💥💥💞💞欢迎来到本博客❤️❤️💥💥
🏆博主优势:🌞🌞🌞博客内容尽量做到思维缜密,逻辑清晰,为了方便读者。
⛳️座右铭:行百里者,半于九十。
💥1 概述
三相PWM整流器有限集模型预测电流控制Simulink仿真模型.
在这个模型中,我们将使用Simulink来建立一个三相PWM整流器的仿真模型,该模型可以预测电流并进行控制。整流器的交流侧为三相对称电压,电压为220V,频率为50Hz。直流侧的电压为760V,并且可以进行调节。为了简化模型,我们假设电感的标称值为0.01H,如果不是,请将其设置为该值。
首先,我们需要建立整流器的电路模型。在Simulink中,我们可以使用电路元件库来构建电路模型。从电源库中选择三相交流电压源,并将其连接到整流器的输入端。接下来,选择三相桥式整流器元件,并将其连接到交流电压源。然后,连接一个直流电压源到整流器的输出端,该电压源的电压设置为760V。最后,连接一个负载到直流电压源的输出端。
为了实现电流控制,我们需要在Simulink中添加一个控制器。我们可以使用matlab-function模块来实现模型预测模块。在matlab-function模块中,我们可以编写一个MATLAB函数来预测电流并进行控制。该函数将接收输入信号(交流电压)并输出控制信号(PWM信号),以控制整流器的输出电流。
在模型预测模块中,我们需要考虑电感的值。如果电感的标称值不是0.01H,请在模型中将其设置为该值。这可以通过在MATLAB函数中添加一个if语句来实现。例如,我们可以使用以下代码来检查电感的值并设置为标称值:
if L ~= 0.01
L = 0.01;
end
在模型预测模块中,我们还需要考虑交流电压的频率和幅值。根据输入信号的频率和幅值,我们可以计算出PWM信号的占空比,并将其作为控制信号输出。
完成以上步骤后,我们可以进行Simulink仿真来验证整流器的电流控制性能。通过改变直流电压源的电压,我们可以观察到整流器输出电流的变化情况。通过调整控制器的参数,我们可以优化电流控制性能,并使其满足设计要求。
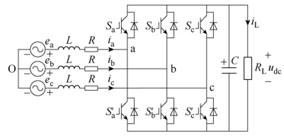
1. 三相PWM整流器基本原理与拓扑结构
三相PWM整流器是一种高效电能转换装置,通过脉宽调制技术实现交流到直流的转换,同时实现单位功率因数运行。
1.1 拓扑结构
-
核心组件:三相桥式电路(6个开关管,如IGBT/MOSFET)、交流侧滤波电感(LL)、直流侧滤波电容(CC)及负载(RLRL)。
- 开关管控制交流侧电压波形,电感抑制电流谐波,电容稳定直流电压。


- 开关管控制交流侧电压波形,电感抑制电流谐波,电容稳定直流电压。
-
典型拓扑(如图1所示):
三相电源 → L/R滤波 → 三相桥臂(开关管+反并联二极管) → C滤波 → 直流负载
1.2 工作原理
-
通过PWM调制生成双极性SPWM脉冲序列,高频开关下电感滤除谐波,使网侧电流与电压同相位,实现单位功率因数整流。
-
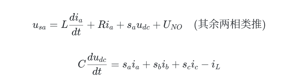
数学模型(abc坐标系):

经Park变换到dq坐标系实现解耦控制。
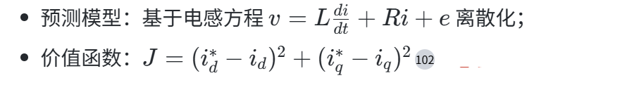
2. 有限集模型预测电流控制(FCS-MPC)算法原理
2.1 核心思想
- 离散优化:利用电力电子器件的有限开关状态(三相整流器共8种电压矢量),预测下一时刻电流响应,通过价值函数评估最优开关状态。

