![![[Pasted image 20251128041128.png]]](https://i-blog.csdnimg.cn/direct/621484923c1f4c3fa24dc365e9038edb.png)
正交:f=xTAx=x=Qy(Qy)TA(Qy)=yTQTAQy=yTBy,B=QTAQ=Q−1AQ可逆:f=xTAx=x=PyyTPTAPy=yTBy,B=PTAPB与A合同 ⟹ B与A的正负特征值个数相同 \begin{aligned} &\text{正交:}f = \boldsymbol{x}^T\boldsymbol{A}\boldsymbol{x} \xlongequal{\boldsymbol{x}=\boldsymbol{Q}\boldsymbol{y}} (\boldsymbol{Q}\boldsymbol{y})^T\boldsymbol{A}(\boldsymbol{Q}\boldsymbol{y}) = \boldsymbol{y}^T\boldsymbol{Q}^T\boldsymbol{A}\boldsymbol{Q}\boldsymbol{y} = \boldsymbol{y}^T\boldsymbol{B}\boldsymbol{y},\boldsymbol{B} = \boldsymbol{Q}^T\boldsymbol{A}\boldsymbol{Q} = \boldsymbol{Q}^{-1}\boldsymbol{A}\boldsymbol{Q} \\ & \\ &\text{可逆:}f = \boldsymbol{x}^T\boldsymbol{A}\boldsymbol{x} \xlongequal{\boldsymbol{x}=\boldsymbol{P}\boldsymbol{y}} \boldsymbol{y}^T\boldsymbol{P}^T\boldsymbol{A}\boldsymbol{P}\boldsymbol{y} = \boldsymbol{y}^T\boldsymbol{B}\boldsymbol{y},\boldsymbol{B} = \boldsymbol{P}^T\boldsymbol{A}\boldsymbol{P} \\ & \\ &\boldsymbol{B}\text{与}\boldsymbol{A}\text{合同} \implies \boldsymbol{B}\text{与}\boldsymbol{A}\text{的正负特征值个数相同} \end{aligned} 正交:f=xTAxx=Qy(Qy)TA(Qy)=yTQTAQy=yTBy,B=QTAQ=Q−1AQ可逆:f=xTAxx=PyyTPTAPy=yTBy,B=PTAPB与A合同⟹B与A的正负特征值个数相同
解:(1) f的矩阵为(1ααα1ααα1),g的矩阵为(110110004)特征值为 1−α, 1−α, 1+2α,4, 2, 0两个矩阵合同,正负特征值个数相同。1+2α=0 ⟹ α=−12,1−α>0,若 1−α=0 ⟹ α=1,1+2α>0,正特征值个数为1,舍去。故 α=−12 \begin{aligned} &\text{解:(1) } f\text{的矩阵为}\begin{pmatrix} 1 & \alpha & \alpha \\ \alpha & 1 & \alpha \\ \alpha & \alpha & 1 \end{pmatrix},\quad g\text{的矩阵为}\begin{pmatrix} 1 & 1 & 0 \\ 1 & 1 & 0 \\ 0 & 0 & 4\end{pmatrix} \\ & \\ &\text{特征值为 }1-\alpha,\,1-\alpha,\,1+2\alpha,\quad 4,\,2,\,0 \\ & \\ &\text{两个矩阵合同,正负特征值个数相同。} \\ &1+2\alpha=0 \implies \alpha=-\frac{1}{2},\quad 1-\alpha>0, \\ &\text{若 }1-\alpha=0 \implies \alpha=1,\quad 1+2\alpha>0,\text{正特征值个数为1,舍去。} \\ &\text{故 }\alpha=-\frac{1}{2} \end{aligned} 解:(1) f的矩阵为1ααα1ααα1,g的矩阵为110110004特征值为 1−α,1−α,1+2α,4,2,0两个矩阵合同,正负特征值个数相同。1+2α=0⟹α=−21,1−α>0,若 1−α=0⟹α=1,1+2α>0,正特征值个数为1,舍去。故 α=−21
