二次型合同标准形的计算
![![[Pasted image 20251127060352.png]]](https://i-blog.csdnimg.cn/direct/8f6c36e49854466d8b1df02257e3f433.png)
解:(1) 二次型矩阵为
A
=
(
2
0
0
0
3
α
0
α
3
)
.
∣
λ
E
−
A
∣
=
∣
λ
−
2
0
0
0
λ
−
3
−
α
0
−
α
λ
−
3
∣
=
(
λ
−
2
)
[
λ
−
(
α
+
3
)
]
[
λ
−
(
3
−
α
)
]
=
0.
得特征值
λ
1
=
2
,
λ
2
=
α
+
3
,
λ
3
=
3
−
α
.
由标准型知特征值为
1
,
2
,
5.
由
α
>
0
可知
3
+
α
=
5
,
α
=
2.
\begin{aligned} &\text{解:(1) 二次型矩阵为 } \boldsymbol{A} = \begin{pmatrix} 2 & 0 & 0 \\ 0 & 3 & \alpha \\ 0 & \alpha & 3 \end{pmatrix}. \\ \\ &|\lambda \boldsymbol{E} - \boldsymbol{A}| = \begin{vmatrix} \lambda - 2 & 0 & 0 \\ 0 & \lambda - 3 & -\alpha \\ 0 & -\alpha & \lambda - 3 \end{vmatrix} = (\lambda - 2)\left[\lambda - (\alpha + 3)\right]\left[\lambda - (3 - \alpha)\right] = 0. \\ \\ &\text{得特征值 } \lambda_1 = 2,\ \lambda_2 = \alpha + 3,\ \lambda_3 = 3 - \alpha. \\&\text{由标准型知特征值为}1,\ 2,\ 5.\ \text{由}\alpha > 0\text{可知}3 + \alpha = 5,\ \alpha = 2.\end{aligned}
解:(1) 二次型矩阵为 A=
20003α0α3
.∣λE−A∣=
λ−2000λ−3−α0−αλ−3
=(λ−2)[λ−(α+3)][λ−(3−α)]=0.得特征值 λ1=2, λ2=α+3, λ3=3−α.由标准型知特征值为1, 2, 5. 由α>0可知3+α=5, α=2.
A
=
(
2
0
0
0
3
2
0
2
3
)
,
A
−
E
=
(
1
0
0
0
2
2
0
2
2
)
→
(
1
0
0
0
1
1
0
0
0
)
,
1
的特征向量为
(
0
−
1
1
)
;
A
−
2
E
=
(
0
0
0
0
1
2
0
2
1
)
→
(
0
0
0
0
1
0
0
0
1
)
,
2
的特征向量为
(
1
0
0
)
;
A
−
5
E
=
(
−
3
0
0
0
−
2
2
0
2
−
2
)
→
(
1
0
0
0
1
−
1
0
0
0
)
,
5
的特征向量为
(
0
1
1
)
.
\begin{aligned} &\boldsymbol{A} = \begin{pmatrix} 2 & 0 & 0 \\ 0 & 3 & 2 \\ 0 & 2 & 3 \end{pmatrix},\quad \boldsymbol{A} - \boldsymbol{E} = \begin{pmatrix} 1 & 0 & 0 \\ 0 & 2 & 2 \\ 0 & 2 & 2 \end{pmatrix} \to \begin{pmatrix} 1 & 0 & 0 \\ 0 & 1 & 1 \\ 0 & 0 & 0 \end{pmatrix}, \\ &1\text{的特征向量为}\begin{pmatrix} 0 \\ -1 \\ 1 \end{pmatrix}; \\ \\ &\boldsymbol{A} - 2\boldsymbol{E} = \begin{pmatrix} 0 & 0 & 0 \\ 0 & 1 & 2 \\ 0 & 2 & 1 \end{pmatrix} \to \begin{pmatrix} 0 & 0 & 0 \\ 0 & 1 & 0 \\ 0 & 0 & 1 \end{pmatrix}, \\ &2\text{的特征向量为}\begin{pmatrix} 1 \\ 0 \\ 0 \end{pmatrix}; \\ \\ &\boldsymbol{A} - 5\boldsymbol{E} = \begin{pmatrix} -3 & 0 & 0 \\ 0 & -2 & 2 \\ 0 & 2 & -2 \end{pmatrix} \to \begin{pmatrix} 1 & 0 & 0 \\ 0 & 1 & -1 \\ 0 & 0 & 0 \end{pmatrix}, \\ &5\text{的特征向量为}\begin{pmatrix} 0 \\ 1 \\ 1 \end{pmatrix}. \end{aligned}
A=
200032023
,A−E=
100022022
→
100010010
,1的特征向量为
0−11
;A−2E=
000012021
→
000010001
,2的特征向量为
100
;A−5E=
−3000−2202−2
→
1000100−10
,5的特征向量为
011
.
