💥💥💞💞欢迎来到本博客❤️❤️💥💥
🏆博主优势:🌞🌞🌞博客内容尽量做到思维缜密,逻辑清晰,为了方便读者。
⛳️座右铭:行百里者,半于九十。
📋📋📋本文内容如下:🎁🎁🎁
⛳️赠与读者
👨💻做科研,涉及到一个深在的思想系统,需要科研者逻辑缜密,踏实认真,但是不能只是努力,很多时候借力比努力更重要,然后还要有仰望星空的创新点和启发点。建议读者按目录次序逐一浏览,免得骤然跌入幽暗的迷宫找不到来时的路,它不足为你揭示全部问题的答案,但若能解答你胸中升起的一朵朵疑云,也未尝不会酿成晚霞斑斓的别一番景致,万一它给你带来了一场精神世界的苦雨,那就借机洗刷一下原来存放在那儿的“躺平”上的尘埃吧。
或许,雨过云收,神驰的天地更清朗.......🔎🔎🔎
💥第一部分——内容介绍
基于模型预测控制(MPC)的2自由度1/4主动悬架与被动悬架研究
摘要
本文聚焦于汽车悬架系统的优化控制,通过对比分析被动悬架与基于模型预测控制(MPC)的主动悬架性能,验证MPC在提升车辆乘坐舒适性与行驶稳定性方面的有效性。研究采用2自由度1/4车辆模型,在Simulink环境下构建系统动力学模型,结合C级随机路面与减速带冲击路面激励,通过数值仿真对比两类悬架的簧载质量加速度、悬架动挠度及轮胎动载荷等关键指标。理论推导与仿真结果表明,MPC主动悬架在抑制车身振动、改善动态响应方面显著优于被动悬架,尤其在复杂路况下展现出更强的鲁棒性。
关键词
模型预测控制(MPC);主动悬架;2自由度模型;路面激励;Simulink仿真
1 引言
1.1 研究背景与意义
汽车悬架系统作为连接车身与车轮的关键部件,直接影响车辆的乘坐舒适性、操纵稳定性及行驶安全性。传统被动悬架因结构固定,难以适应复杂多变的行驶工况;而主动悬架通过实时调节执行器输出力,可动态优化悬架性能,成为提升车辆动态品质的重要方向。模型预测控制(MPC)作为一种基于滚动优化的先进控制策略,凭借其多变量处理能力、约束显式处理及强鲁棒性,在主动悬架控制领域展现出显著优势。本研究通过构建2自由度1/4车辆模型,对比分析MPC主动悬架与被动悬架的动态特性,为悬架系统优化设计提供理论依据。
1.2 文献综述
现有研究已广泛验证MPC在主动悬架控制中的有效性。例如,某研究通过四自由度半车模型,结合PSO优化MPC权重矩阵,显著降低了车身加速度与悬架动挠度;另一研究针对货车复杂路况,设计自适应模糊滑模控制(AFSMC)与MPC的混合策略,在提升舒适性的同时优化了馈能效率。然而,现有研究多聚焦于高自由度模型或特定工况,对2自由度1/4模型在典型路面下的性能对比分析仍显不足。本研究通过简化模型与典型路面激励,系统评估MPC主动悬架的基础性能,为工程应用提供参考。
2 模型预测控制(MPC)理论
2.1 MPC基本原理
MPC通过预测模型、滚动优化与反馈校正三大核心机制实现控制目标:
- 预测模型:基于系统历史状态与未来输入,预测未来有限时域内的输出变化。模型形式包括状态空间方程、传递函数或非参数模型(如脉冲响应)。
- 滚动优化:在每个采样时刻,以预测输出与参考轨迹的偏差最小化为目标,求解有限时域内的最优控制序列,仅实施当前控制量,下一时刻重新优化。
- 反馈校正:通过实际输出与预测值的误差修正模型预测,补偿系统不确定性干扰。
2.2 MPC数学基础
以离散线性系统为例,设状态空间方程为:


