基于遗传优化的多车辆VRP问题求解matlab仿真
最新推荐文章于 2025-12-15 18:45:24 发布
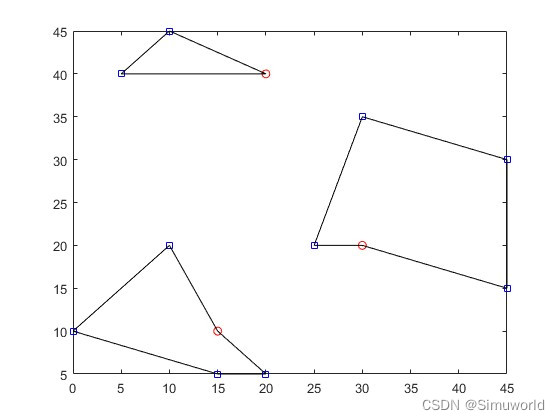
本文介绍了使用遗传优化方法解决多车辆路径问题(VRP)的MATLAB仿真,包括2022a的仿真结果展示、MATLAB源码分享及算法概述。遗传算法通过初始化、适应度评估、选择、交叉和变异操作,寻找VRP的最优解。文中还引用了相关研究文献。


订阅专栏 解锁全文
1597

被折叠的 条评论
为什么被折叠?