(2) f(x1,x2,x3)=x12+x22+x32−x1x2−x1x3−x2x3=(x1−x22−x32)2+34(x2−x3)2g(y1,y2,y3)=(y1+y2)2+4y32{z1=x1−12x2−12x3z2=32x2−32x3z3=x3(系数矩阵可逆){z1=y1+y2z2=2y3z3=y1(系数矩阵可逆)令 P1=(1−12−12032−32001),P2=(110002101) \begin{aligned} &(2)\ f(x_1, x_2, x_3) = x_1^2 + x_2^2 + x_3^2 - x_1x_2 - x_1x_3 - x_2x_3 \\ &\quad\quad= \left(x_1 - \frac{x_2}{2} - \frac{x_3}{2}\right)^2 + \frac{3}{4}(x_2 - x_3)^2 \\ & \\ &g(y_1, y_2, y_3) = (y_1 + y_2)^2 + 4y_3^2 \\ & \\ &\begin{cases} z_1 = x_1 - \frac{1}{2}x_2 - \frac{1}{2}x_3 \\ z_2 = \frac{\sqrt{3}}{2}x_2 - \frac{\sqrt{3}}{2}x_3 \\ z_3 = x_3 \end{cases} \quad (\text{系数矩阵可逆}) \\ & \\ &\begin{cases} z_1 = y_1 + y_2 \\ z_2 = 2y_3 \\ z_3 = y_1 \end{cases} \quad (\text{系数矩阵可逆}) \\ & \\ &\text{令}\ \boldsymbol{P}_1 = \begin{pmatrix} 1 & -\frac{1}{2} & -\frac{1}{2} \\ 0 & \frac{\sqrt{3}}{2} & -\frac{\sqrt{3}}{2} \\ 0 & 0 & 1 \end{pmatrix}, \quad \boldsymbol{P}_2 = \begin{pmatrix} 1 & 1 & 0 \\ 0 & 0 & 2 \\ 1 & 0 & 1 \end{pmatrix} \end{aligned} (2) f(x1,x2,x3)=x12+x22+x32−x1x2−x1x3−x2x3=(x1−2x2−2x3)2+43(x2−x3)2g(y1,y2,y3)=(y1+y2)2+4y32⎩⎨⎧z1=x1−21x2−21x3z2=23x2−23x3z3=x3(系数矩阵可逆)⎩⎨⎧z1=y1+y2z2=2y3z3=y1(系数矩阵可逆)令 P1=100−21230−21−231,P2=101100021
f=z=P1xz12+z22g=z=P2yz12+z22 \begin{aligned} f &\xlongequal{\boldsymbol{z}=\boldsymbol{P_{1}}\boldsymbol{x}} z_1^2 + z_2^2 \\ g &\xlongequal{\boldsymbol{z}=\boldsymbol{P_{2}}\boldsymbol{y}} z_1^2 + z_2^2 \end{aligned} fgz=P1xz12+z22z=P2yz12+z22
P1x=P2yx=P1−1P2y \begin{aligned} \boldsymbol{P_{1}}\boldsymbol{x} &= \boldsymbol{P_{2}}\boldsymbol{y} \\ \boldsymbol{x} &= \boldsymbol{P_{1}}^{-1}\boldsymbol{P_{2}}\boldsymbol{y} \end{aligned} P1xx=P2y=P1−1P2y
P=P1−1P2(1−12−12100032−32010001001)→(10011310100231001001)P=(11310231001)(110002100)=(21231043100) \begin{aligned} &\boldsymbol{P} = \boldsymbol{P}_1^{-1}\boldsymbol{P}_2 \\ & \\ &\left(\begin{array}{ccc|ccc} 1 & -\frac{1}{2} & -\frac{1}{2} & 1 & 0 & 0 \\ 0 & \frac{\sqrt{3}}{2} & -\frac{\sqrt{3}}{2} & 0 & 1 & 0 \\ 0 & 0 & 1 & 0 & 0 & 1 \end{array}\right) \to \left(\begin{array}{ccc|ccc} 1 & 0 & 0 & 1 & \frac{1}{\sqrt{3}} & 1 \\ 0 & 1 & 0 & 0 & \frac{2}{\sqrt{3}} & 1 \\ 0 & 0 & 1 & 0 & 0 & 1 \end{array}\right) \\ & \\ &\boldsymbol{P} = \begin{pmatrix} 1 & \frac{1}{\sqrt{3}} & 1 \\ 0 & \frac{2}{\sqrt{3}} & 1 \\ 0 & 0 & 1 \end{pmatrix}\begin{pmatrix} 1 & 1 & 0 \\ 0 & 0 & 2 \\ 1 & 0 & 0 \end{pmatrix} = \begin{pmatrix} 2 & 1 & \frac{2}{\sqrt{3}} \\ 1 & 0 & \frac{4}{\sqrt{3}} \\ 1 & 0 & 0 \end{pmatrix} \end{aligned} P=P1−1P2100−21230−21−231100010001→10001000110031320111P=10031320111101100020=21110032340
