引言:随着物联网技术的飞速发展,室内定位需求日益增长,如智慧工厂、仓储物流、智慧医疗等场景。超宽带(UWB)技术凭借其定位精度高、抗干扰能力强、穿透性好等优势,成为室内定位领域的主流技术之一。然而,在实际应用中,UWB室内定位移动站测量的距离数据不可避免地存在波动,这会严重影响定位精度。本文将从UWB距离数据波动的根源出发,详细剖析数据波动特性,重点围绕Allan方差数据统计、数据样条拟合、快速卡尔曼滤波三种核心数据处理方法,深入讲解其原理、软件算法实现,并搭配流程图直观呈现处理流程。全文采用大量表格对比不同技术的优劣、参数差异及适用场景,力求内容通俗易懂、逻辑清晰,为相关工程技术人员提供全面的技术参考。
一、UWB室内定位移动站距离测量基础
1.1 UWB技术定位原理
UWB技术是一种无载波通信技术,通过发送和接收纳秒级的极窄脉冲来传输数据。其定位核心原理是基于距离测量,再通过多边定位、三角定位等算法计算移动站的位置。常见的UWB距离测量方法主要有两种:飞行时间(TOF)法和到达时间差(TDOA)法。
| 测量方法 |
核心原理 |
优势 |
劣势 |
适用场景 |
|---|---|---|---|---|
| 飞行时间(TOF)法 |
测量UWB信号从移动站发送到基站再反射回移动站的总时间,结合光速计算距离(距离=光速×飞行时间/2) |
定位精度高,直接测量距离,计算简单 |
对时钟同步要求高,易受多径效应影响 |
短距离高精度定位场景,如室内机器人定位 |
| 到达时间差(TDOA)法 |
测量UWB信号到达两个不同基站的时间差,通过多个时间差构建方程组求解移动站位置 |
无需移动站与基站严格同步,系统复杂度较低 |
定位精度受基站布局影响大,需要更多基站支撑 |
大面积室内定位场景,如大型仓储、购物中心 |
1.2 移动站距离测量数据的构成
UWB移动站测量的距离数据并非真实距离的直接反映,而是由真实距离、系统误差、随机误差三部分组成,其数学表达式可表示为:
![]()
其中,D_meas为测量距离,D_true为真实距离,E_sys为系统误差,E_ran为随机误差。系统误差是由硬件设备、环境因素等固定因素引起的,具有可重复性和可修正性;随机误差是由噪声、多径效应等随机因素引起的,具有随机性和不可预测性,也是导致距离数据波动的主要原因。
1.3 距离数据波动的核心影响因素
UWB室内定位移动站距离数据波动的影响因素众多,可分为内部因素和外部因素两大类。内部因素主要与设备本身相关,外部因素则与定位环境相关。
| 因素类型 |
具体因素 |
波动影响机制 |
影响程度 |
缓解措施 |
|---|---|---|---|---|
| 内部因素 |
时钟漂移 |
移动站和基站的时钟精度不足,导致时间测量误差,进而引入距离测量波动 |
★★★★☆ |
采用高精度晶振,定期进行时钟同步校准 |
| 电路噪声 |
接收电路中的热噪声、散粒噪声等会干扰信号检测,导致时间测量偏差,产生随机波动 |
★★★☆☆ |
优化电路设计,增加滤波电路,提高信号信噪比 |
|
| 天线性能 |
天线增益不均匀、辐射方向图畸变,导致信号传输损耗不稳定,影响距离测量 |
★★☆☆☆ |
选用高性能UWB天线,合理布局天线位置 |
|
| 功率波动 |
发射功率不稳定导致信号传播距离变化,引入距离测量误差 |
★★☆☆☆ |
采用功率稳定电路,实时监测发射功率 |
|
| 外部因素 |
多径效应 |
UWB信号在室内传播过程中遇到墙壁、家具等障碍物产生反射、折射,形成多径信号,接收端难以准确识别直达波,导致时间测量偏差 |
★★★★★ |
采用多径分辨算法,优化基站布局,避开障碍物密集区域 |
| 遮挡物影响 |
移动站与基站之间被人体、设备等遮挡,导致信号衰减严重,测量距离出现跳变 |
★★★☆☆ |
增加基站数量,保证信号覆盖无死角,采用抗遮挡能力强的UWB模块 |
|
| 环境噪声 |
室内其他无线设备(如Wi-Fi、蓝牙)产生的电磁干扰,干扰UWB信号接收,引入波动 |
★★☆☆☆ |
选择合适的UWB工作频段,采用跳频技术,增强抗干扰能力 |
|
| 温度湿度变化 |
温度湿度变化会影响电磁波传播速度,进而影响距离测量精度,产生缓慢波动 |
★★☆☆☆ |
引入温度湿度补偿算法,实时修正传播速度 |
二、UWB距离数据波动特性分析
2.1 数据采集实验设计
为了准确分析UWB距离数据的波动特性,设计如下采集实验:
2.1.1 实验环境
实验地点选择典型的办公室内环境,面积约50㎡,室内包含办公桌、文件柜、沙发等障碍物,环境温度25℃,湿度60%。
2.1.2 实验设备
| 设备类型 |
型号 |
主要参数 |
数量 |
|---|---|---|---|
| UWB基站 |
Decawave DW1000 |
工作频段3.5-6.5GHz,测量精度±10cm,通信速率110kbps-6.8Mbps |
