文章目录
- 一、理论基础
-
- 1、LEACH
- 2、SEP
- 3、LEACH-E
-
- (1)簇头选取机制
- (2)BS充当簇头
- 4、DEEC
-
- (1)基于剩余能量的簇首选择算法
- (2)估计网络的平均能量
- 二、仿真与分析
-
- 1、存活节点数
- 2、基站接收的数据包个数
- 3、死亡节点个数
- 4、结论
- 三、参考文献
- 四、下载地址

2、LEACH-E
LEACH-E算法对LEACH算法的改进如下。

4、DEEC


图1显示了DEEC分簇情况。
图1 DEEC分簇图
1、存活节点数
图2显示了参数m = 0.2 , a = 3 m=0.2,a=3m=0.2,a=3时的结果,图3显示了m = 0.1 , a = 5 m=0.1,a=5m=0.1,a=5时的结果。
图2 m=0.2,a=3时的每轮存活节点数比较

图3 m=0.1,a=5时的每轮存活节点数比较
2、基站接收的数据包个数
图4显示了m = 0.2 , a = 3 m=0.2,a=3m=0.2,a=3时的基站接收的数据包个数的比较结果。
图4 m=0.2,a=3时的基站接收的数据包个数的比较
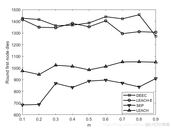
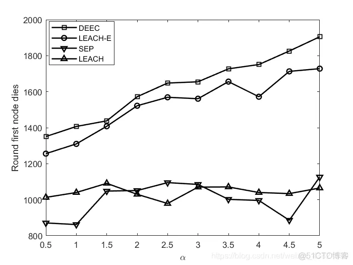
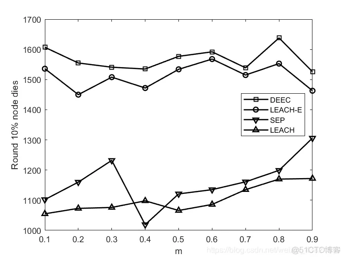
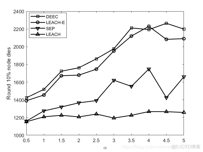
3、死亡节点个数

图5 m变化时,第一个节点死亡的轮数

图6 a变化时,第一个节点死亡的轮数

图7 m变化时,死亡10%节点的轮数

图8 a变化时,死亡10%节点的轮数
4、结论
本文描述了一种用于异构无线传感器网络的能量感知自适应分簇协议DEEC。在DEEC中,每个传感器节点根据其初始能量和剩余能量独立地选择自己作为簇头。为了通过自适应方法控制节点的能量消耗,DEEC使用网络的平均能量作为参考能量。与SEP和LEACH不同,DEEC在多层次异构无线传感器网络中表现良好。
三、参考文献[1] Heinzelman W R , Chandrakasan A , Balakrishnan H . Energy-Efficient Protocol for Wireless Microsensor Networks[C]// hicss. IEEE Computer Society, 2000.
[2] G. Smaragdakis, I. Matta, A. Bestavros, SEP: A Stable Election Protocol for clustered heterogeneous wireless sensor networks, in: Second International Workshop on Sensor and Actor Network Protocols and Applications (SANPA 2004), 2004.
[3] W.R. Heinzelman, A.P. Chandrakasan, H. Balakrishnan, An application-specific protocol architecture for wireless microsensor net works, IEEE Transactions on Wireless Communications 1 (4) (2002) 660–670.
[4] 韩广辉, 张丽翠, HAN,等. 基于LEACH协议的无线传感网能效分簇算法[J]. 吉林大学学报(信息科学版), 2017, 01(v.35):29-34.
[5] Li, Qing, and, et al. Design of a distributed energy-efficient clustering algorithm for heterogeneous wireless sensor networks - ScienceDirect[J]. Computer Communications, 2006, 29(12):2230-2237.完整代码或者仿真咨询添加QQ1575304183
1260

被折叠的 条评论
为什么被折叠?