【小结】①正交变换是相似变换,保持矩阵的特征值;②可逆线性变换是合同变换,保持矩阵的正负特征值的个数,即正负惯性指数。 \begin{aligned} &\text{【小结】①正交变换是相似变换,保持矩阵的特征值;} \\ &\quad\quad ②\text{可逆线性变换是合同变换,保持矩阵的正负特征值的个数,即正负惯性指数。} \end{aligned} 【小结】①正交变换是相似变换,保持矩阵的特征值;②可逆线性变换是合同变换,保持矩阵的正负特征值的个数,即正负惯性指数。
① 正交变换保持特征值的值.(题眼:正交变换)合同变换保持特征值的个数(题眼:可逆变换)② 可逆变换:用配方法.正交变换:正交变换法 \begin{aligned} &①\ \text{正交变换保持特征值的值.(题眼:正交变换)} \\ &\quad \text{合同变换保持特征值的个数(题眼:可逆变换)} \\ & \\ &②\ \text{可逆变换:用配方法.}\quad \text{正交变换:正交变换法} \end{aligned} ① 正交变换保持特征值的值.(题眼:正交变换)合同变换保持特征值的个数(题眼:可逆变换)② 可逆变换:用配方法.正交变换:正交变换法
惯性指数与合同规范型
![![[Pasted image 20251128062854.png]]](https://i-blog.csdnimg.cn/direct/6d7ae3f7518249f1a65dad2d7473c092.png)
解: f=(x1+αx3)2−(x2−2x3)2+(4−α2)x32{z1=x1+0x2+αx3z2= x2−2x3z3= x3(10α01−2001)可逆.f=z12−z22+(4−α2)z324−α2≥0, 即α∈[−2, 2] \begin{aligned} &\text{解: } f = (x_1 + \alpha x_3)^2 - (x_2 - 2x_3)^2 + (4 - \alpha^2)x_3^2\\&\begin{cases} z_1 = x_1 + 0x_2 + \alpha x_3 \\ z_2 = \ \ \ \ \ \ x_2 - 2x_3 \\ z_3 = \ \ \ \ \ \ \ \ \ \ \ \ x_3 \end{cases} \quad \begin{pmatrix} 1 & 0 & \alpha \\ 0 & 1 & -2 \\ 0 & 0 & 1 \end{pmatrix}\text{可逆}. \\& f = z_1^2 - z_2^2 + (4-\alpha^2)z_3^2 \\ &4 - \alpha^2 \geq 0,\ \text{即} \alpha \in [-2,\ 2] \end{aligned} 解: f=(x1+αx3)2−(x2−2x3)2+(4−α2)x32⎩⎨⎧z1=x1+0x2+αx3z2= x2−2x3z3= x3100010α−21可逆.f=z12−z22+(4−α2)z324−α2≥0, 即α∈[−2, 2]
【小结】求惯性指数可以用求特征值或者配方法。 \text{【小结】求惯性指数可以用求特征值或者配方法。} 【小结】求惯性指数可以用求特征值或者配方法。
![![[Pasted image 20251128064931.png]]](https://i-blog.csdnimg.cn/direct/bcce8d7857f240e5918041c0009bb9fa.png)
A12+A212∣A∣=2A122∣A∣=A12∣A∣解:(1) 二次型矩阵为(A11∣A∣A21∣A∣⋯An1∣A∣A12∣A∣A22∣A∣⋯An2∣A∣⋮⋮⋮A1n∣A∣A2n∣A∣⋯Ann∣A∣)=1∣A∣A∗=A−1 \begin{aligned} &\frac{A_{12}+A_{21}}{2|A|} = \frac{2A_{12}}{2|A|} = \frac{A_{12}}{|A|} \\ & \\ &\text{解:(1) } \text{二次型矩阵为} \quad \begin{pmatrix} \frac{A_{11}}{|A|} & \frac{A_{21}}{|A|} & \cdots & \frac{A_{n1}}{|A|} \\ \frac{A_{12}}{|A|} & \frac{A_{22}}{|A|} & \cdots & \frac{A_{n2}}{|A|} \\ \vdots & \vdots & & \vdots \\ \frac{A_{1n}}{|A|} & \frac{A_{2n}}{|A|} & \cdots & \frac{A_{nn}}{|A|} \end{pmatrix} = \frac{1}{|A|}A^* = A^{-1} \end{aligned} 2∣A∣A12+A21=2∣A∣2A12=∣A∣A12解:(1) 二次型矩阵为∣A∣A11∣A∣A12⋮∣A∣A1n∣A∣A21∣A∣A22⋮∣A∣A2n⋯⋯⋯∣A∣An1∣A∣An2⋮∣A∣Ann=∣A∣1A∗=A−1
(2)相同. A的特征值与A−1的特征值同号,则规范形相同. (2)\text{相同. }A\text{的特征值与}A^{-1}\text{的特征值同号,则规范形相同.} (2)相同. A的特征值与A−1的特征值同号,则规范形相同.
