
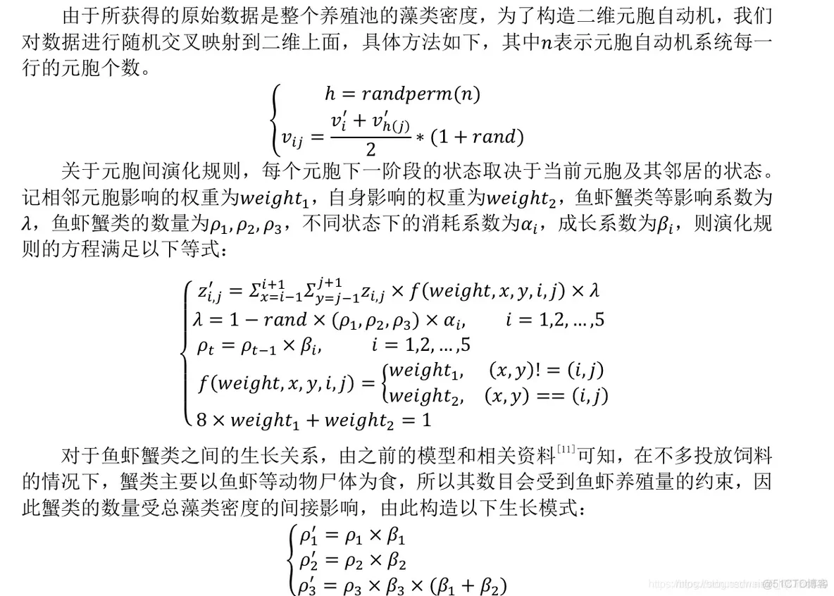
2 模型的参数
考虑到三维的元胞自动机太复杂,为了简单起见,本文采用维度为D=2。考虑到水体之间极强的流动性和分子扩散性,采用????????????????????型邻居会更合理。
2.1 Moore型邻居
2.2 具体参数设定
二、源代码
clear;
clc;
rho=50;length=50;
fish=[500 300 500];%300kg鱼、500kg虾、500kg蟹
lambda=0.8;
T=10;%10周
alpha=[0.00001,0.00015,0.00035,0.00025,0.0002];%不同状态下的鱼儿们消耗系数
range=[15,50,150,500];
%==========画方块图
area=MyCreate(length,rho,lambda);
DrawArea(area,range);
n=length;%n=50
plot([(0:n)',(0:n)']+0.5,[0,n]+0.5,'k');%k代表黑色
plot([0,n]+0.5,[(0:n)',(0:n)']+0.5,'k');
axis image;
set(gca,'xtick',[]);
set(gca,'ytick',[]);%消除x,y轴
figure;
%=========
data=zeros(T,3);%10行3列的零
for i=1:T
[area,fish]=MyChange(area,fish,range,alpha);
DrawArea(area,range);
drawnow;
data(i,:)=fish;
end
function [area,fish]=MyChange(area,fish,range,alpha)
n=length(area);
for i =1:n
for j=1:n
%周围9个方块共同impact
if MyRound(area,i,j)<range(1)%15
area(i,j)=MyRound(area,j,j)*(1-rand*mean(fish)*alpha(1));
%(1-rand*mean(fish)*alpha(1))鱼虾蟹等影响系数
elseif MyRound(area,i,j)<range(2)%50
area(i,j)=MyRound(area,j,j)*(1-rand*mean(fish)*alpha(2));
elseif MyRound(area,i,j)<range(3)%150
area(i,j)=MyRound(area,j,j)*(1-rand*mean(fish)*alpha(3));
elseif MyRound(area,i,j)<range(4)%500
area(i,j)=MyRound(area,j,j)*(1-rand*mean(fish)*alpha(4));
else
area(i,j)=MyRound(area,j,j)*(1-rand*mean(fish)*alpha(5));
end
end
end
avg=mean(mean(area));
%成长系数设置的很迷惑
%蟹类主要以鱼虾等动物尸体为食物,所以其数目会受到鱼虾的影响
function DrawArea(area,range)
temp=area;
n=length(temp);
Area(:,:,1)=temp;
Area(:,:,2)=temp;
Area(:,:,3)=temp;
%给每个方格块上色,水藻密度越大,颜色越绿
for i=1:n
for j=1:n
if temp(i,j)<range(1)
Area(i,j,:)=[0 230 214];
elseif temp(i,j)<=range(2)
Area(i,j,:)=[139 255 223];
elseif temp(i,j)<=range(3)
Area(i,j,:)=[147 255 170];
elseif temp(i,j)<=range(4)
Area(i,j,:)=[91 240 91];
else
Area(i,j,:)=[4 176 58];
end
end
end- 1.
- 2.
- 3.
- 4.
- 5.
- 6.
- 7.
- 8.
- 9.
- 10.
- 11.
- 12.
- 13.
- 14.
- 15.
- 16.
- 17.
- 18.
- 19.
- 20.
- 21.
- 22.
- 23.
- 24.
- 25.
- 26.
- 27.
- 28.
- 29.
- 30.
- 31.
- 32.
- 33.
- 34.
- 35.
- 36.
- 37.
- 38.
- 39.
- 40.
- 41.
- 42.
- 43.
- 44.
- 45.
- 46.
- 47.
- 48.
- 49.
- 50.
- 51.
- 52.
- 53.
- 54.
- 55.
- 56.
- 57.
- 58.
- 59.
- 60.
- 61.
- 62.
- 63.
- 64.
- 65.
- 66.
- 67.
- 68.
- 69.
- 70.
三、运行结果
无水华的情况模拟:


根据以上结果可以知道,经过10周的模拟,水质有了很大的改善,鱼虾蟹的数量有不同程度的下降,说明此时藻类的含量已经不足以支持鱼虾蟹的生长,需要人工投喂。
48

被折叠的 条评论
为什么被折叠?



