1 SIFT描述子
1.1SIFT描述子简介
SIFT,即尺度不变特征变换(Scale-invariant feature transform,SIFT),是用于图像处理领域的一种描述。这种描述具有尺度不变性,可在图像中检测出关键点,是一种局部特征描述子。
1.2 SIFT算法实现步骤简述
SIFT算法实现特征匹配主要有三个流程,1、提取关键点;2、对关键点附加 详细的信息(局部特征),即描述符;3、通过特征点(附带上特征向量的关 键点)的两两比较找出相互匹配的若干对特征点,建立景物间的对应关系。
2 关键点检测的相关概念
2.1 哪些点是SIFT中要查找的关键点(特征点)
这些点是一些十分突出的点不会因光照、尺度、旋转等因素的改变而消 失,比如角点、边缘点、暗区域的亮点以及亮区域的暗点。既然两幅图像中 有相同的景物,那么使用某种方法分别提取各自的稳定点,这些点之间会有 相互对应的匹配点
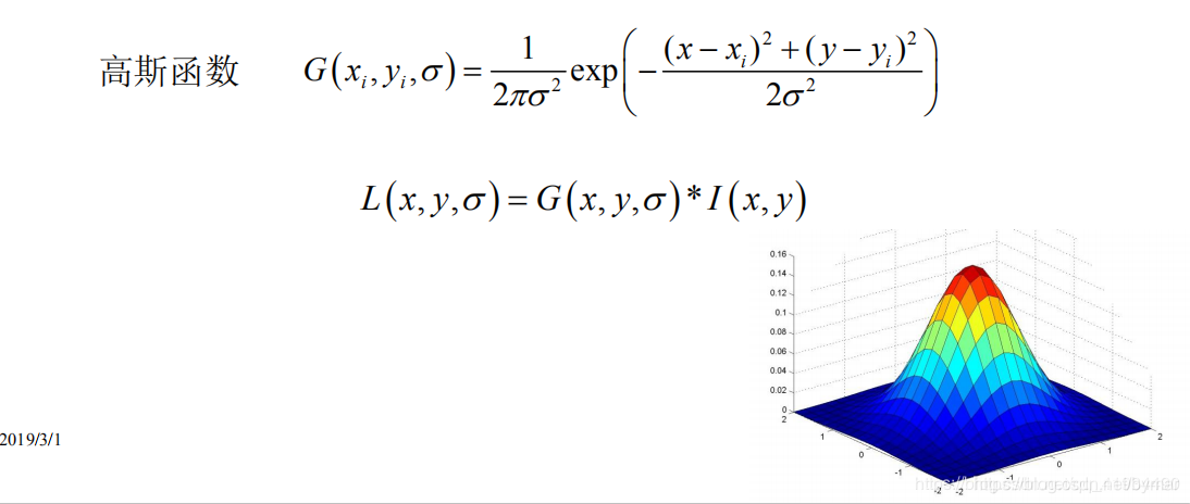
2.2 什么是尺度空间
关键点检测的相关概念 尺度空间中各尺度图像的 模糊程度逐渐变大,能够模拟 人在距离目标由近到远时目标 在视网膜上的形成过程。 尺度越大图像越模糊。
根据文献《Scale-space theory: A basic tool for analysing structures at different scales》可知,高斯核是唯一可以产生 多尺度空间的核,一个 图像的尺度空间,L(x, y, σ) ,定义为原始图像 I(x, y)与一个可变尺度的2 维高斯函数G(x, y, σ) 卷积运算。
2.3高斯金子塔
高斯金子塔的构建过程可分为两步:
(1)对图像做高斯平滑;
(2)对图像做降采样。

本文深入探讨SIFT算法,从SIFT描述子的介绍到算法实现步骤,包括关键点检测、尺度空间、高斯金子塔、DoG局部极值检测和关键点匹配。SIFT算法具有尺度、旋转和光照不变性,但对模糊和边缘平滑图像的处理效果不佳。实验结果表明,SIFT在不同尺度和旋转下的匹配效果良好,适用于大规模数据库的快速匹配。
最低0.47元/天 解锁文章
3140

被折叠的 条评论
为什么被折叠?