![![[Pasted image 20251128071306.png]]](https://i-blog.csdnimg.cn/direct/dfe24bd535bc494b84b53faebb3fb9b7.png)
解: (1) f(x1,x2,x3)=0,可知{x1−x2+x3=0 x2+x3=0x1 +αx3=0∣1−1101110α∣=∣1−1101101α−1∣=α−2,当α≠2时,有唯一解(000) \begin{aligned} &\text{解: (1) } f(x_1, x_2, x_3)=0,\text{可知} \begin{cases} x_1 - x_2 + x_3 = 0 \\ \quad\ \ \ x_2 + x_3 = 0 \\ x_1\quad\ \ \ + \alpha x_3 = 0 \end{cases} \\ & \\ &\begin{vmatrix} 1 & -1 & 1 \\ 0 & 1 & 1 \\ 1 & 0 & \alpha \end{vmatrix} = \begin{vmatrix} 1 & -1 & 1 \\ 0 & 1 & 1 \\ 0 & 1 & \alpha - 1 \end{vmatrix} = \alpha - 2,\text{当}\alpha \neq 2\text{时,有唯一解}\begin{pmatrix} 0 \\ 0 \\ 0 \end{pmatrix} \end{aligned} 解: (1) f(x1,x2,x3)=0,可知⎩⎨⎧x1−x2+x3=0 x2+x3=0x1 +αx3=0101−11011α=100−11111α−1=α−2,当α=2时,有唯一解000
当α=2时,f(x1,x2,x3)=0的通解为 k(−2−11), k∈R \text{当}\alpha=2\text{时,}f(x_1,x_2,x_3)=0\text{的通解为}\ k\begin{pmatrix} -2 \\ -1 \\ 1 \end{pmatrix},\ k\in\mathbb{R} 当α=2时,f(x1,x2,x3)=0的通解为 k−2−11, k∈R
求规范型① 求特征值,找正负.② 作可逆变换将其化简,再找特征值正负. \begin{aligned} &\text{求规范型} \\ &①\ \text{求特征值,找正负.} \\ &②\ \text{作可逆变换将其化简,再找特征值正负.} \end{aligned} 求规范型① 求特征值,找正负.② 作可逆变换将其化简,再找特征值正负.
(2)若α≠2时,令{z1=x1−x2+x3z2= x2+x3z3=x1 +αx3, f=z12+z22+z32则规范形为 f=z12+z22+z32 \begin{aligned} &(2)\text{若}\alpha\neq2\text{时,令}\begin{cases} z_1 = x_1 - x_2 + x_3 \\ z_2 = \quad\ \ x_2 + x_3 \\ z_3 = x_1\quad\ \ \ + \alpha x_3 \end{cases},\ f = z_1^2 + z_2^2 + z_3^2 \\ & \\ &\text{则规范形为}\ f = z_1^2 + z_2^2 + z_3^2 \end{aligned} (2)若α=2时,令⎩⎨⎧z1=x1−x2+x3z2= x2+x3z3=x1 +αx3, f=z12+z22+z32则规范形为 f=z12+z22+z32
法1 若α=2, f=x12+x22+x32−2x1x2+2x1x3−2x2x3+x22+x32+2x2x3+x12+4x32+4x1x3=2x12+2x22+6x32−2x1x2+6x1x3矩阵为 A=(2−13−120306)∣A−λE∣=∣2−λ−13−12−λ0306−λ∣=3⋅(3λ−6)+(6−λ)(λ2−4λ+3)=9λ−18+6λ2−24λ+18−λ3+4λ2−3λ=−λ3+10λ2−18λ=0−λ(λ2−10λ+18)=0λ1=0, λ2与λ3均为正规范型 f=y12+y22 \begin{aligned} &法1\ \text{若}\alpha=2,\ f=x_1^2+x_2^2+x_3^2-2x_1x_2+2x_1x_3-2x_2x_3 \\ &\quad\quad +x_2^2+x_3^2+2x_2x_3+x_1^2+4x_3^2+4x_1x_3 \\ &=2x_1^2+2x_2^2+6x_3^2-2x_1x_2+6x_1x_3 \\ & \\ &\text{矩阵为}\ A=\begin{pmatrix} 2 & -1 & 3 \\ -1 & 2 & 0 \\ 3 & 0 & 6 \end{pmatrix} \\ & \\ &|A-\lambda E|=\begin{vmatrix} 