✅作者简介:热爱科研的Matlab仿真开发者,擅长数据处理、建模仿真、程序设计、完整代码获取、论文复现及科研仿真。
🍎 往期回顾关注个人主页:Matlab科研工作室
🍊个人信条:格物致知,完整Matlab代码获取及仿真咨询内容私信。
🔥 内容介绍
在电力系统运行过程中,无功功率的合理分配直接关系到电网的经济性能、电压质量和运行稳定性。随着电力系统规模不断扩大、负荷类型日趋复杂,无功优化已成为电网调度与规划领域的核心研究课题之一。其核心目标是通过优化无功电源的配置和调节,在保证系统安全运行的前提下,最大限度降低有功损耗,提升电压合格率。
《基于改进遗传算法的电力系统无功优化研究》相关程序,针对传统遗传算法在无功优化问题中易收敛于局部最优解、收敛速度慢等痛点,提出了针对性的改进策略,为无功优化问题提供了高效可行的解决方案。该程序不仅构建了科学的无功优化数学模型,还集成了潮流计算工具、改进遗传算法实现等关键模块,涵盖了无功优化研究的核心知识点,无论是电力系统专业的学生还是科研人员,都能通过复现该程序深入掌握无功优化的核心逻辑与实现方法,是极具学习价值的实践案例。
程序亮点速览
(一)核心知识点全覆盖,兼具学习与科研价值
该程序堪称无功优化领域的“实战学习包”,集成了多项核心知识点,每个模块都可作为独立专题深入研究。核心内容包括:以有功损耗最小为目标的无功优化数学建模,涵盖目标函数构建、约束条件处理等关键环节;惩罚项设计策略,将电压越界、无功出力越界等安全约束转化为目标函数的惩罚项,实现约束条件的灵活处理;MATPOWER潮流计算工具的应用,掌握电力系统潮流分析的实操方法;改进遗传算法的设计与实现,涉及编码方式、选择策略、参数动态调节等算法优化核心技术;IEEE30节点系统的建模与测试,熟悉标准测试系统的应用逻辑。这些知识点相互关联、层层递进,完整覆盖了无功优化从建模到求解的全流程,为学习者搭建起系统的知识框架。
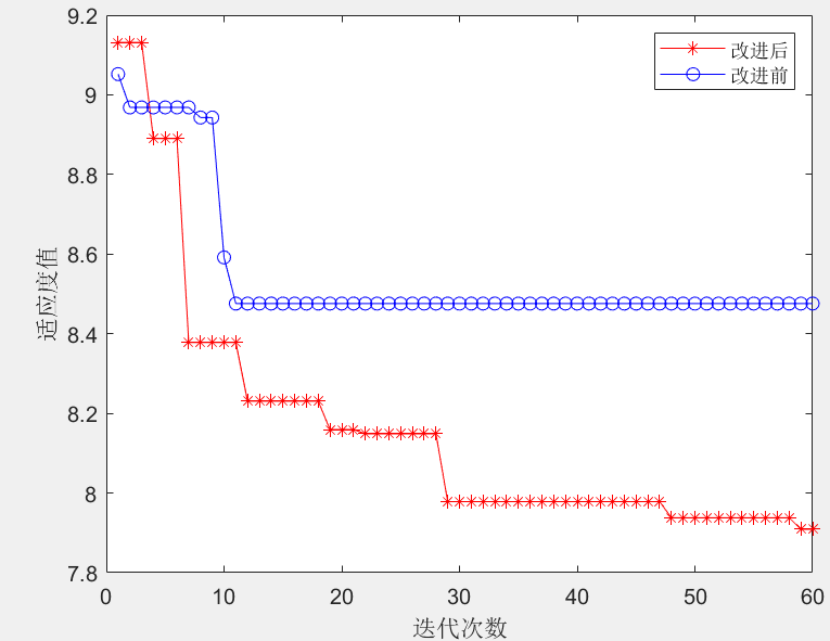
(二)改进遗传算法破局,兼顾效率与精度
遗传算法作为一种经典的启发式优化算法,因鲁棒性强、适用于复杂非线性问题等优势被广泛应用于无功优化领域,但传统遗传算法在处理无功优化问题时存在明显短板。本程序提出的改进遗传算法,从编码、选择、参数调节三个核心环节进行优化,有效提升了算法的收敛速度和寻优精度,解决了传统算法的核心痛点。同时,程序采用IEEE30节点标准测试系统进行验证,该系统结构经典、参数公开,是电力系统优化问题研究的常用平台,便于研究者对比不同算法的性能,验证改进策略的有效性。
(三)实操性极强,配套工具易获取
程序在工具选择上兼顾了专业性与易用性,采用MATPOWER进行潮流计算。MATPOWER是基于MATLAB的开源电力系统仿真工具箱,操作便捷、功能强大,且可在公众号免费获取软件模块及详细安装教程,降低了新手的入门门槛。程序的代码结构清晰,各模块功能划分明确,从数据准备、模型构建、算法实现到结果分析,每一步都有清晰的逻辑指引,便于学习者逐步复现、调试和二次开发。
复现思路全解析
(一)前期准备:工具安装与数据收集
前期准备工作主要包括工具安装和基础数据收集两部分,是程序复现的基础,直接影响后续工作的推进效率。
工具安装方面,核心是完成MATPOWER工具箱的安装配置。大家可关注相关公众号,免费获取MATPOWER软件模块及配套安装教程,按照教程步骤在MATLAB环境中完成安装与测试。安装完成后,可通过调用工具箱内置的潮流计算函数(如runpf)进行简单测试,确保工具箱能够正常运行。