则
Q
=
(
0
1
0
−
2
2
0
2
2
2
2
0
2
2
)
,
在
x
=
Q
y
下二次型可化为标准型
\begin{aligned} &\text{则}\boldsymbol{Q} = \begin{pmatrix} 0 & 1 & 0 \\ -\dfrac{\sqrt{2}}{2} & 0 & \dfrac{\sqrt{2}}{2} \\ \dfrac{\sqrt{2}}{2} & 0 & \dfrac{\sqrt{2}}{2} \end{pmatrix},\ \text{在}\boldsymbol{x} = \boldsymbol{Q}\boldsymbol{y}\text{下二次型可化为标准型} \end{aligned}
则Q=
0−222210002222
, 在x=Qy下二次型可化为标准型
补充
f
(
x
1
,
x
2
,
x
3
)
=
(
x
1
x
2
x
3
)
A
(
x
1
x
2
x
3
)
=
x
T
A
x
→
x
=
Q
y
(
Q
y
)
T
A
Q
y
=
y
T
Q
T
A
Q
y
=
y
T
Λ
y
Q
T
x
=
Q
T
Q
y
=
y
x
=
Q
y
,
y
=
Q
T
x
\begin{aligned} &f(x_1, x_2, x_3) = (x_1\ x_2\ x_3)\boldsymbol{A}\begin{pmatrix} x_1 \\ x_2 \\ x_3 \end{pmatrix} = \boldsymbol{x}^T\boldsymbol{A}\boldsymbol{x} \\ \\ &\xrightarrow{\boldsymbol{x} = \boldsymbol{Q}\boldsymbol{y}} \ (\boldsymbol{Q}\boldsymbol{y})^T\boldsymbol{A}\boldsymbol{Q}\boldsymbol{y} \\ &= \boldsymbol{y}^T\boldsymbol{Q}^T\boldsymbol{A}\boldsymbol{Q}\boldsymbol{y} \\ &= \boldsymbol{y}^T\boldsymbol{\Lambda}\boldsymbol{y} \\ \\ &\boldsymbol{Q}^T\boldsymbol{x} = \boldsymbol{Q}^T\boldsymbol{Q}\boldsymbol{y} = \boldsymbol{y} \\ \\ &\boldsymbol{x} = \boldsymbol{Q}\boldsymbol{y},\ \boldsymbol{y} = \boldsymbol{Q}^T\boldsymbol{x} \end{aligned}
f(x1,x2,x3)=(x1 x2 x3)A
x1x2x3
=xTAxx=Qy (Qy)TAQy=yTQTAQy=yTΛyQTx=QTQy=yx=Qy, y=QTx
解:(2) 求
f
(
x
1
,
x
2
,
x
3
)
=
2
x
1
2
+
3
x
2
2
+
3
x
3
2
+
4
x
2
x
3
在约束条件
x
1
2
+
x
2
2
+
x
3
2
=
1
的最值
.
转化为
f
(
x
1
,
x
2
,
x
3
)
=
x
T
A
x
=
x
=
Q
y
y
T
Q
T
A
Q
y
=
y
1
2
+
2
y
2
2
+
5
y
3
2
.
在
x
T
x
=
(
Q
y
)
T
(
Q
y
)
=
y
T
Q
T
Q
y
=
y
T
y
=
1
,
y
1
2
+
y
2
2
+
y
3
2
=
1
下的最值
.
f
(
y
1
,
y
2
,
y
3
)
=
y
1
2
+
2
y
2
2
+
5
y
3
2
≤
5
y
1
2
+
5
y
2
2
+
5
y
3
2
=
5
(
y
1
2
+
y
2
2
+
y
3
2
)
=
5
,
当
y
1
=
0
,
y
2
=
0
,
y
3
=
1
时,取等号,故最大值为
5.
f
(
y
1
,
y
2
,
y
3
)
=
y
1
2
+
2
y
2
2
+
5
y
3
2
≥
y
1
2
+
y
2
2
+
y
3
2
=
1
,
当
y
1
=
1
,
y
2
=
0
,
y
3
=
0
时,取等号,故最小值为
1.
