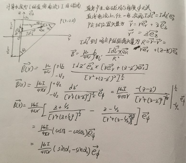
一、磁偶极子matlab的推导与仿真:
1、公式推导:

2、matlab程序:
clc;
u0=4*pi*1e-7;
I=10;
L=1000;
C=u0*I/(4*pi);
Nr=101;Nz=101;
r=linspace(-1000,1000,Nr);
z=linspace(-1000,1000,Nz)';
b1=sqrt(r.^2+(z+L).^2);
b2=sqrt(r.^2+(z-L).^2);
B=C./r.*((z+L)./b1-(z-L)./b2);
subplot(1,2,1);
plot(r,B(51,:));
xlabel('r(m)'); ylabel('B(T)');
title('z=0m,B随\rho的变化');
subplot(1,2,2);
plot(z,B(:,76)); xlabel('z(m)'); ylabel('B(T)');
title('\rho=250m,B随z的变化');
3、结果展示:

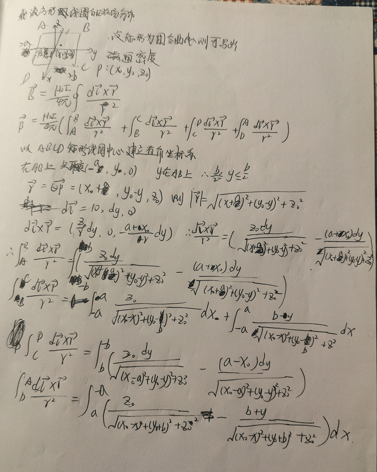
二、载流方形回线的磁场分布
1.公式推导

2.matlab程序:
clc;
I=10;
a=50;
b=25;

最低0.47元/天 解锁文章
1020

被折叠的 条评论
为什么被折叠?