基础数据收集方面,核心是获取IEEE30节点系统的完整参数。该系统的标准参数可通过多种渠道获取:一是MATPOWER工具箱内置了IEEE30节点系统的标准模型,可直接调用相关数据文件;二是公开的电力系统分析教材、学术论文中通常会详细列出该系统的节点参数、线路参数、发电机参数、负荷参数等;三是电力系统相关的开源数据库或学术平台。收集到数据后,需对数据进行整理校验,确保参数的完整性和准确性,为后续模型搭建和潮流计算提供可靠的数据支撑。

⛳️ 运行结果


📣 部分代码
🔗 参考文献
🎈 部分理论引用网络文献,若有侵权联系博主删除
👇 关注我领取海量matlab电子书和数学建模资料
🏆团队擅长辅导定制多种科研领域MATLAB仿真,助力科研梦:
🌟 各类智能优化算法改进及应用
生产调度、经济调度、装配线调度、充电优化、车间调度、发车优化、水库调度、三维装箱、物流选址、货位优化、公交排班优化、充电桩布局优化、车间布局优化、集装箱船配载优化、水泵组合优化、解医疗资源分配优化、设施布局优化、可视域基站和无人机选址优化、背包问题、 风电场布局、时隙分配优化、 最佳分布式发电单元分配、多阶段管道维修、 工厂-中心-需求点三级选址问题、 应急生活物质配送中心选址、 基站选址、 道路灯柱布置、 枢纽节点部署、 输电线路台风监测装置、 集装箱调度、 机组优化、 投资优化组合、云服务器组合优化、 天线线性阵列分布优化、CVRP问题、VRPPD问题、多中心VRP问题、多层网络的VRP问题、多中心多车型的VRP问题、 动态VRP问题、双层车辆路径规划(2E-VRP)、充电车辆路径规划(EVRP)、油电混合车辆路径规划、混合流水车间问题、 订单拆分调度问题、 公交车的调度排班优化问题、航班摆渡车辆调度问题、选址路径规划问题、港口调度、港口岸桥调度、停机位分配、机场航班调度、泄漏源定位、冷链、时间窗、多车场等、选址优化、港口岸桥调度优化、交通阻抗、重分配、停机位分配、机场航班调度、通信上传下载分配优化
🌟 机器学习和深度学习时序、回归、分类、聚类和降维
2.1 bp时序、回归预测和分类
2.2 ENS声神经网络时序、回归预测和分类
2.3 SVM/CNN-SVM/LSSVM/RVM支持向量机系列时序、回归预测和分类
2.4 CNN|TCN|GCN卷积神经网络系列时序、回归预测和分类
2.5 ELM/KELM/RELM/DELM极限学习机系列时序、回归预测和分类
2.6 GRU/Bi-GRU/CNN-GRU/CNN-BiGRU门控神经网络时序、回归预测和分类
2.7 ELMAN递归神经网络时序、回归\预测和分类
2.8 LSTM/BiLSTM/CNN-LSTM/CNN-BiLSTM/长短记忆神经网络系列时序、回归预测和分类
2.9 RBF径向基神经网络时序、回归预测和分类
2.10 DBN深度置信网络时序、回归预测和分类
2.11 FNN模糊神经网络时序、回归预测
2.12 RF随机森林时序、回归预测和分类
2.13 BLS宽度学习时序、回归预测和分类
2.14 PNN脉冲神经网络分类
2.15 模糊小波神经网络预测和分类
2.16 时序、回归预测和分类
2.17 时序、回归预测预测和分类
2.18 XGBOOST集成学习时序、回归预测预测和分类
2.19 Transform各类组合时序、回归预测预测和分类
方向涵盖风电预测、光伏预测、电池寿命预测、辐射源识别、交通流预测、负荷预测、股价预测、PM2.5浓度预测、电池健康状态预测、用电量预测、水体光学参数反演、NLOS信号识别、地铁停车精准预测、变压器故障诊断