\begin{aligned} &\text{解:(2) 求}f(x_1,x_2,x_3)=2x_1^2+3x_2^2+3x_3^2+4x_2x_3\text{在约束条件}x_1^2+x_2^2+x_3^2=1\text{的最值}. \\ \\ &\text{转化为}f(x_1,x_2,x_3)=\boldsymbol{x}^T\boldsymbol{A}\boldsymbol{x}\xlongequal{\boldsymbol{x}=\boldsymbol{Q}\boldsymbol{y}}\boldsymbol{y}^T\boldsymbol{Q}^T\boldsymbol{A}\boldsymbol{Q}\boldsymbol{y}=y_1^2+2y_2^2+5y_3^2. \\ \\ &\text{在}\boldsymbol{x}^T\boldsymbol{x}=(\boldsymbol{Q}\boldsymbol{y})^T(\boldsymbol{Q}\boldsymbol{y})=\boldsymbol{y}^T\boldsymbol{Q}^T\boldsymbol{Q}\boldsymbol{y}=\boldsymbol{y}^T\boldsymbol{y}=1,\ y_1^2+y_2^2+y_3^2=1\text{下的最值}. \\ \\ &f(y_1,y_2,y_3)=y_1^2+2y_2^2+5y_3^2\leq5y_1^2+5y_2^2+5y_3^2=5(y_1^2+y_2^2+y_3^2)=5, \\ &\text{当}y_1=0,\,y_2=0,\,y_3=1\text{时,取等号,}\text{故最大值为}5. \\ \\ &f(y_1,y_2,y_3)=y_1^2+2y_2^2+5y_3^2\geq y_1^2+y_2^2+y_3^2=1, \\ &\text{当}y_1=1,\,y_2=0,\,y_3=0\text{时,取等号,}\text{故最小值为}1. \end{aligned}
解:(2) 求f(x1,x2,x3)=2x12+3x22+3x32+4x2x3在约束条件x12+x22+x32=1的最值.转化为f(x1,x2,x3)=xTAxx=QyyTQTAQy=y12+2y22+5y32.在xTx=(Qy)T(Qy)=yTQTQy=yTy=1, y12+y22+y32=1下的最值.f(y1,y2,y3)=y12+2y22+5y32≤5y12+5y22+5y32=5(y12+y22+y32)=5,当y1=0,y2=0,y3=1时,取等号,故最大值为5.f(y1,y2,y3)=y12+2y22+5y32≥y12+y22+y32=1,当y1=1,y2=0,y3=0时,取等号,故最小值为1.
【小结】①函数的最大值和最小值一定是函数值;②正交变换只改变向量的方向,不改变向量的长度。
\text{【小结】①函数的最大值和最小值一定是函数值;②正交变换只改变向量的方向,不改变向量的长度。}
【小结】①函数的最大值和最小值一定是函数值;②正交变换只改变向量的方向,不改变向量的长度。
![![[Pasted image 20251127104440.png]]](https://i-blog.csdnimg.cn/direct/1655197755214c7c9eedff934d86222a.png)
解:(1) 法1设
f
(
x
1
,
x
2
,
x
3
)
=
2
(
a
1
2
x
1
2
+
a
2
2
x
2
2
+
a
3
2
x
3
2
+
2
a
1
a
2
x
1
x
2
+
2
a
1
a
3
x
1
x
3
+
2
a
2
a
3
x
2
x
3
)
+
(
b
1
2
x
1
2
+
b
2
2
x
2
2
+
b
3
2
x
3
2
+
2
b
1
b
2
x
1
x
2
+
2
b
1
b
3
x
1
x
3
+
2
b
2
b
3
x
2
x
3
)
=
(
2
a
1
2
+
b
1
2
)
x
1
2
+
(
2
a
2
2
+
b
2
2
)
x
2
2
+
(
2
a
3
2
+
b
3
2
)
x
3
2
+
(
4
a
1
a
2
+
2
b
1
b
2
)
x
1
x
2
+
(
4
a
1
a
3
+
2
b
1
b
3
)
x
1
x
3
+
(
4
a
2
a
3
+
2
b
2
b
3
)
x
2
x
3
矩阵为
(
2
a
1
2
+
b
1
2
2
a
1
a
2
+
b
1
b
2
2
a
1
a
3
+
b
1
b
3
2
a
1
a
2
+
b
1
b
2
2
a
2
2
+
b
2
2
2
a
2
a
3
+
b
2
b
3
2
a
1
a
3
+
b
1
b
3
2
a
2
a
3
+
b
2
b
3
2
a
3
2
+
b
3
2
)
=
2
α
α
T
+
β
β
T
,
则二次型
f
对应的矩阵为
2
α
α
T
+
β
β
T
.
