解题思路:采取后序遍历的好处是先遍历节点得到高度,然后再判断高度差是否大于一,如果是的话就返回-1,不是就返回两高度中较大的高度加一就是父节点的高度
具体代码如下:
class Solution {
public:
int travel(TreeNode*root){
if(root==NULL)return 0;
int lefthigh=travel(root->left);
if(lefthigh==-1)return -1;
int righthigh=travel(root->right);
if(righthigh==-1)return -1;
int result;
if(abs(righthigh-lefthigh)>1)result=-1;
else{
return result=1+max(righthigh,lefthigh);
}return result;
};
bool isBalanced(TreeNode* root) {
int a=travel(root);
if(a==-1)return false;
else return true;
}
};
原题如下:
给定一个二叉树,判断它是否是
平衡二叉树
示例 1:

输入:root = [3,9,20,null,null,15,7] 输出:true
示例 2:

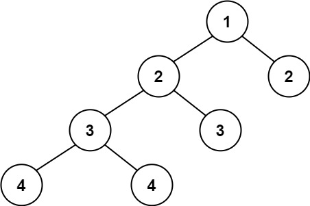
输入:root = [1,2,2,3,3,null,null,4,4] 输出:false
示例 3:
输入:root = [] 输出:true
提示:
- 树中的节点数在范围
[0, 5000]内 -104 <= Node.val <= 104
使用后序遍历判断二叉树是否平衡
文章介绍了如何通过后序遍历算法解决判断二叉树是否平衡的问题,通过计算左右子树的高度差来确定,若高度差大于1则返回-1,否则返回较大高度加一作为父节点高度。
376

被折叠的 条评论
为什么被折叠?