2-\lambda & -1 & 3 \\ -1 & 2-\lambda & 0 \\ 3 & 0 & 6-\lambda \end{vmatrix} \\ &=3\cdot(3\lambda-6)+(6-\lambda)(\lambda^2-4\lambda+3) \\ &=9\lambda-18+6\lambda^2-24\lambda+18-\lambda^3+4\lambda^2-3\lambda \\ &=-\lambda^3+10\lambda^2-18\lambda=0 \\ & \\ &-\lambda(\lambda^2-10\lambda+18)=0 \\ &\lambda_1=0,\ \lambda_2\text{与}\lambda_3\text{均为正} \\ & \\ &\text{规范型}\ f=y_1^2+y_2^2 \end{aligned} 法1 若α=2, f=x12+x22+x32−2x1x2+2x1x3−2x2x3+x22+x32+2x2x3+x12+4x32+4x1x3=2x12+2x22+6x32−2x1x2+6x1x3矩阵为 A=2−13−120306∣A−λE∣=2−λ−13−12−λ0306−λ=3⋅(3λ−6)+(6−λ)(λ2−4λ+3)=9λ−18+6λ2−24λ+18−λ3+4λ2−3λ=−λ3+10λ2−18λ=0−λ(λ2−10λ+18)=0λ1=0, λ2与λ3均为正规范型 f=y12+y22
法2:令{z1=x1−x2+x3z2= x2+x3z3= x3f=z12+z22+(z1+z2)2=2z12+2z22+2z1z2矩阵(210120000)的特征值为3,1,0,规范形为y12+y22 \begin{aligned} &\text{法2:令}\begin{cases} z_1 = x_1 - x_2 + x_3 \\ z_2 = \quad\ \ x_2 + x_3 \\ z_3 = \quad\ \ \quad\ \ x_3 \end{cases} \\ &f = z_1^2 + z_2^2 + (z_1 + z_2)^2 = 2z_1^2 + 2z_2^2 + 2z_1z_2 \\ & \\ &\text{矩阵}\begin{pmatrix} 2 & 1 & 0 \\ 1 & 2 & 0 \\ 0 & 0 & 0 \end{pmatrix}\text{的特征值为}3,1,0, \\ &\text{规范形为}y_1^2 + y_2^2 \end{aligned} 法2:令⎩⎨⎧z1=x1−x2+x3z2= x2+x3z3= x3f=z12+z22+(z1+z2)2=2z12+2z22+2z1z2矩阵210120000的特征值为3,1,0,规范形为y12+y22
【小结】①求规范形实质上是求二次型的惯性指数,所以本题转化为求惯性指数的问题。②计算或者讨论二次型惯性指数的基本思路:(1) 如果能求出特征值,则通过特征值来进行讨论;(2) 如果特征值不容易求出,可以通过配方法得到二次型的一个合同标准形,再进行判断或是讨论;(3) 如果二次型的形式比较特殊(如本题),也可以考虑直接通过非退化的线性变换将二次型化简之后再进行计算或讨论。 \begin{aligned} &\text{【小结】①求规范形实质上是求二次型的惯性指数,所以本题转化为求惯性指数的问题。} \\ &②\text{计算或者讨论二次型惯性指数的基本思路:} \\ &\quad (1)\ \text{如果能求出特征值,则通过特征值来进行讨论;} \\ &\quad (2)\ \text{如果特征值不容易求出,可以通过配方法得到二次型的一个合同标准形,再进行判断或是讨论;} \\ &\quad (3)\ \text{如果二次型的形式比较特殊(如本题),也可以考虑直接通过非退化的线性变换将二次型化简之后再进行计算或讨论。} \end{aligned} 【小结】①求规范形实质上是求二次型的惯性指数,所以本题转化为求惯性指数的问题。②计算或者讨论二次型惯性指数的基本思路:(1) 如果能求出特征值,则通过特征值来进行讨论;(2) 如果特征值不容易求出,可以通过配方法得到二次型的一个合同标准形,再进行判断或是讨论;(3) 如果二次型的形式比较特殊(如本题),也可以考虑直接通过非退化的线性变换将二次型化简之后再进行计算或讨论。
![![[Pasted image 20251128081827.png]]](https://i-blog.csdnimg.cn/direct/dd47ca12f40840e9bd865b4f731e530f.png)
A的特征值为1,1,-1;B的特征值为2,1,-1
正负特征值的个数相同,又均为实对称矩阵,矩阵A与B合同