\begin{aligned} &\text{解:(1) 法1设}f(x_1,x_2,x_3) = 2\left(a_1^2x_1^2 + a_2^2x_2^2 + a_3^2x_3^2 + 2a_1a_2x_1x_2 + 2a_1a_3x_1x_3 + 2a_2a_3x_2x_3\right) \\ &\quad + \left(b_1^2x_1^2 + b_2^2x_2^2 + b_3^2x_3^2 + 2b_1b_2x_1x_2 + 2b_1b_3x_1x_3 + 2b_2b_3x_2x_3\right) \\ &= \left(2a_1^2 + b_1^2\right)x_1^2 + \left(2a_2^2 + b_2^2\right)x_2^2 + \left(2a_3^2 + b_3^2\right)x_3^2 \\ &\quad + \left(4a_1a_2 + 2b_1b_2\right)x_1x_2 + \left(4a_1a_3 + 2b_1b_3\right)x_1x_3 + \left(4a_2a_3 + 2b_2b_3\right)x_2x_3 \\ \\ &\text{矩阵为}\begin{pmatrix} 2a_1^2 + b_1^2 & 2a_1a_2 + b_1b_2 & 2a_1a_3 + b_1b_3 \\ 2a_1a_2 + b_1b_2 & 2a_2^2 + b_2^2 & 2a_2a_3 + b_2b_3 \\ 2a_1a_3 + b_1b_3 & 2a_2a_3 + b_2b_3 & 2a_3^2 + b_3^2 \end{pmatrix} = 2\boldsymbol{\alpha\alpha}^T + \boldsymbol{\beta\beta}^T, \\ &\text{则二次型}f\text{对应的矩阵为}2\boldsymbol{\alpha\alpha}^T + \boldsymbol{\beta\beta}^T. \end{aligned}
解:(1) 法1设f(x1,x2,x3)=2(a12x12+a22x22+a32x32+2a1a2x1x2+2a1a3x1x3+2a2a3x2x3)+(b12x12+b22x22+b32x32+2b1b2x1x2+2b1b3x1x3+2b2b3x2x3)=(2a12+b12)x12+(2a22+b22)x22+(2a32+b32)x32+(4a1a2+2b1b2)x1x2+(4a1a3+2b1b3)x1x3+(4a2a3+2b2b3)x2x3矩阵为
2a12+b122a1a2+b1b22a1a3+b1b32a1a2+b1b22a22+b222a2a3+b2b32a1a3+b1b32a2a3+b2b32a32+b32
=2ααT+ββT,则二次型f对应的矩阵为2ααT+ββT.
法2:设
x
=
(
x
1
x
2
x
3
)
,
x
T
α
=
α
T
x
=
a
1
x
1
+
a
2
x
2
+
a
3
x
3
,
x
T
β
=
β
T
x
=
b
1
x
1
+
b
2
x
2
+
b
3
x
3
,
f
(
x
1
,
x
2
,
x
3
)
=
2
x
T
α
α
T
x
+
x
T
β
β
T
x
=
x
T
(
2
α
α
T
+
β
β
T
)
x
,
(
2
α
α
T
+
β
β
T
)
T
=
2
(
α
T
)
T
α
T
+
(
β
T
)
T
β
T
=
2
α
α
T
+
β
β
T
,
故
2
α
α
T
+
β
β
T
为实对称矩阵
.
则二次型
f
对应的矩阵为
2
α
α
T
+
β
β
T
.
\begin{aligned} &\text{法2:设}\boldsymbol{x}=\begin{pmatrix} x_1 \\ x_2 \\ x_3 \end{pmatrix},\ \boldsymbol{x}^T\boldsymbol{\alpha}=\boldsymbol{\alpha}^T\boldsymbol{x}=a_1x_1+a_2x_2+a_3x_3, \\ &\boldsymbol{x}^T\boldsymbol{\beta}=\boldsymbol{\beta}^T\boldsymbol{x}=b_1x_1+b_2x_2+b_3x_3, \\ \\ &f(x_1,x_2,x_3)=2\boldsymbol{x}^T\boldsymbol{\alpha}\boldsymbol{\alpha}^T\boldsymbol{x}+\boldsymbol{x}^T\boldsymbol{\beta}\boldsymbol{\beta}^T\boldsymbol{x}=\boldsymbol{x}^T\left(2\boldsymbol{\alpha}\boldsymbol{\alpha}^T+\boldsymbol{\beta}\boldsymbol{\beta}^T\right)\boldsymbol{x}, \\ \\&\left(2\boldsymbol{\alpha}\boldsymbol{\alpha}^T + \boldsymbol{\beta}\boldsymbol{\beta}^T\right)^T = 2\left(\boldsymbol{\alpha}^T\right)^T\boldsymbol{\alpha}^T + \left(\boldsymbol{\beta}^T\right)^T\boldsymbol{\beta}^T = 2\boldsymbol{\alpha}\boldsymbol{\alpha}^T + \boldsymbol{\beta}\boldsymbol{\beta}^T, \\ &\text{故}2\boldsymbol{\alpha}\boldsymbol{\alpha}^T + \boldsymbol{\beta}\boldsymbol{\beta}^T\text{为实对称矩阵}.\text{则二次型}f\text{对应的矩阵为}\ 2\boldsymbol{\alpha}\boldsymbol{\alpha}^T+\boldsymbol{\beta}\boldsymbol{\beta}^T. \end{aligned}
法2:设x=
x1x2x3
, xTα=αTx=a1x1+a2x2+a3x3,xTβ=βTx=b1x1+b2x2+b3x3,f(x1,x2,x3)=2xTααTx+xTββTx=xT(2ααT+ββT)x,(2ααT+ββT)T=2(αT)TαT+(βT)TβT=2ααT+ββT,故2ααT+ββT为实对称矩阵.则二次型f对应的矩阵为 2ααT+ββT.
