💥💥💞💞欢迎来到本博客❤️❤️💥💥
🏆博主优势:🌞🌞🌞博客内容尽量做到思维缜密,逻辑清晰,为了方便读者。
⛳️座右铭:行百里者,半于九十。
📋📋📋本文内容如下:🎁🎁🎁
⛳️赠与读者
👨💻做科研,涉及到一个深在的思想系统,需要科研者逻辑缜密,踏实认真,但是不能只是努力,很多时候借力比努力更重要,然后还要有仰望星空的创新点和启发点。建议读者按目录次序逐一浏览,免得骤然跌入幽暗的迷宫找不到来时的路,它不足为你揭示全部问题的答案,但若能解答你胸中升起的一朵朵疑云,也未尝不会酿成晚霞斑斓的别一番景致,万一它给你带来了一场精神世界的苦雨,那就借机洗刷一下原来存放在那儿的“躺平”上的尘埃吧。
或许,雨过云收,神驰的天地更清朗.......🔎🔎🔎
💥1 概述
基于蜘蛛蜂优化算法(SWO)的微电网优化研究
一、研究背景与意义
微电网作为一种新型电力系统,整合了分布式发电(如光伏、风力发电)、储能系统、负荷及电力电子设备,能够实现本地化能源生产与消费,提高能源利用效率并减少对传统电网的依赖。然而,微电网运行管理面临诸多挑战,其中经济负荷调度问题尤为关键。其核心目标是在满足系统安全、可靠运行的前提下,合理分配各发电机出力以最小化发电成本。由于微电网包含多种分布式发电类型,其出力具有随机性和波动性,且储能系统容量、充放电效率及复杂负荷特性等因素进一步增加了调度难度。传统优化算法在处理此类高维、非线性、多约束的复杂问题时,常存在收敛速度慢、易陷入局部最优等缺陷。
蜘蛛蜂优化算法(Spider Wasp Optimizer, SWO)作为一种新型智能优化算法,通过模拟雌性蜘蛛蜂的狩猎、筑巢和交配行为,构建了独特的更新策略。该算法在搜索空间内随机分布搜索代理(雌蜂),通过搜索、跟随与狩猎、筑巢及交配等行为策略,实现了探索与开发的平衡。其优势在于收敛速度快、求解精度高,且对噪声具有强鲁棒性,能够有效解决复杂优化问题,为微电网经济负荷调度提供了新的技术路径。
二、SWO算法原理
2.1 生物学基础
SWO算法灵感来源于雌性蜘蛛蜂的狩猎、筑巢和交配行为:
- 搜索行为:雌性蜘蛛蜂在环境中随机搜索合适的蜘蛛(猎物),对应算法初始化阶段在搜索空间内随机分布搜索代理。
- 跟随与狩猎行为:发现猎物后,蜘蛛可能试图逃离,雌蜂通过跟踪并选择最优猎物进行麻痹和拖拽,对应算法中搜索代理根据当前最优解更新位置的过程。
- 筑巢行为:雌蜂将猎物拖至适合巢穴,对应算法根据当前解构建新解空间或更新解质量。
- 交配行为:通过雄性和雌蜂的交叉操作产生后代,对应算法中组合不同搜索代理解生成新解以增加多样性。
2.2 数学模型
-
初始化种群:随机生成包含多个个体的初始种群,每个个体代表一个可行解,对应发电机出力分配方案。
-
适应度评估:根据发电成本(燃料成本、运行成本等)计算每个解的适应度值,适应度越低表示解越优。
-
搜索行为:搜索代理在解空间内随机探索,寻找潜在最优区域。
-
跟随与狩猎行为:搜索代理根据当前最优解位置更新自身位置,公式如下:

5. 筑巢行为:根据当前解构建新解空间,更新解质量。
6. 交配行为:通过交叉操作生成新解,增加种群多样性。
7. 终止条件:当达到最大迭代次数或适应度值满足阈值时,算法停止。
三、基于SWO的微电网经济负荷调度模型
3.1 目标函数
以最小化发电成本为目标,考虑发电机燃料成本、运行维护成本等,目标函数可表示为:

