第4和第5框之间添加了一个截止频率为200 rad/s的二阶低通滤波器。
在图18中,通过滤波后的势场法参考轨迹获得了一条轨迹。图18(a)显示空间轨迹良好,图18(b)中的位置误差较小(< 1厘米),进一步证实了这一点。在图18(c)中为速度参考,可以观察到测量速度。然而,在图18(d)中,使用未滤波的参考时,会出现明显的扭矩尖峰而非振荡。为了滤除这些尖峰本身,需要降低截止角频率,但由于势场法被用作反应式方法,如果截止角频率过小,可能会削弱势场法的反应性。
在图18(d)中可以观察到,与最优参考轨迹相比(见图17(c)),控制变量$\beta$的振荡被势场法参考轨迹的振荡所增强。
超车场景下的闭环轨迹(—),采用CRONE控制器进行速度调节,并使用来自势场法的滤波参考;(b) 相应的轨迹误差,(c) 相应的速度曲线,以及(d) 相应的控制变量)
3) 转向角有效性
最后,本段中进行了一次仿真,以验证最优轨迹在转弯角度方面的可行性。实际上,最优轨迹是使用质点模型生成的,需要在此处通过验证模型对先前的仿真中更大的角度情况进行验证。
图19展示了一个环岛场景中的轨迹,证明了使用遗传算法生成的最优轨迹与车辆的非完整特性相兼容。由于该轨迹是在路线图内生成的,因此已具备对车辆友好的特性。图19(b)中所示的误差非常小(< 1cm),且图19(c)中的参考速度也被准确跟踪。
环岛场景中的闭环轨迹(–),与最优参考轨迹(–)对比;(b) 对应的x和y误差;(c) 对应的速度;(d) 对应的控制变量)
超车和环岛两种场景表明,由于速度和转向角均发生变化,非线性模型会改变工作点。这意味着,在这些场景中,模型的线性行为在持续变化。如预期所示,所设计的针对横向和纵向不确定线性模型的鲁棒反馈控制系统已得到验证,因为其完全满足第III-C.2中定义的规格要求。
V. 结论
本文将GA-PF规划方法应用于包含车辆模型的全局规划与控制结构中。主要贡献在于该控制结构本身,包括遗传算法和势场法的应用,以及用于轨迹跟踪的不同综合调节器。同时考虑了纵向和横向跟踪,并利用微分平坦性原理通过自行车模型逆系统将轨迹笛卡尔坐标智能地转换为控制变量。
在第一节中,定义了面向autonomouscar-oriented的问题,以及所使用的轨迹类型和不同的车辆模型。接着,在第二节中,开发了纵向和横向跟踪方法。纵向跟踪方法考虑了车辆模型参数变化以及一些道路参数变化,如附着系数和坡度。横向跟踪方法是一种受风筝冲浪轨迹跟踪研究启发的非线性方法。反馈控制通过使用自行车模型逆系统的前馈控制来支持,将参考轨迹的笛卡尔坐标转换为控制变量。最后,通过超车场景和环岛场景展示了模型反演的性能、用于速度调节的CRONE控制器的鲁棒性,以及完整的闭环控制架构的有效性。
该方法在生成平滑且与道路兼容的轨迹方面已被证明是高效的,能够满足最大加速度、最高速度或最大转向角等约束条件。跟踪效果高效,因为最优参考轨迹得到了准确跟随,且误差非常小。在后续研究中,势场法引起的振荡可能使轨迹变为次优,可进一步研究以减弱这些振荡。

1154

被折叠的 条评论
为什么被折叠?