(
2
)
r
(
2
α
α
T
+
β
β
T
)
≤
r
(
2
α
α
T
)
+
r
(
β
β
T
)
=
1
+
1
=
2
,
故
0
为
2
α
α
T
+
β
β
T
的一个特征值
.
α
T
β
=
β
T
α
=
0
,
α
T
α
=
β
T
β
=
1
,
(
2
α
α
T
+
β
β
T
)
β
=
2
α
α
T
β
+
β
β
T
β
=
β
,
1
为一个特征值
.
(
2
α
α
T
+
β
β
T
)
α
=
2
α
α
T
α
+
β
β
T
α
=
2
α
,
2
为一个特征值
.
则
f
在正交变换下的标准形为
2
y
1
2
+
y
2
2
.
\begin{aligned} \\ &(\text{2})\ r(2\boldsymbol{\alpha}\boldsymbol{\alpha}^T + \boldsymbol{\beta}\boldsymbol{\beta}^T) \leq r(2\boldsymbol{\alpha}\boldsymbol{\alpha}^T) + r(\boldsymbol{\beta}\boldsymbol{\beta}^T) = 1 + 1 = 2, \\ &\text{故}\ 0\text{为}2\boldsymbol{\alpha}\boldsymbol{\alpha}^T + \boldsymbol{\beta}\boldsymbol{\beta}^T\text{的一个特征值}. \\&\boldsymbol{\alpha}^T\boldsymbol{\beta} = \boldsymbol{\beta}^T\boldsymbol{\alpha} = 0,\ \boldsymbol{\alpha}^T\boldsymbol{\alpha} = \boldsymbol{\beta}^T\boldsymbol{\beta} = 1, \\\\ &(2\boldsymbol{\alpha}\boldsymbol{\alpha}^T + \boldsymbol{\beta}\boldsymbol{\beta}^T)\boldsymbol{\beta} = 2\boldsymbol{\alpha}\boldsymbol{\alpha}^T\boldsymbol{\beta} + \boldsymbol{\beta}\boldsymbol{\beta}^T\boldsymbol{\beta} = \boldsymbol{\beta},\ 1\text{为一个特征值}. \\ \\ &(2\boldsymbol{\alpha}\boldsymbol{\alpha}^T + \boldsymbol{\beta}\boldsymbol{\beta}^T)\boldsymbol{\alpha} = 2\boldsymbol{\alpha}\boldsymbol{\alpha}^T\boldsymbol{\alpha} + \boldsymbol{\beta}\boldsymbol{\beta}^T\boldsymbol{\alpha} = 2\boldsymbol{\alpha},\ 2\text{为一个特征值}. \\ \\ &\text{则}f\text{在正交变换下的标准形为}\ 2y_1^2 + y_2^2. \end{aligned}
(2) r(2ααT+ββT)≤r(2ααT)+r(ββT)=1+1=2,故 0为2ααT+ββT的一个特征值.αTβ=βTα=0, αTα=βTβ=1,(2ααT+ββT)β=2ααTβ+ββTβ=β, 1为一个特征值.(2ααT+ββT)α=2ααTα+ββTα=2α, 2为一个特征值.则f在正交变换下的标准形为 2y12+y22.
改:
f
的矩阵为
3
α
α
T
+
2
β
β
T
+
γ
γ
T
,
α
,
β
,
γ
正交且均为单位向量,求正交变换
x
=
Q
y
,使得
f
化为标准形
.
解:
(
3
α
α
T
+
2
β
β
T
+
γ
γ
T
)
α
=
3
α
α
T
α
+
2
β
β
T
α
+
γ
γ
T
α
=
3
α
,
3
,
α
.
(
3
α
α
T
+
2
β
β
T
+
γ
γ
T
)
β
=
3
α
α
T
β
+
2
β
β
T
β
+
γ
γ
T
β
=
2
β
,
2
,
β
.
(
3
α
α
T
+
2
β
β
T
+
γ
γ
T
)
γ
=
3
α
α
T
γ
+
2
β
β
T
γ
+
γ
γ
T
γ
=
γ
,
1
,
γ
.
