标准误概念:即样本均数的标准差,可用于衡量抽样误差的大小。

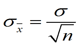
通常σ未知,用s(标准差)来估计,计算标准误:
----> 通过增加样本含量n来降低抽样误差。
标准误的特点:
当样本例数n一定时,标准误与标准差呈正比;
当标准差一定时,标准误与样本含量n的平方根呈反比。
意义:反映样本均数间离散程度。反映抽样误差的大小。标准误越小,抽样误差越小,用样本均数估计总体均数的可靠性越大。
标准差和标准误的差别:
标准误:反映抽样误差
用于总体均数、置信区间、进行统计学检验
标准差:反映个体变异
用于计算参考值范围、计算标准误、CV
联系:当n一定时,标准差越大,标准误越大
本文深入探讨了标准误的概念,解释其为样本均数的标准差,用于衡量抽样误差的大小。阐述了标准误与样本量、标准差的关系,以及如何通过增加样本量来减小抽样误差。对比了标准误与标准差的区别,前者反映抽样误差,后者反映个体变异。
1万+