4个 |
| UWB移动站 |
Decawave DW1000开发板 |
与基站参数匹配,支持TOF/TDOA测量 |
1个 |
| 上位机 |
联想拯救者Y9000P |
Intel i7-12700H,16GB内存,512GB固态硬盘 |
1台 |
| 数据采集软件 |
自定义开发(基于Python) |
支持数据实时采集、存储、可视化,采样频率可配置 |
1套 |
2.1.3 实验方案
1. 基站布局:将4个UWB基站固定在室内四周,确保基站之间无遮挡,且能覆盖整个实验区域,记录每个基站的精确坐标。
2. 移动站固定:将移动站固定在距离其中一个基站5m的位置,确保移动站与基站之间无遮挡(直射场景),同时在移动站与基站之间放置障碍物(遮挡场景)进行对比实验。
3. 数据采集:设置采样频率为100Hz,分别在直射场景和遮挡场景下采集距离数据,每个场景采集10000个数据点,数据存储为CSV格式,包含时间戳、测量距离、基站ID等信息。
2.2 波动特性统计指标
为了量化分析距离数据的波动特性,引入以下常用统计指标:
| 统计指标 |
数学表达式 |
物理意义 |
计算方法 |
|---|---|---|---|
| 均值 |
barD = frac{1}N\sum_{i=1}^{N}D_i\) |
反映距离测量数据的中心趋势,接近真实距离 |
所有测量数据的算术平均值 |
| 方差(Variance) |
sigma^2 = frac{1}{N-1}sum_{i=1}^{N}(D_i - bar{D})^2 |
反映数据偏离均值的程度,方差越大,波动越剧烈 |
每个数据与均值差的平方和除以(数据量-1) |
| 标准差(Standard Deviation) |
sigma = \sqrt{\frac{1}{N-1}\sum_{i=1}^{N}(D_i - \bar{D})^2}\) |
与方差意义一致,单位与测量距离一致,更直观 |
方差的平方根 |
| 峰值-峰值(Peak-to-Peak) |
D_{p-p} = D_{max} - D_{min} |
反映数据的最大波动范围 |
数据中的最大值减去最小值 |
| 变异系数(Coefficient of Variation) |
CV = \frac{\sigma}{\bar{D}} \times 100\% |
反映数据的相对波动程度,不受测量单位影响 |
标准差与均值的比值,用百分比表示 |
2.3 实验数据波动特性分析
根据上述实验采集的直射场景和遮挡场景下的距离数据,计算各统计指标,结果如下表所示:
| 实验场景 |
均值(m) |
方差(m²) |
标准差(m) |
峰值-峰值(m) |
变异系数(%) |
|---|---|---|---|---|---|
| 直射场景 |
4.98 |
0.0012 |
0.0346 |
0.21 |
0.69 |
| 遮挡场景 |
5.02 |
0.0156 |
0.1249 |
1.05 |
2.49 |
从实验结果可以看出:
1. 遮挡场景下的距离数据波动远大于直射场景,其标准差是直射场景的3.6倍,变异系数是直射场景的3.6倍,说明多径效应和遮挡是导致距离数据波动的主要原因。
2. 直射场景下,距离数据的均值接近真实距离(5m),而遮挡场景下均值略有偏差,说明遮挡不仅会导致波动增大,还可能引入系统误差。
3. 两种场景下的峰值-峰值差异显著,遮挡场景下最大波动范围达到1.05m,严重影响定位精度,因此必须对距离数据进行波动抑制处理。
三、Allan方差数据统计分析——波动溯源与量化
Allan方差(Allan Variance, AV)是由David W. Allan于1966年提出的一种用于分析随机过程的统计方法,最初主要用于原子钟的频率稳定性分析。由于Allan方差对不同类型的随机误差具有良好的分辨能力,近年来被广泛应用于传感器数据波动分析、定位数据处理等领域。本节将详细讲解Allan方差的基本原理、在UWB距离数据波动分析中的应用、软件算法实现及结果分析。
3.1 Allan方差基本原理
3.1.1 定义与数学表达式
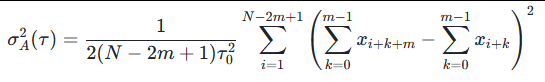
对于平稳随机过程的离散时间序列\(\{x_i\}\)(\(i=1,2,...,N\)),其Allan方差的定义为:在采样时间间隔为\(\tau_0\)的情况下,取不同的平均时间\(\tau = m\tau_0\)(\(m\)为平均次数,\(m=1,2,...,M\),\(M \leq N/2\)),计算相邻两个平均数据的差值的平方的一半的均值,数学表达式为:

简化表达式(当数据量足够大时,\(N-2m+1 \approx N\)):

最低0.47元/天 解锁文章
1164

被折叠的 条评论
为什么被折叠?