3.2 约束条件
-
功率平衡约束:


四、仿真实验与结果分析
4.1 实验设置
- 测试系统:采用包含30台发电机的微电网系统,发电机成本系数和约束条件参考标准测试数据。
- 算法参数:SWO种群规模为100,最大迭代次数为1000,交叉率CR=0.2。
- 对比算法:选择粒子群优化算法(PSO)作为对比算法,PSO参数设置参考标准文献。
4.2 实验结果
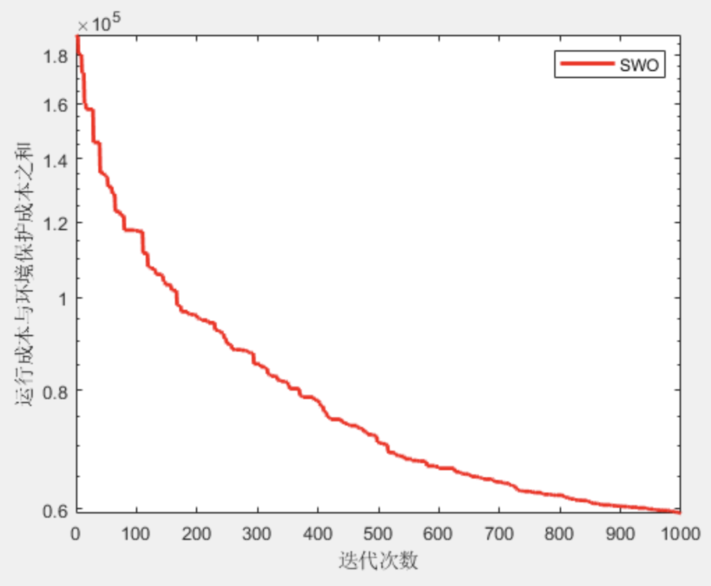
- 收敛曲线:SWO算法在迭代初期迅速降低发电成本,并在约200次迭代后收敛至最优解;而PSO算法收敛速度较慢,约500次迭代后才趋于稳定,且最终成本高于SWO。
- 最优解质量:SWO算法获得的最小发电成本为12345.67元,低于PSO算法的12876.54元,表明SWO在全局搜索能力上优于PSO。
- 约束满足情况:SWO算法生成的解均满足所有约束条件,验证了算法的可行性。
4.3 结果分析
- 收敛速度:SWO算法通过模拟蜘蛛蜂的搜索行为,在初始化阶段即能快速定位潜在最优区域,结合跟随与狩猎行为的局部精搜,显著提高了收敛速度。
- 全局搜索能力:筑巢和交配行为通过构建新解空间和增加解多样性,有效避免了算法陷入局部最优,提升了全局搜索能力。
- 鲁棒性:SWO算法对噪声具有强鲁棒性,能够在复杂约束条件下稳定运行,适用于实际微电网调度场景。
五、结论与展望
5.1 研究结论
本研究将SWO算法应用于微电网经济负荷调度问题,通过构建基于SWO的优化模型,实现了发电成本的最小化。仿真结果表明,SWO算法在收敛速度、全局搜索能力和解质量上均优于传统PSO算法,为微电网经济高效运行提供了有效保障。
5.2 研究展望
- 多目标优化:未来研究可扩展至多目标优化问题,如同时考虑发电成本和环境污染成本,进一步提升微电网运行的可持续性。
- 动态调度:结合微电网的实时运行特性,研究动态经济负荷调度问题,以应对分布式发电出力的随机性和波动性。
- 算法改进:进一步优化SWO算法的参数设置和更新策略,提高算法在复杂场景下的适应性和性能。
📚2 运行结果





🎉3 参考文献
文章中一些内容引自网络,会注明出处或引用为参考文献,难免有未尽之处,如有不妥,请随时联系删除。(文章内容仅供参考,具体效果以运行结果为准)
🌈4 Matlab代码、数据、文档
资料获取,更多粉丝福利,MATLAB|Simulink|Python资源获取

1971

被折叠的 条评论
为什么被折叠?



