一、实验目的
电偶极子的电位和电场强度分布仿真、电偶极子电磁辐射的仿真。
二、实验内容
(一)电偶极子的电位和电场强度分布仿真
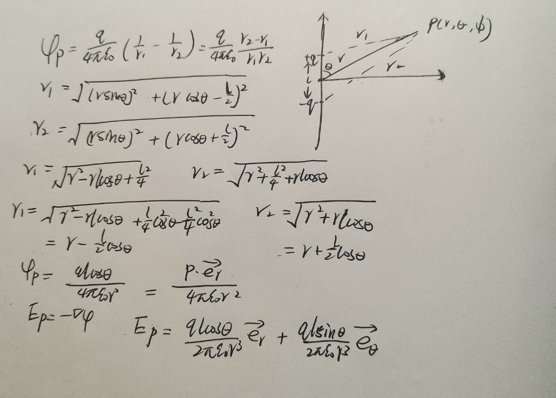
1.公式推导:

2.仿真要求
根据电偶极子的电位函数和电场强度函数,基于MATLAB编程,绘制空间任意一点的位置坐标,算出这一点的电位和电场分布。
设在,b)处点电荷+q,(-a,-b)处点电荷-q,其中q=2*10-6C,a=2,b=0。
3.MATLAB程序:
clear;clf;
q=2e-6;k=9e9;
a=2;b=0;
x=-6:0.6:6;y=x;
[X,Y]=meshgrid(x,y);
rp=sqrt((X-a).^2+(Y-b).^2);
rm=sqrt((X+a).^a+(Y+b).^2);
V=q*k*(1./rp-1./rm);
[Ex,Ey]=gradient(-V);
AE=sqrt(Ex.^2+Ey.^2);Ex=Ex./AE;Ey=Ey./AE;
cv=linspace(min(min(V)),max(max(V)),49);
contourf(X,Y,V,cv,'k-')
axis('square')
title('电偶极子的场');
hold on
quiver(X,Y,Ex,Ey,0.7)
plot(a,b,'wo',a,b,'w+')
plot(-a,-b,'wo',-a,-b,'w-')
xlabel('x');ylabel('y')

(二)电偶极子电磁辐射的仿真
1.公式推导:


2.仿真要求
根据电偶极子的电场表达式,推导电力线方程,采用MATLAB绘制电偶极子的在近场区、远场区的电场随时间动态分布图,分析电偶极子辐射特点。
3.MATLAB程序:
clear
N=input('输入N=');
M=20; k=1;
K=[-2.0,-1.5,-0.8,-0.4,-0.2,0.2,0.4,0.8,1.5,2.0];
wt=pi/4*N;
x=-M:0.5:M;
z=-M:0.5:M;
[X,Z]=meshgrid(x,z);
r=sqrt(X.^2+Z.^2);
a=acos(Z./r);
mabide=sin(a).^2.*(cos(wt-k.*r)-k.*r.*sin(wt-k.*r))./(k.*r);
figure
[c,h]=contour(X,Z,mabide,K);
f=getframe(gcf);
imind=frame2im(f);
[imind,cm]=rgb2ind(imind,256);
xlabel('x(m)');
ylabel('z(m)');
4.仿真结果
N=1的wt=π/4的仿真结果 N=3的wt=π/4的仿真结果

电偶极子的辐射方向:
MATLAB程序:
clear;
delta=pi/100;
theta=0: delta:pi;
phi=0:2*delta:2*pi;
[phi,theta]=meshgrid(phi,theta);
rho=(cos((pi/2)*cos(theta)))./(2*pi*sin(theta));
r=rho.*sin(theta);
x=r.*cos(phi);
y=r.*sin(phi);
z=rho.*cos(theta);
li=find(y<0);
x(li)=nan;
surf(x,y,z);
axis('square');
xlabel('x(m)');
ylabel('y(m)');
zlabel('z(m)');
title('半振子天线方向图');

(三)电流的电力线图像
1.公式推导:

2. MATLAB程序:
clear
N=input('输入N=');
M=20; k=1;
K=[-2.0,-1.5,-0.8,-0.4,-0.2,0.2,0.4,0.8,1.5,2.0];
wt=pi/4*N;
x=-M:0.5:M;
z=-M:0.5:M;
[X,Z]=meshgrid(x,z);
r=sqrt(X.^2+Z.^2);
a=acos(Z./r);
mabide=sin(a).^2.*(sin(wt-k.*r)+k.*r.*cos(wt-k.*r))./(k.*r);
figure1
[c,h]=contour(X,Z,mabide,K);
f=getframe(gcf);
imind=frame2im(f);
[imind,cm]=rgb2ind(imind,256);
xlabel('x(m)');
ylabel('z(m)');
3.仿真结果
N=1的wt=π/4的仿真结果 N=3的wt=π/4的仿真结果

1846

被折叠的 条评论
为什么被折叠?