Q
=
(
α
,
β
,
γ
)
,
3
y
1
2
+
2
y
2
2
+
y
3
2
.
\begin{aligned} &\text{改:}f\text{的矩阵为}\ 3\boldsymbol{\alpha}\boldsymbol{\alpha}^T + 2\boldsymbol{\beta}\boldsymbol{\beta}^T + \boldsymbol{\gamma}\boldsymbol{\gamma}^T, \\ &\boldsymbol{\alpha},\boldsymbol{\beta},\boldsymbol{\gamma}\text{正交且均为单位向量,求正交变换}\boldsymbol{x} = \boldsymbol{Q}\boldsymbol{y}\text{,使得}f\text{化为标准形}. \\ \\ &\text{解:}\left(3\boldsymbol{\alpha}\boldsymbol{\alpha}^T + 2\boldsymbol{\beta}\boldsymbol{\beta}^T + \boldsymbol{\gamma}\boldsymbol{\gamma}^T\right)\boldsymbol{\alpha} = 3\boldsymbol{\alpha}\boldsymbol{\alpha}^T\boldsymbol{\alpha} + 2\boldsymbol{\beta}\boldsymbol{\beta}^T\boldsymbol{\alpha} + \boldsymbol{\gamma}\boldsymbol{\gamma}^T\boldsymbol{\alpha} = 3\boldsymbol{\alpha},\quad 3,\boldsymbol{\alpha}. \\ \\ &\left(3\boldsymbol{\alpha}\boldsymbol{\alpha}^T + 2\boldsymbol{\beta}\boldsymbol{\beta}^T + \boldsymbol{\gamma}\boldsymbol{\gamma}^T\right)\boldsymbol{\beta} = 3\boldsymbol{\alpha}\boldsymbol{\alpha}^T\boldsymbol{\beta} + 2\boldsymbol{\beta}\boldsymbol{\beta}^T\boldsymbol{\beta} + \boldsymbol{\gamma}\boldsymbol{\gamma}^T\boldsymbol{\beta} = 2\boldsymbol{\beta},\quad 2,\boldsymbol{\beta}. \\ \\ &\left(3\boldsymbol{\alpha}\boldsymbol{\alpha}^T + 2\boldsymbol{\beta}\boldsymbol{\beta}^T + \boldsymbol{\gamma}\boldsymbol{\gamma}^T\right)\boldsymbol{\gamma} = 3\boldsymbol{\alpha}\boldsymbol{\alpha}^T\boldsymbol{\gamma} + 2\boldsymbol{\beta}\boldsymbol{\beta}^T\boldsymbol{\gamma} + \boldsymbol{\gamma}\boldsymbol{\gamma}^T\boldsymbol{\gamma} = \boldsymbol{\gamma},\quad 1,\boldsymbol{\gamma}. \\ \\ &\boldsymbol{Q} = (\boldsymbol{\alpha},\boldsymbol{\beta},\boldsymbol{\gamma}),\quad 3y_1^2 + 2y_2^2 + y_3^2. \end{aligned}
改:f的矩阵为 3ααT+2ββT+γγT,α,β,γ正交且均为单位向量,求正交变换x=Qy,使得f化为标准形.解:(3ααT+2ββT+γγT)α=3ααTα+2ββTα+γγTα=3α,3,α.(3ααT+2ββT+γγT)β=3ααTβ+2ββTβ+γγTβ=2β,2,β.(3ααT+2ββT+γγT)γ=3ααTγ+2ββTγ+γγTγ=γ,1,γ.Q=(α,β,γ),3y12+2y22+y32.
【小结】将二次型
x
T
A
x
经过正交变换
x
=
Q
y
化为标准形
y
T
Λ
y
之后,由于
Λ
=
Q
T
A
Q
=
Q
−
1
A
Q
,
因此矩阵
A
与
Λ
之间既是合同关系也是相似关系。也就是说
Λ
也
是
A
的相似标准形。因此
Λ
的对角元均为
A
的特征值,而
Q
的列向量就是所对应的特