A+kE的特征值:k+1, k+1, k−1B+kE的特征值:k+2, k+1, k−1(k+1)(k+2)>0 ⟹ k<−2, 或 k>−1 \begin{aligned} &\boldsymbol{A}+k\boldsymbol{E}\text{的特征值:}k+1,\ k+1,\ k-1 \\ &\boldsymbol{B}+k\boldsymbol{E}\text{的特征值:}k+2,\ k+1,\ k-1 \\ & \\ &(k+1)(k+2) > 0 \implies k < -2,\ \text{或}\ k > -1 \end{aligned} A+kE的特征值:k+1, k+1, k−1B+kE的特征值:k+2, k+1, k−1(k+1)(k+2)>0⟹k<−2, 或 k>−1
【小结】二次型xTAx与xTBx合同的充要条件有:(1) 存在可逆矩阵C使得CTAC=B;(2) xTAx与xTBx的合同规范形相同;(3) xTAx与xTBx的正负惯性指数相同;(4) A与B的正负特征值的个数相同。 \begin{aligned} &\text{【小结】二次型}\boldsymbol{x}^T\boldsymbol{A}\boldsymbol{x}\text{与}\boldsymbol{x}^T\boldsymbol{B}\boldsymbol{x}\text{合同的充要条件有:} \\ &\quad (1)\ \text{存在可逆矩阵}\boldsymbol{C}\text{使得}\boldsymbol{C}^T\boldsymbol{A}\boldsymbol{C} = \boldsymbol{B}\text{;} \\ &\quad (2)\ \boldsymbol{x}^T\boldsymbol{A}\boldsymbol{x}\text{与}\boldsymbol{x}^T\boldsymbol{B}\boldsymbol{x}\text{的合同规范形相同;} \\ &\quad (3)\ \boldsymbol{x}^T\boldsymbol{A}\boldsymbol{x}\text{与}\boldsymbol{x}^T\boldsymbol{B}\boldsymbol{x}\text{的正负惯性指数相同;} \\ &\quad (4)\ \boldsymbol{A}\text{与}\boldsymbol{B}\text{的正负特征值的个数相同。} \end{aligned} 【小结】二次型xTAx与xTBx合同的充要条件有:(1) 存在可逆矩阵C使得CTAC=B;(2) xTAx与xTBx的合同规范形相同;(3) xTAx与xTBx的正负惯性指数相同;(4) A与B的正负特征值的个数相同。
![![[Pasted image 20251128082611.png]]](https://i-blog.csdnimg.cn/direct/1166483baea346d3b4c3725f9baf92b8.png)
A的特征值为3,-1
A,-1,-3
B,1,3
C,3,1
D,-1,3
选D
【小结】讨论矩阵是否合同,只需判断正负特征值的个数是否相同,关心的是特征值的符号,而不是数值,特殊地,若矩阵为二阶矩阵,根据行列式和迹可快速得出特征值的符号:① 若∣A∣<0, 则特征值必定一正一负;② 若∣A∣=0, 若tr(A)>0, 则特征值一正一零,若tr(A)=0, 则特征值两个零,若tr(A)<0, 则特征值一负一零;③ 若∣A∣>0, 若tr(A)>0, 则特征值两正,若tr(A)<0, 则特征值两负。 \begin{aligned} &\text{【小结】讨论矩阵是否合同,只需判断正负特征值的个数是否相同,关心的是特征值的} \\ &\text{符号,而不是数值,特殊地,若矩阵为二阶矩阵,根据行列式和迹可快速得出特征值的符号:} \\ & \\ &①\ \text{若}|A| < 0,\ \text{则特征值必定一正一负;} \\ & \\ &②\ \text{若}|A| = 0,\ \text{若}\mathrm{tr}(A) > 0,\ \text{则特征值一正一零,若}\mathrm{tr}(A) = 0,\ \text{则特征值两个零,若} \\ &\quad \mathrm{tr}(A) < 0,\ \text{则特征值一负一零;} \\ & \\ &③\ \text{若}|A| > 0,\ \text{若}\mathrm{tr}(A) > 0,\ \text{则特征值两正,若}\mathrm{tr}(A) < 0,\ \text{则特征值两负。} \end{aligned} 【小结】讨论矩阵是否合同,只需判断正负特征值的个数是否相同,关心的是特征值的符号,而不是数值,特殊地,若矩阵为二阶矩阵,根据行列式和迹可快速得出特征值的符号:① 若∣A∣<0, 则特征值必定一正一负;② 若∣A∣=0, 若tr(A)>0, 则特征值一正一零,若tr(A)=0, 则特征值两个零,若tr(A)<0, 则特征值一负一零;③ 若∣A∣>0, 若tr(A)>0, 则特征值两正,若tr(A)<0, 则特征值两负。