- 控制流程:
2.2 算法优势与挑战
- 优势:
- 无需调制环节,直接输出开关信号;
- 天然处理多目标约束(如电流谐波、开关损耗)。
- 挑战:
- 计算量大:需遍历8种状态,实时性要求高;
- 稳态性能受限:离散矢量导致电流纹波较大。
2.3 改进策略
- 扩展控制集:通过离散空间矢量调制(DSVM)将电压矢量增至25个,改善稳态性能;
- 多核并行计算:拆分预测、优化步骤至多核处理器,降低时延。
3. Simulink仿真建模实现
3.1 建模工具链
- SimPowerSystems库:提供电力电子元件(IGBT、二极管)、电源、RLC负载等物理模型;
- 控制算法实现:
- 使用MATLAB Function/Embedded MATLAB模块编写FCS-MPC算法;
- 结合Stateflow管理状态切换。
3.2 典型建模流程
- 拓扑搭建:
- 从SimPowerSystems拖拽:三相电压源、IGBT桥臂、LC滤波器、电阻负载;
- 设置参数:开关频率(如10kHz)、死区时间(1μs)、电感(5mH)、电容(2000μF)。
- 控制系统设计:
- 参考生成:外环PI控制直流电压,输出dq轴电流参考值 id∗,iq∗id∗,iq∗;
- FCS-MPC核心:
- 坐标变换(abc→dq);

- 延时补偿:
- 采用两步预测(k+2k+2时刻)抵消计算延时。
3.3 关键仿真设置
| 参数 | 典型值 | 说明 |
|---|---|---|
| 交流电压 | 220V (相电压) | 三相平衡源 |
| 直流电压参考 | 600V | 外环设定值 |
| 采样频率 | 20kHz (FCS-MPC) | 传统算法需高频采样 |
| 预测步长 | 1步 | 单步预测简化计算 |
4. 仿真案例研究与性能对比
4.1 案例1:传统FCS-MPC vs 改进PT-MPC
-
条件:负载突变(13Ω→26Ω),采样频率10kHz(PT-MPC) vs 20kHz(FCS-MPC)。
-
结果:
指标 FCS-MPC PT-MPC 改善率 有功功率波动 120W 40.7W 66%↓ 无功功率波动 15var 6.5var 57%↓ 电流THD 5.2% 2.8% 46%↓
4.2 案例2:扩展控制集FCS(IV)-MPC
- 优势:
- 采样频率降至5kHz时,电流谐波仍低于传统FCS-MPC(10kHz);
- 动态响应时间<2ms(负载切换)。
5. 结论与展望
- FCS-MPC在Simulink中的价值:
- 提供快速原型验证平台,支持从模型到代码生成(如C/HDL代码);
- 通过参数优化(如权重系数、预测步长)平衡动态响应与稳态精度。
- 未来方向:
- 算法加速:结合AI优化预测过程(如粒子群算法);
- 硬件集成:利用Simulink Coder部署至DSP/FPGA。
📚2 运行结果
2.1 模型


2.2 直流侧电压输出波形

2.3 交流侧电压、电流

2.4 脉冲信号

🎉3 参考文献
文章中一些内容引自网络,会注明出处或引用为参考文献,难免有未尽之处,如有不妥,请随时联系删除。
[1]王从刚,何凤有,曹晓冬.三相电压型PWM整流器有限开关序列模型预测电流控制[J].电工技术学报, 2013, 28(12):9.DOI:10.3969/j.issn.1000-6753.2013.12.025.
[2]章勤.PWM整流器模型预测电流控制和LCL滤波技术研究[D].北方工业大学,2015.
[3]常峰,雷雁雄,刘源俊,等.改进型有限集模型预测控制在三相电压型PWM整流器中的应用[J].科技广场, 2017(7):10.DOI:CNKI:SUN:KJIG.0.2017-07-016.
[4]温泉,朱凌,杜新.基于电流预测控制的三相PWM整流器研究[J].电测与仪表, 2013, 50(12):5.DOI:CNKI:SUN:DCYQ.0.2013-12-020.

986

被折叠的 条评论
为什么被折叠?