🌟图像处理方面
图像识别、图像分割、图像检测、图像隐藏、图像配准、图像拼接、图像融合、图像增强、图像压缩感知
🌟 路径规划方面
旅行商问题(TSP)、车辆路径问题(VRP、MVRP、CVRP、VRPTW等)、无人机三维路径规划、无人机协同、无人机编队、机器人路径规划、栅格地图路径规划、多式联运运输问题、 充电车辆路径规划(EVRP)、 双层车辆路径规划(2E-VRP)、 油电混合车辆路径规划、 船舶航迹规划、 全路径规划规划、 仓储巡逻、公交车时间调度、水库调度优化、多式联运优化
🌟 无人机应用方面
无人机路径规划、无人机控制、无人机编队、无人机协同、无人机任务分配、无人机安全通信轨迹在线优化、车辆协同无人机路径规划、
🌟 通信方面
传感器部署优化、通信协议优化、路由优化、目标定位优化、Dv-Hop定位优化、Leach协议优化、WSN覆盖优化、组播优化、RSSI定位优化、水声通信、通信上传下载分配
🌟 信号处理方面
信号识别、信号加密、信号去噪、信号增强、雷达信号处理、信号水印嵌入提取、肌电信号、脑电信号、信号配时优化、心电信号、DOA估计、编码译码、变分模态分解、管道泄漏、滤波器、数字信号处理+传输+分析+去噪、数字信号调制、误码率、信号估计、DTMF、信号检测
🌟电力系统方面
微电网优化、无功优化、配电网重构、储能配置、有序充电、MPPT优化、家庭用电、电/冷/热负荷预测、电力设备故障诊断、电池管理系统(BMS)SOC/SOH估算(粒子滤波/卡尔曼滤波)、 多目标优化在电力系统调度中的应用、光伏MPPT控制算法改进(扰动观察法/电导增量法)、电动汽车充放电优化、微电网日前日内优化、储能优化、家庭用电优化、供应链优化\智能电网分布式能源经济优化调度,虚拟电厂,能源消纳,风光出力,控制策略,多目标优化,博弈能源调度,鲁棒优化
电力系统核心问题经济调度:机组组合、最优潮流、安全约束优化。新能源消纳:风光储协同规划、弃风弃光率量化、爬坡速率约束建模多能耦合系统:电-气-热联合调度、P2G与储能容量配置新型电力系统关键技术灵活性资源:虚拟电厂、需求响应、V2G车网互动、分布式储能优化稳定与控制:惯量支撑策略、低频振荡抑制、黑启动预案设计低碳转型:碳捕集电厂建模、绿氢制备经济性分析、LCOE度电成本核算风光出力预测:LSTM/Transformer时序预测、预测误差场景生成(GAN/蒙特卡洛)不确定性优化:鲁棒优化、随机规划、机会约束建模能源流分析、PSASP复杂电网建模,经济调度,算法优化改进,模型优化,潮流分析,鲁棒优化,创新点,文献复现微电网配电网规划,运行调度,综合能源,混合储能容量配置,平抑风电波动,多目标优化,静态交通流量分配,阶梯碳交易,分段线性化,光伏混合储能VSG并网运行,构网型变流器, 虚拟同步机等包括混合储能HESS:蓄电池+超级电容器,电压补偿,削峰填谷,一次调频,功率指令跟随,光伏储能参与一次调频,功率平抑,直流母线电压控制;MPPT最大功率跟踪控制,构网型储能,光伏,微电网调度优化,新能源,虚拟同同步机,VSG并网,小信号模型
🌟 元胞自动机方面
交通流 人群疏散 病毒扩散 晶体生长 金属腐蚀
🌟 雷达方面
卡尔曼滤波跟踪、航迹关联、航迹融合、SOC估计、阵列优化、NLOS识别
🌟 车间调度
零等待流水车间调度问题NWFSP 、 置换流水车间调度问题PFSP、 混合流水车间调度问题HFSP 、零空闲流水车间调度问题NIFSP、分布式置换流水车间调度问题 DPFSP、阻塞流水车间调度问题BFSP
👇
739

被折叠的 条评论
为什么被折叠?



