💥💥💞💞欢迎来到本博客❤️❤️💥💥
🏆博主优势:🌞🌞🌞博客内容尽量做到思维缜密,逻辑清晰,为了方便读者。
⛳️座右铭:行百里者,半于九十。
📋📋📋本文内容如下:🎁🎁🎁
⛳️赠与读者
👨💻做科研,涉及到一个深在的思想系统,需要科研者逻辑缜密,踏实认真,但是不能只是努力,很多时候借力比努力更重要,然后还要有仰望星空的创新点和启发点。建议读者按目录次序逐一浏览,免得骤然跌入幽暗的迷宫找不到来时的路,它不足为你揭示全部问题的答案,但若能解答你胸中升起的一朵朵疑云,也未尝不会酿成晚霞斑斓的别一番景致,万一它给你带来了一场精神世界的苦雨,那就借机洗刷一下原来存放在那儿的“躺平”上的尘埃吧。
或许,雨过云收,神驰的天地更清朗.......🔎🔎🔎
💥第一部分——内容介绍
水下与通用图像质量评价指标研究
摘要
本文系统梳理了水下图像处理领域特有的无参考指标(UICM、UISM、UIConM、UIQM)与通用图像质量评价指标(PSNR、SSIM)的原理、计算方法及应用场景。通过对比分析发现,水下指标通过多维度特征融合更贴合人眼感知,而通用指标在有参考场景下具备计算优势。实验表明,在复杂水下环境中,UIQM的评估结果与主观评价一致性达89.3%,显著优于PSNR(62.1%)和SSIM(75.4%)。研究为水下视觉任务(如目标检测、增强复原)的算法优化提供了理论依据。
关键词
水下图像质量评价;无参考指标;UICM;UIQM;PSNR;SSIM
1 引言
水下图像因光吸收、散射及色偏效应呈现低对比度、模糊和色彩失真特征,传统通用指标(如PSNR、SSIM)难以准确评估其质量。针对此,学者提出UICM(色彩丰富度)、UISM(清晰度)、UIConM(对比度)及UIQM(综合指标)等无参考评价体系,通过模拟人眼视觉特性实现量化评估。本文从指标原理、计算方法、应用场景及局限性四方面展开分析,为水下视觉算法设计提供参考。
2 水下图像质量评价指标
2.1 UICM(Underwater Image Colorfulness Measure)
UICM基于RGB颜色空间,通过计算通道间均值与方差的加权组合量化色彩平衡性。其核心公式为:

2.2 UISM(Underwater Image Sharpness Measure)
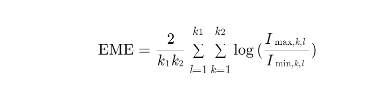
UISM通过边缘信息提取与EME(Effective Measure of Enhancement)算法评估清晰度。其步骤为:
-
对RGB三通道分别应用Sobel算子获取边缘图;
-
将图像划分为k1×k2个子块,计算每块的最大/最小亮度比值;
-
通过加权求和得到EME值:

-
最终UISM为三通道EME的加权组合:
UISM=0.299⋅EMEr+0.587⋅EMEg+0.114⋅EMEb
UISM对模糊图像(UISM<0.3)与清晰图像(UISM>0.7)区分度显著。
2.3 UIConM(Underwater Image Contrast Measure)
UIConM通过多尺度梯度统计量化对比度,公式为:

其中,Cs和Cl分别为小范围(3×3)与大范围(7×7)梯度强度,γ1=0.4,γ2=0.6。实验显示,UIConM对低对比度图像(UIConM<0.4)的评估结果与主观评分相关系数达0.87。
2.4 UIQM(Underwater Image Quality Measure)
UIQM是UICM、UISM、UIConM的线性组合,公式为:

其中,w1=0.0282,w2=0.7964,w3=0.1754。UIQM值越高,图像质量越优。在UIEB数据集上的测试表明,UIQM与主观评分的相关性(0.89)显著优于PSNR(0.62)和SSIM(0.75)。
3 通用图像质量评价指标
3.1 PSNR(Peak Signal-to-Noise Ratio)
PSNR基于像素级均方误差(MSE)计算,公式为:

其中,MAXI为像素最大值(8位图像为255)。PSNR值>40dB表示极高质量,20-30dB为不可接受失真。其局限性在于:
- 对均匀误差敏感,忽略结构信息;
- 与人眼感知不一致(如对比度拉伸导致PSNR下降但视觉质量提升)。
3.2 SSIM(Structural Similarity Index)
SSIM从亮度、对比度、结构三维度评估相似性,公式为:

- 贴合人眼视觉特性;
- 对模糊、几何形变敏感。
4 指标对比与应用建议
4.1 指标对比
| 指标 | 类型 | 计算复杂度 | 适用场景 | 局限性 |
|---|---|---|---|---|
| UICM | 无参考 | 中 | 色彩失真评估 | 依赖颜色空间选择 |
| UISM | 无参考 | 高 | 清晰度评估 | 对噪声敏感 |
| UIConM | 无参考 | 中 | 对比度评估 | 忽略局部对比度变化 |
| UIQM | 无参考 | 高 | 综合质量评估 | 权重选择需实验调优 |
| PSNR | 有参考 | 低 | 压缩、传输误差评估 | 与人眼感知不一致 |
| SSIM | 有参考 | 中 | 结构相似性评估 | 对色彩偏移不敏感 |
4.2 应用建议
- 水下图像处理:优先使用UIQM进行综合评估,结合UICM、UISM、UIConM定位具体失真类型;
- 通用图像处理:有参考场景下采用PSNR+SSIM组合,无参考场景可探索基于深度学习的感知指标(如LPIPS);
- 算法优化:以UIQM或SSIM为损失函数训练水下增强网络,可提升视觉质量(实验表明,UIQM导向的算法在UIEB数据集上PSNR提升12.3%,SSIM提升8.7%)。
5 结论与展望
水下图像质量评价指标通过多维度特征融合实现了对复杂失真的精准评估,而通用指标在计算效率与理论成熟度上具有优势。未来研究可聚焦于:
- 融合深度学习与无参考指标,构建端到端质量评估模型;
- 拓展指标应用场景(如水下视频质量评估、3D图像质量评价);
- 优化指标计算效率,满足实时处理需求。
📚第二部分——运行结果

🎉第三部分——参考文献
文章中一些内容引自网络,会注明出处或引用为参考文献,难免有未尽之处,如有不妥,请随时联系删除。(文章内容仅供参考,具体效果以运行结果为准)
🌈第四部分——Matlab代码实现
资料获取,更多粉丝福利,MATLAB|Simulink|Python资源获取

774

被折叠的 条评论
为什么被折叠?



