本文结合前辈以及大佬们的资料,并加上自己的一点理解,做了一篇关于SVPWM基本原理的讲解
前文:合成矢量推导
这三个电压加在在了三个在空间中两两相差120°的绕组 上。而这三个电压又时间相位上互差120°



正文:为了达到控制电机的目的(调速),电机驱动系统要有能力给电机提供频率和幅值可以变化的电压。工业电源输出电压的频率和幅值是固定的。我们首先可以将工业电源输出的电压变为直流电压源,也就是图1中大家可以看到的Vdc,这一步叫做整流。这一直流电压源通过图1中的三相逆变器就可以变换为频率和幅值可以变化的电压,这一步叫做逆变。

SVPWM算法实际上计算的是上图所示逆变器的六个开关何时导通,何时切断。过控制这六个开关的导通和切断,配合左边的直流电压源Vdc,该逆变器可以在右侧三个电机定子相上产生所需要的正弦电压。注意,后面大家会看到该正弦电压是PWM形式的。这六个开关的开关状态是离散的,所以该算法很适合离散的数字系统。
在图1的三相逆变器中,每一相桥臂上的两个开关状态是互补的。如果该相上开关是导通的,那么下开关必然是切断的。我们可以先定义一个开关函数。

该状态对应的电机绕组连接图如下。

SVPWM算法都假设电机拥有三相平衡绕组,也就是说所有的电机三相的相电阻相等RA=RB=RC。相电阻RA和RC并联,它们的总电阻就是相电阻RA的一半。根据串联分压定理有:

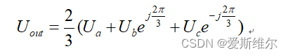
N为中性线,VAN等表示A相电压(电机绕组的相到中性点的电压)将上面计算的值,代入三相对称正弦电压矢量合成公式:


最低0.47元/天 解锁文章
3万+

被折叠的 条评论
为什么被折叠?



