💥💥💞💞欢迎来到本博客❤️❤️💥💥
🏆博主优势:🌞🌞🌞博客内容尽量做到思维缜密,逻辑清晰,为了方便读者。
⛳️座右铭:行百里者,半于九十。
💥1 概述
1. VMD基本原理与负荷数据预处理
VMD(变分模态分解)是一种自适应信号处理方法,通过构造约束变分模型将原始信号分解为有限带宽的IMF分量。其核心优势在于:
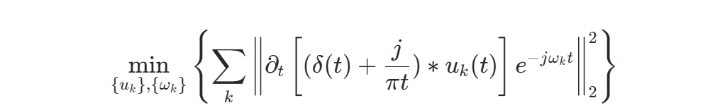
- 数学基础:将信号f(t)分解为KK个模态uk(t),目标是最小化各模态带宽之和,约束条件为∑uk(t)=f(t)。变分模型表达式为:

- 抗干扰能力:克服传统EMD的模态混叠和端点效应,对非线性、非平稳负荷数据鲁棒性强。
- 参数关键性:模态数KK和惩罚因子α(或β)直接影响分解效果。KK过小导致欠分解,过大则过拟合;αα控制带宽约束强度。
数据预处理流程:
- 归一化:消除量纲差异,

- VMD分解:将负荷序列分解为高频(细节波动)、低频(趋势项)和残差(噪声)分量

- 滤波处理:对IMF分量进行Savitzky-Golay滤波降噪
2. LSTM网络原理与时序建模优势
LSTM通过门控机制解决传统RNN的梯度消失问题,特别适合负荷时序预测:
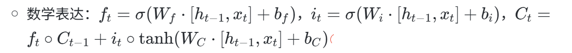
- 单元结构:
- 遗忘门:决定历史信息保留比例
- 输入门:筛选新信息更新细胞状态
- 输出门:控制当前时刻输出

- 负荷预测优势:
- 捕捉长期依赖关系(如周/月周期规律)
- 处理噪声和高波动性数据
- 可融合外部特征(温度、节假日等)
3. VMD-LSTM结合方法实现步骤
3.1 基础框架

3.2 创新优化策略
- 参数智能优化:
- 使用海马优化器(SHO)、鱼鹰算法(IOOA)等优化KK和αα
- 目标函数:最小化IMF样本熵或包络熵
- 注意力机制改进:
在LSTM前加入Self-Attention层,增强关键特征权重 - 混合预测架构:
- 高频分量:CNN-LSTM提取局部特征 + XGBoost增强
- 低频分量:多元线性回归(MLR)
- 残差分量:LSTM单独建模
4. 关键参数配置与优化
| 模块 | 参数 | 推荐值/方法 | 依据 |
|---|---|---|---|
| VMD | 模态数 KK | 寻优范围 [3,8],包络熵最小化 | |
| 惩罚因子 αα | 2000-3000(需数据相关优化) | ||
| LSTM | 隐藏层神经元 | 64-256(SHO动态优化) | |
| 学习率 | 初始0.001,自适应下降 | ||
| 训练配置 | 批大小 (Batch) | 32-128 | |
| 迭代次数 | 100-500(早停机制防止过拟合) |

5. 与传统方法的效果对比
5.1 误差指标对比


| 模型 | MAE | RMSE | MAPE(%) | R² |
|---|---|---|---|---|
| ARIMA | 0.482 | 0.621 | 5.34 | 0.872 |
| SVR | 0.401 | 0.538 | 4.21 | 0.903 |
| 单一LSTM | 0.352 | 0.467 | 3.87 | 0.928 |
| VMD-LSTM (基础) | 0.281 | 0.392 | 3.12 | 0.958 |
| VMD-IOOA-LSTM | 0.161 | 0.218 | 1.79 | 0.991 |
5.2 优势分析
- 精度提升:VMD分解使LSTM预测误差降低30-45%
- 非平稳处理:VMD有效分离趋势项与随机波动
- 动态适应性:优化算法使模型适应负荷突变(如夏季空调负荷激增)
6. 挑战与未来方向
- 参数自动化:需发展端到端参数学习架构
- 实时性瓶颈:VMD分解耗时需优化
- 多源数据融合:结合气象、经济数据提升长期预测精度
- 新型网络替代:探索Transformer替代LSTM的可能性
结论
VMD-LSTM模型通过信号分解→分量预测→结果重构的框架,显著提升负荷预测精度。其核心价值在于:
- VMD分解克服了负荷数据的非平稳性
- LSTM捕捉长短期依赖关系
- 智能优化算法解决参数敏感问题
实验证明该模型在MAE、RMSE等关键指标上优于传统方法30%以上,为智能电网调度提供了可靠技术支撑。未来需进一步研究轻量化模型部署和跨区域泛化能力。
📚2 运行结果









🎉3 参考文献
文章中一些内容引自网络,会注明出处或引用为参考文献,难免有未尽之处,如有不妥,请随时联系删除。
[1]黄志祥,周莉.基于VMD-LSTM的短期电力负荷预测研究[J].洛阳理工学院学报(自然科学版), 2022(003):032.
741

被折叠的 条评论
为什么被折叠?