征向量。因此,考研对二次型的考查与特征值特征向量结合得比较紧密。
\begin{aligned} &\text{【小结】将二次型}\ \boldsymbol{x}^T\boldsymbol{A}\boldsymbol{x}\ \text{经过正交变换}\ \boldsymbol{x} = \boldsymbol{Q}\boldsymbol{y}\ \text{化为标准形}\ \boldsymbol{y}^T\boldsymbol{\Lambda}\boldsymbol{y}\ \text{之后,由于} \\ &\boldsymbol{\Lambda} = \boldsymbol{Q}^T\boldsymbol{A}\boldsymbol{Q} = \boldsymbol{Q}^{-1}\boldsymbol{A}\boldsymbol{Q}, \\ &\text{因此矩阵}\ \boldsymbol{A}\ \text{与}\ \boldsymbol{\Lambda}\ \text{之间既是合同关系也是相似关系。也就是说}\ \boldsymbol{\Lambda}\ \text{也} \\ &\text{是}\ \boldsymbol{A}\ \text{的相似标准形。因此}\ \boldsymbol{\Lambda}\ \text{的对角元均为}\ \boldsymbol{A}\ \text{的特征值,而}\ \boldsymbol{Q}\ \text{的列向量就是所对应的特} \\ &\text{征向量。因此,考研对二次型的考查与特征值特征向量结合得比较紧密。} \end{aligned}
【小结】将二次型 xTAx 经过正交变换 x=Qy 化为标准形 yTΛy 之后,由于Λ=QTAQ=Q−1AQ,因此矩阵 A 与 Λ 之间既是合同关系也是相似关系。也就是说 Λ 也是 A 的相似标准形。因此 Λ 的对角元均为 A 的特征值,而 Q 的列向量就是所对应的特征向量。因此,考研对二次型的考查与特征值特征向量结合得比较紧密。
![![[Pasted image 20251127231032.png]]](https://i-blog.csdnimg.cn/direct/8506699d73d24a0a9b01750a48f81b4d.png)
选A
根据标准形得出P为2,1,-1,则Q为2,-1,1,选A
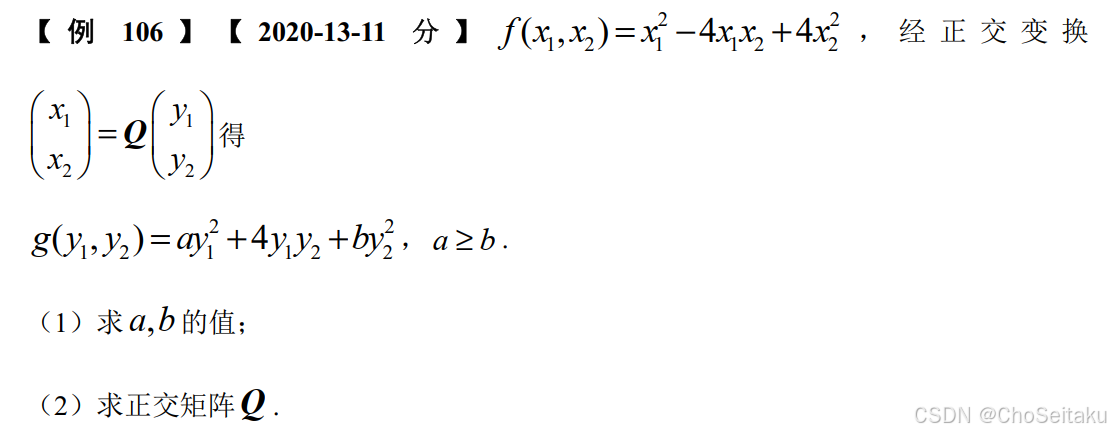
![![[Pasted image 20251128022946.png]]](https://i-blog.csdnimg.cn/direct/c460a63eb17d42ffa9b2a7334d0f0916.png)
解:
(
1
)
f
的矩阵为
(
1
−
2
−
2
4
)
,
g
的矩阵为
(
a
2
2
b
)
.
因为正交变换不改变矩阵的特征值,故
{
a
+
b
=
5
a
b
−
4
=
0
则
{
a
=
4
b
=
1
或
{
a
=
1
b
=
4
.
\begin{aligned} &\text{解:}(1)\ f\text{的矩阵为}\begin{pmatrix} 1 & -2 \\ -2 & 4 \end{pmatrix},\ g\text{的矩阵为}\begin{pmatrix} a & 2 \\ 2 & b \end{pmatrix}. \\ \\ &\text{因为正交变换不改变矩阵的特征值,故} \\ &\begin{cases} a + b = 5 \\ ab - 4 = 0 \end{cases} \quad \text{则}\begin{cases} a = 4 \\ b = 1 \end{cases} \quad \text{或}\begin{cases} a = 1 \\ b = 4 \end{cases}. \end{aligned}
解:(1) f的矩阵为(1−2−24), g的矩阵为(a22b).因为正交变换不改变矩阵的特征值,故{a+b=5ab−4=0则{a=4b=1或{a=1b=4.
(
2
)
法
1
(
1
−
2
−
2
4
)
的
0
的特征向量为
(
2
1
)
,
5
的特征向量为
(
1
−
2
)
.
(
4
2
2
1
)
的
0
的特征向量为
(
1
−
2
)
,
5
的特征向量为
(
2
1
)
.
则正交矩阵
Q
1
=
(
2
5
1
5
1
5
−
2
5
)
,
Q
2
=
(
2
5
2
5
−
2
5
1
5
)
.
f
=
x
T
A
x
=
(
Q
1
y
)
T
A
(
Q
1
y
)
=
y
T
Q
1
T
A
Q
1
y
=
y
T
Λ
y
,
g
=
x
T
B
x
=
(
Q
2
y
)
T
B
(
Q
2
y
)
=
y
T
Q
2
T
B
Q
2
y
=
y
T
Λ
y
,
即
Q
1
T
A
Q
1
=
Q
2
T
B
Q
2
.
