解题思路:因为删除的时候可能会对原结构造成改变,所以要思考好一共五种删除位置的可能
1,在叶子节点位置删除 2,在有左孩子没右孩子时的删除 3,在有右孩子没有左孩子时候的删除 4没有找到 5左右孩子都有时候的删除
但有一个孩子的时候直接返回孩子的地址,让当前节点的父节点直接指向孩子节点就好,然后释放当前节点,如果有左右孩子的话就要选择把其中一方连接到另一子数的下面
具体代码如下:
class Solution {
public:
TreeNode* deleteNode(TreeNode* root, int key) {
if(root==nullptr)return root;
if(root->val==key){
if(root->left==nullptr&&root->right==nullptr){
delete root;return nullptr;//会有上一个递归接住
}
else if(root->right==nullptr){
auto a=root->left;delete root;return a;
}
else if(root->left==nullptr){
auto a=root->right;delete root;return a;
}
else if(root->left!=nullptr&&root->right!=nullptr){//两边都不为空时
TreeNode*temp=root->right;
while(temp->left!=nullptr){
temp=temp->left;
}
temp->left=root->left;
TreeNode*a=root->right;delete root;
return a;
}
}
if(key<root->val){
root->left=deleteNode(root->left,key);
}
if(key>root->val){
root->right=deleteNode(root->right,key);
}return root;
}
};
具体题目如下;
给定一个二叉搜索树的根节点 root 和一个值 key,删除二叉搜索树中的 key 对应的节点,并保证二叉搜索树的性质不变。返回二叉搜索树(有可能被更新)的根节点的引用。
一般来说,删除节点可分为两个步骤:
- 首先找到需要删除的节点;
- 如果找到了,删除它。
示例 1:

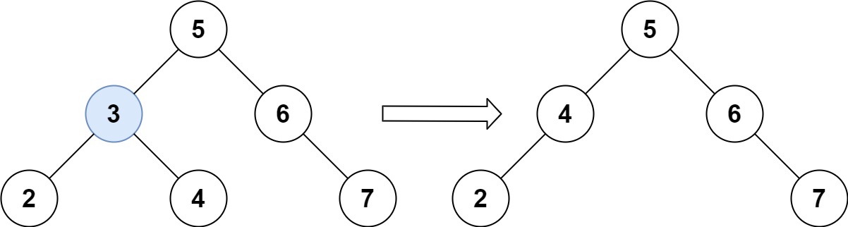
输入:root = [5,3,6,2,4,null,7], key = 3 输出:[5,4,6,2,null,null,7] 解释:给定需要删除的节点值是 3,所以我们首先找到 3 这个节点,然后删除它。 一个正确的答案是 [5,4,6,2,null,null,7], 如下图所示。 另一个正确答案是 [5,2,6,null,4,null,7]。

示例 2:
输入: root = [5,3,6,2,4,null,7], key = 0 输出: [5,3,6,2,4,null,7] 解释: 二叉树不包含值为 0 的节点
示例 3:
输入: root = [], key = 0 输出: []
提示:
- 节点数的范围
[0, 104]. -105 <= Node.val <= 105- 节点值唯一
root是合法的二叉搜索树-105 <= key <= 105
进阶: 要求算法时间复杂度为 O(h),h 为树的高度。
本文详细描述了在二叉搜索树中删除指定节点的解题思路,涉及五种可能的删除位置,并提供了C++代码实现。算法要求时间复杂度为O(h),保证树的性质不变。
639

被折叠的 条评论
为什么被折叠?