正定二次型
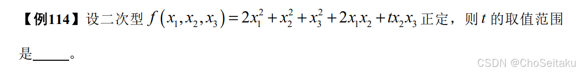
![![[Pasted image 20251128085351.png]]](https://i-blog.csdnimg.cn/direct/e518543a16264581aa7dd53ba5c0d4a1.png)
解:二次型矩阵为(21011t20t21), 2>0, ∣2111∣=1>0∣21011t20t21∣=∣0−1−t11t20t21∣=1−t22>0−2<t<2 \begin{aligned} &\text{解:二次型矩阵为}\begin{pmatrix} 2 & 1 & 0 \\ 1 & 1 & \frac{t}{2} \\ 0 & \frac{t}{2} & 1 \end{pmatrix},\ 2>0,\ \begin{vmatrix} 2 & 1 \\ 1 & 1 \end{vmatrix}=1>0 \\ & \\ &\begin{vmatrix} 2 & 1 & 0 \\ 1 & 1 & \frac{t}{2} \\ 0 & \frac{t}{2} & 1 \end{vmatrix}=\begin{vmatrix} 0 & -1 & -t \\ 1 & 1 & \frac{t}{2} \\ 0 & \frac{t}{2} & 1 \end{vmatrix}=1-\frac{t^2}{2}>0 \\ & \\ &-\sqrt{2}<t<\sqrt{2} \end{aligned} 解:二次型矩阵为210112t02t1, 2>0, 2111=1>0210112t02t1=010−112t−t2t1=1−2t2>0−2<t<2
【小结】对于具体的二次型(数值型的)一般通过顺序主子式来判断其是否正定。
【小结】对于具体的二次型(数值型的)一般通过顺序主子式来判断其是否正定。
【小结】对于具体的二次型(数值型的)一般通过顺序主子式来判断其是否正定。
![![[Pasted image 20251128085510.png]]](https://i-blog.csdnimg.cn/direct/0874ed5bfe354ee689304bd2e54202db.png)
解:A的特征值为2,2,0, B的特征值为 k2,(k+2)2,(k+2)2Λ=(k2000(k+2)2000(k+2)2)当k≠0且k≠−2时,B为正定矩阵. \begin{aligned} &\text{解:}A\text{的特征值为}2,2,0,\ B\text{的特征值为}\ k^2,(k+2)^2,(k+2)^2 \\ & \\ &\Lambda=\begin{pmatrix} k^2 & 0 & 0 \\ 0 & (k+2)^2 & 0 \\ 0 & 0 & (k+2)^2 \end{pmatrix} \\ & \\ &\text{当}k\neq0\text{且}k\neq-2\text{时,}B\text{为正定矩阵.} \end{aligned} 解:A的特征值为2,2,0, B的特征值为 k2,(k+2)2,(k+2)2Λ=k2000(k+2)2000(k+2)2当k=0且k=−2时,B为正定矩阵.
【小结】对于抽象型的二次型,一般通过特征值来判断其是否正定。
【小结】对于抽象型的二次型,一般通过特征值来判断其是否正定。
【小结】对于抽象型的二次型,一般通过特征值来判断其是否正定。
![![[Pasted image 20251128090705.png]]](https://i-blog.csdnimg.cn/direct/64f68dc2091f4e18840df69bf9af0eb8.png)
解:由题意可知,f(x1,x2,⋯ ,xn)≥0对于任意的非零向量(x1,x2,⋯ ,xn)均使得f(x1,x2,⋯ ,xn)>0只有零向量可以使f(x1,x2,⋯ ,xn)=0即{x1+a1x2=0x2+a2x3=0⋮xn−1+an−1xn=0anx1+xn=0只有零解 \begin{aligned} &\text{解:由题意可知,}f(x_1,x_2,\cdots,x_n) \geq 0 \\ & \\ &\text{对于任意的非零向量}(x_1,x_2,\cdots,x_n)\text{均使得}f(x_1,x_2,\cdots,x_n) > 0 \\ & \\ &\text{只有零向量可以使}f(x_1,x_2,\cdots,x_n) = 0 \\ & \\ &\text{即}\begin{cases} x_1 + a_1x_2 = 0 \\ x_2 + a_2x_3 = 0 \\ \vdots \\ x_{n-1} + a_{n-1}x_n = 0 \\ a_nx_1 + x_n = 0 \end{cases}\text{只有零解} \end{aligned} 解:由题意可知,f(x1,x2,⋯,xn)≥0对于任意的非零向量(x1,x2,⋯,xn)均使得f(x1,x2,⋯,xn)>0只有零向量可以使f(x1,x2,⋯,xn)=0即⎩⎨⎧x1+a1x2=0x2+a2x3=0⋮xn−1+an−1xn=0anx1+xn=0只有零解
