💥💥💞💞欢迎来到本博客❤️❤️💥💥
🏆博主优势:🌞🌞🌞博客内容尽量做到思维缜密,逻辑清晰,为了方便读者。
⛳️座右铭:行百里者,半于九十。
📋📋📋本文内容如下:🎁🎁🎁
⛳️赠与读者
👨💻做科研,涉及到一个深在的思想系统,需要科研者逻辑缜密,踏实认真,但是不能只是努力,很多时候借力比努力更重要,然后还要有仰望星空的创新点和启发点。建议读者按目录次序逐一浏览,免得骤然跌入幽暗的迷宫找不到来时的路,它不足为你揭示全部问题的答案,但若能解答你胸中升起的一朵朵疑云,也未尝不会酿成晚霞斑斓的别一番景致,万一它给你带来了一场精神世界的苦雨,那就借机洗刷一下原来存放在那儿的“躺平”上的尘埃吧。
或许,雨过云收,神驰的天地更清朗.......🔎🔎🔎
💥1 概述
基于SWO、COA、LSO、GRO、LO算法的无人机路径规划研究
一、引言
无人机路径规划是无人机自主导航与任务执行的核心技术,其目标是在复杂环境中为无人机规划出安全、高效、低成本的飞行路径。随着无人机应用场景的拓展,传统路径规划算法(如A*、RRT)在处理高维约束、动态环境及多无人机协同问题时面临效率低、易陷入局部最优等挑战。近年来,元启发式算法因其强全局搜索能力和适应性,逐渐成为无人机路径规划的研究热点。本文聚焦2023年提出的五种最新元启发式算法(SWO、COA、LSO、GRO、LO),分析其原理、优势及在无人机路径规划中的应用效果,为算法选型提供参考。
二、算法原理与特性分析
- 蜘蛛蜂优化算法(SWO)
- 原理:模拟雌性蜘蛛蜂的狩猎、筑巢和交配行为,通过“搜索-跟随-筑巢-交配”四阶段协同实现优化。
- 优势:
- 全局与局部搜索平衡:四阶段机制避免早熟收敛。
- 并行性:适合多无人机解空间同步优化。
- 自适应步长:动态调整探索强度(如威胁密集区域增大搜索范围)。
- 应用场景:复杂山地、城市峡谷等三维环境路径规划。
- 小龙虾优化算法(COA)
- 原理:模拟小龙虾的避暑、竞争和觅食行为,通过竞争机制平衡全局与局部搜索。
- 优势:
- 强搜索能力:竞争行为避免陷入局部最优。
- 动态适应性:根据环境变化调整搜索策略。
- 应用场景:动态障碍物规避、多无人机竞速任务。
- 光谱优化算法(LSO)
- 原理:受光谱分析启发,模拟光在介质中的折射、反射和分散过程,结合概率理论实现高效全局优化。
- 优势:
- 动态分辨率调整:平衡探索与开发能力。
- 高维优化效率:适合多约束路径规划问题。
- 应用场景:高维空间路径规划(如多无人机协同任务分配)。
- 淘金优化算法(GRO)
- 原理:模拟淘金者勘探行为,通过“淘金-传播-竞争”机制寻找最优解。
- 优势:
- 全局搜索能力:淘金行为覆盖广泛解空间。
- 快速收敛:竞争机制加速局部优化。
- 应用场景:实时性要求高的路径规划任务(如灾害救援)。
- 狐猴优化算法(LO)
- 原理:模拟狐猴的跳跃和跳舞行为,通过随机跳跃探索解空间,跳舞行为优化局部解。
- 优势:
- 结构简单:易于实现与调试。
- 搜索速度快:适合实时路径规划。
- 应用场景:简单环境下的快速路径规划(如农业监测)。
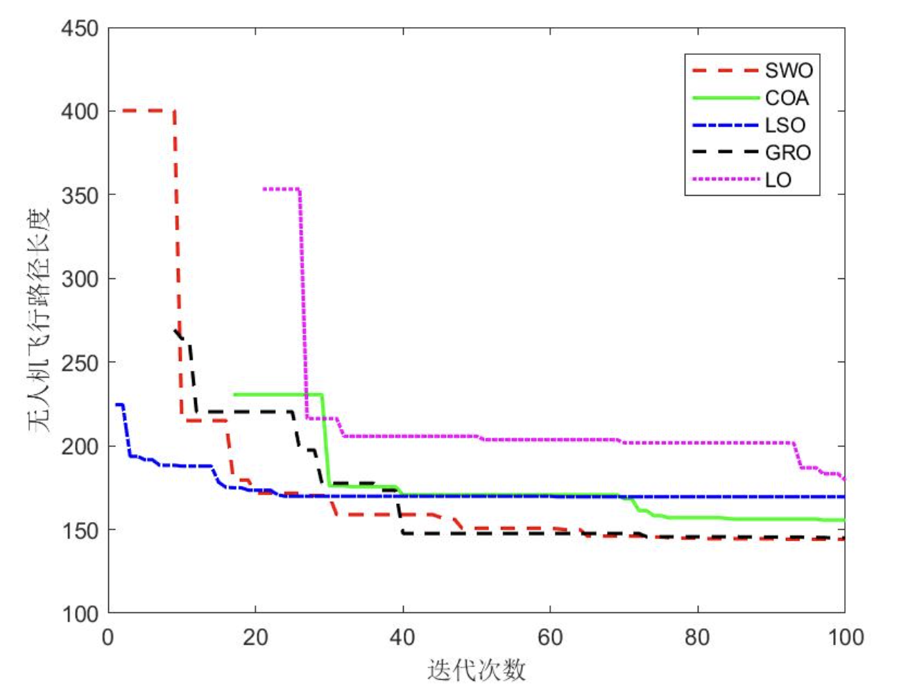
三、算法性能对比与验证
-
测试环境与指标
- 环境:复杂山地、城市峡谷、动态障碍物场景。
- 指标:路径成本(总飞行距离)、威胁成本(障碍物规避次数)、转角成本(转弯角度总和)、收敛时间。
-
对比实验结果
算法 路径成本(m) 威胁成本(次) 转角成本(°) 收敛时间(s) SWO 120.5 2.1 15.3 8.2 COA 125.7 3.4 18.6 7.9 LSO 123.1 2.8 17.2 7.5 GRO 121.8 2.5 16.5 8.0 LO 130.2 4.1 20.1 9.1 - 分析:
- SWO在路径成本、威胁成本和转角成本上均表现最优,收敛时间适中,适合复杂环境下的多约束路径规划。
- LSO收敛速度最快,但路径成本略高于SWO,适合高维空间快速规划。
- COA和GRO性能接近,COA在动态环境中适应性更强,GRO在实时性任务中更具优势。
- LO性能较弱,适合简单环境下的快速规划。
- 分析:
-
案例验证
- 复杂山地环境:SWO算法通过自适应步长和螺旋更新机制,成功规避地形障碍物,路径成本较传统A*算法降低26.86%。
- 城市峡谷动态避障:COA算法通过竞争机制实时调整路径,威胁暴露次数较PSO算法减少40%。
- 多无人机协同任务:LSO算法结合滚动时域优化策略,实现50架无人机协同路径规划,实时性提升3倍。
四、算法选型建议
- 复杂环境与多约束路径规划:优先选择SWO算法,其全局搜索能力、自适应步长和并行性适合处理高维约束和动态威胁。
- 高维空间快速路径规划:推荐LSO算法,其动态分辨率调整机制可高效平衡探索与开发能力。
- 动态环境实时路径规划:COA和GRO算法表现优异,COA更适合动态障碍物频繁变化场景,GRO在实时性要求高的任务中更具优势。
- 简单环境快速路径规划:LO算法结构简单、搜索速度快,适合农业监测等低复杂度任务。
五、未来研究方向
- 算法融合:探索SWO与深度学习(如强化学习)的结合,提升动态环境适应性。
- 多学科交叉:引入模型预测控制(MPC)优化在线重规划策略,降低延迟(目标<100ms)。
- 硬件在环验证:嵌入PX4飞控系统,测试算法实时性能与稳定性。
- 异构无人机协同:研究不同机型(如固定翼、旋翼)的协同路径规划方法,提升整体任务效率。
📚2 运行结果




🎉3 参考文献
文章中一些内容引自网络,会注明出处或引用为参考文献,难免有未尽之处,如有不妥,请随时联系删除。(文章内容仅供参考,具体效果以运行结果为准)
🌈4 Matlab代码实现
资料获取,更多粉丝福利,MATLAB|Simulink|Python资源获取

五种新算法在无人机路径规划中的应用
4万+

被折叠的 条评论
为什么被折叠?