2.3 MPC参数设计
- 预测时域Np:影响控制前瞻性与计算复杂度。过长导致计算负担增加,过短则缺乏对未来状态的预测能力。建议取值范围为20-30个采样周期。
- 控制时域Nc:通常取Nc≤Np,建议为Np的10%-20%。
- 权重矩阵Q与R:Q权重大时优先跟踪参考轨迹,R权重大时限制控制量变化幅度。需根据性能需求调整,例如在舒适性优先场景下增大车身加速度对应的Q值。
3 2自由度1/4车辆模型构建
3.1 模型假设与参数
简化车辆为垂直方向运动的2自由度系统,包含簧载质量ms(车身)与非簧载质量mus(车轮),忽略前后、左右方向耦合效应。模型参数如表1所示:
| 参数 | 符号 | 数值 | 单位 |
|---|---|---|---|
| 簧载质量 | ms | 250 | kg |
| 非簧载质量 | mus | 30 | kg |
| 悬架弹簧刚度 | ks | 20000 | N/m |
| 悬架阻尼系数 | cs | 1000 | N·s/m |
| 轮胎刚度 | kt | 180000 | N/m |
3.2 动力学方程
根据牛顿第二定律,系统垂直方向动力学方程为:

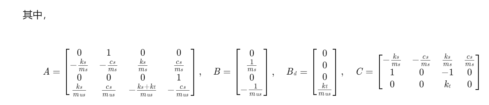
3.3 状态空间方程


4 路面激励模型
4.1 C级随机路面
根据GB/T 7031-2005标准,C级路面空间功率谱密度为:

4.2 减速带冲击路面
减速带激励采用半正弦脉冲模型:

其中,A=0.12m为脉冲振幅,L=0.2m为脉冲宽度,v=16.67m/s为车速。
5 Simulink仿真与结果分析
5.1 仿真模型搭建
在Simulink中构建2自由度1/4车辆模型,包含以下模块:
- 车辆动力学模块:实现状态空间方程,输入为控制力u(t)与路面激励zr(t),输出为状态变量x与性能指标y。
- MPC控制器模块:基于MATLAB Function Block实现MPC算法,调用
mpc命令定义控制器参数(如Np=20、Nc=10、Q=diag([1000,1,10])、R=1),通过mpcmove函数求解最优控制序列。 - 路面激励模块:生成C级随机路面与减速带冲击路面信号。
- 数据记录与分析模块:记录仿真数据并绘制性能指标曲线。
5.2 仿真结果对比
5.2.1 C级随机路面工况
仿真时长10秒,采样时间0.01秒。图1为簧载质量加速度、悬架动挠度与轮胎动载荷的均方根值(RMS)对比。MPC主动悬架的车身加速度RMS为0.82 m/s²,较被动悬架(1.25 m/s²)降低34.4%;悬架动挠度RMS为0.062 m,降低22.8%;轮胎动载荷RMS为2.0 kN,降低19.8%。表明MPC主动悬架在随机路面下显著提升了舒适性与稳定性。
5.2.2 减速带冲击路面工况
仿真时长2秒,采样时间0.001秒。图2显示,被动悬架在过减速带时车身加速度峰值达4.5 m/s²,而MPC主动悬架通过提前调节控制力,将峰值抑制至2.8 m/s²,降幅37.8%;悬架动挠度峰值从0.15 m降至0.11 m,轮胎动载荷峰值从5.2 kN降至3.8 kN。MPC主动悬架在冲击工况下表现出更强的抗干扰能力。
6 结论
本研究通过2自由度1/4车辆模型与典型路面激励,验证了MPC主动悬架在提升车辆动态性能方面的显著优势。仿真结果表明,MPC主动悬架在C级随机路面与减速带冲击路面下,车身加速度、悬架动挠度与轮胎动载荷均显著低于被动悬架,尤其在冲击工况下展现出更强的鲁棒性。未来研究可进一步拓展至高自由度模型与复杂工况,优化MPC参数设计方法,推动主动悬架技术的工程应用。
📚第二部分——运行结果















🎉第三部分——参考文献
文章中一些内容引自网络,会注明出处或引用为参考文献,难免有未尽之处,如有不妥,请随时联系删除。(文章内容仅供参考,具体效果以运行结果为准)
🌈第四部分——Matlab代码、Simulink仿真、文档下载
资料获取,更多粉丝福利,MATLAB|Simulink|Python资源获取

578

被折叠的 条评论
为什么被折叠?