即∣1a10⋯001a2⋯0⋮⋮⋮⋮000⋯an−1an00⋯1∣=1+an(−1)n+1⋅a1a2⋯an≠0当(−1)n+1a1a2⋯an+1≠0时,二次型为正定二次型. \text{即}\begin{vmatrix} 1 & a_1 & 0 & \cdots & 0 \\ 0 & 1 & a_2 & \cdots & 0 \\ \vdots & \vdots & \vdots & & \vdots \\ 0 & 0 & 0 & \cdots & a_{n-1} \\ a_n & 0 & 0 & \cdots & 1 \end{vmatrix} = 1 + a_{n}(-1)^{n+1} \cdot a_1a_2\cdots a_n \neq 0 \\ \\ \text{当}(-1)^{n+1}a_1a_2\cdots a_n + 1 \neq 0\text{时,二次型为正定二次型.} 即10⋮0ana11⋮000a2⋮00⋯⋯⋯⋯00⋮an−11=1+an(−1)n+1⋅a1a2⋯an=0当(−1)n+1a1a2⋯an+1=0时,二次型为正定二次型.
【小结】对于抽象型的二次型,若含系数或者含转置符号的,一般通过定义来判断其是否正定。【小结】对于抽象型的二次型,若含系数或者含转置符号的,一般通过定义来判断其是
否正定。【小结】对于抽象型的二次型,若含系数或者含转置符号的,一般通过定义来判断其是否正定。
![![[Pasted image 20251128095528.png]]](https://i-blog.csdnimg.cn/direct/3e961732b1494fdfab66573df3b12909.png)
证:必要性:若BTAB为正定矩阵,对任意的非零向量均有XTBTABX>0, (BX)TA(BX)>0BX≠0, 说明BX=0只有零解.(对于任意的X≠0)必有BX≠0.则r(B)=n.充分性:若r(B)=n(BTAB)T=BTATB=BTAB, 则BTAB为实对称矩阵对于任意的非零向量X, BX≠0, 又A为正定矩阵XTBTABX=(BX)TA(BX)>0 \begin{aligned} &\text{证:必要性:若}B^TAB\text{为正定矩阵,对任意的非零向量} \\ &\text{均有}X^TB^TABX > 0,\ (BX)^TA(BX) > 0 \\ &BX \neq 0,\ \text{说明}BX = 0\text{只有零解.(对于任意的}X \neq 0\text{)} \\ &\text{必有}BX \neq 0. \\ &\text{则}r(B) = n. \\ & \\ &\text{充分性:若}r(B) = n \\ &(B^TAB)^T = B^TA^TB = B^TAB,\ \text{则}B^TAB\text{为实对称矩阵} \\ &\text{对于任意的非零向量}X,\ BX \neq 0,\ \text{又}A\text{为正定矩阵} \\ &X^TB^TABX = (BX)^TA(BX) > 0 \end{aligned} 证:必要性:若BTAB为正定矩阵,对任意的非零向量均有XTBTABX>0, (BX)TA(BX)>0BX=0, 说明BX=0只有零解.(对于任意的X=0)必有BX=0.则r(B)=n.充分性:若r(B)=n(BTAB)T=BTATB=BTAB, 则BTAB为实对称矩阵对于任意的非零向量X, BX=0, 又A为正定矩阵XTBTABX=(BX)TA(BX)>0
【小结】运用定义证明 n 阶矩阵 A 正定的基本步骤:(1) 先验证 AT=A;(2) 任取 n 维非零列向量 α, 验证 αTAα>0。 \begin{aligned} &\text{【小结】运用定义证明 }n\text{ 阶矩阵 }A\text{ 正定的基本步骤:} \\ & \\ &(1)\ \text{先验证 }A^T = A; \\ & \\ &(2)\ \text{任取 }n\text{ 维非零列向量 }\alpha,\text{ 验证 }\alpha^T A\alpha > 0。 \end{aligned} 【小结】运用定义证明 n 阶矩阵 A 正定的基本步骤:(1) 先验证 AT=A;(2) 任取 n 维非零列向量 α, 验证 αTAα>0。
2062

被折叠的 条评论
为什么被折叠?