\begin{aligned} &(2)法1\ \begin{pmatrix} 1 & -2 \\ -2 & 4 \end{pmatrix}\text{的}0\text{的特征向量为}\begin{pmatrix} 2 \\ 1 \end{pmatrix},\ 5\text{的特征向量为}\begin{pmatrix} 1 \\ -2 \end{pmatrix}. \\ \\ &\begin{pmatrix} 4 & 2 \\ 2 & 1 \end{pmatrix}\text{的}0\text{的特征向量为}\begin{pmatrix} 1 \\ -2 \end{pmatrix},\ 5\text{的特征向量为}\begin{pmatrix} 2 \\ 1 \end{pmatrix}. \\ \\ &\text{则正交矩阵}\ \boldsymbol{Q}_1 = \begin{pmatrix} \dfrac{2}{\sqrt{5}} & \dfrac{1}{\sqrt{5}} \\ \dfrac{1}{\sqrt{5}} & -\dfrac{2}{\sqrt{5}} \end{pmatrix},\ \boldsymbol{Q}_2 = \begin{pmatrix} \dfrac{2}{\sqrt{5}} & \dfrac{2}{\sqrt{5}} \\ -\dfrac{2}{\sqrt{5}} & \dfrac{1}{\sqrt{5}} \end{pmatrix}. \\ \\ &f = \boldsymbol{x}^T\boldsymbol{A}\boldsymbol{x} = (\boldsymbol{Q}_1\boldsymbol{y})^T\boldsymbol{A}(\boldsymbol{Q}_1\boldsymbol{y}) = \boldsymbol{y}^T\boldsymbol{Q}_1^T\boldsymbol{A}\boldsymbol{Q}_1\boldsymbol{y} = \boldsymbol{y}^T\boldsymbol{\Lambda}\boldsymbol{y}, \\ \\ &g = \boldsymbol{x}^T\boldsymbol{B}\boldsymbol{x} = (\boldsymbol{Q}_2\boldsymbol{y})^T\boldsymbol{B}(\boldsymbol{Q}_2\boldsymbol{y}) = \boldsymbol{y}^T\boldsymbol{Q}_2^T\boldsymbol{B}\boldsymbol{Q}_2\boldsymbol{y} = \boldsymbol{y}^T\boldsymbol{\Lambda}\boldsymbol{y}, \\ \\ &\text{即}\ \boldsymbol{Q}_1^T\boldsymbol{A}\boldsymbol{Q}_1 = \boldsymbol{Q}_2^T\boldsymbol{B}\boldsymbol{Q}_2. \end{aligned}
(2)法1 (1−2−24)的0的特征向量为(21), 5的特征向量为(1−2).(4221)的0的特征向量为(1−2), 5的特征向量为(21).则正交矩阵 Q1=
525151−52
, Q2=
52−525251
.f=xTAx=(Q1y)TA(Q1y)=yTQ1TAQ1y=yTΛy,g=xTBx=(Q2y)TB(Q2y)=yTQ2TBQ2y=yTΛy,即 Q1TAQ1=Q2TBQ2.
f
=
X
T
A
X
→
X
=
Q
Y
Y
T
Q
T
A
Q
Y
=
Y
T
B
Y
,
Q
T
A
Q
=
B
.
\begin{aligned} f &= \boldsymbol{X}^T\boldsymbol{A}\boldsymbol{X} \xrightarrow{\boldsymbol{X} = \boldsymbol{Q}\boldsymbol{Y}} \boldsymbol{Y}^T\boldsymbol{Q}^T\boldsymbol{A}\boldsymbol{Q}\boldsymbol{Y} \\ &= \boldsymbol{Y}^T\boldsymbol{B}\boldsymbol{Y}, \\ \boldsymbol{Q}^T\boldsymbol{A}\boldsymbol{Q} &= \boldsymbol{B}. \end{aligned}
fQTAQ=XTAXX=QYYTQTAQY=YTBY,=B.
B
=
Q
2
Q
1
T
A
Q
1
Q
2
T
=
(
Q
1
,
Q
2
T
)
T
A
(
Q
1
,
Q
2
)
T
\boldsymbol{B} = \boldsymbol{Q}_2\boldsymbol{Q}_1^T\boldsymbol{A}\boldsymbol{Q}_1\boldsymbol{Q}_2^T = \left(\boldsymbol{Q}_1,\boldsymbol{Q}_2^T\right)^T\boldsymbol{A}\left(\boldsymbol{Q}_1,\boldsymbol{Q}_2\right)^T
B=Q2Q1TAQ1Q2T=(Q1,Q2T)TA(Q1,Q2)T
则
Q
=
Q
1
Q
2
T
=
1
5
(
2
1
1
−
2
)
(
1
−
2
2
1
)
=
1
5
(
4
−
3
−
3
−
4
)
\text{则}\boldsymbol{Q} = \boldsymbol{Q}_1\boldsymbol{Q}_2^T = \frac{1}{5}\begin{pmatrix} 2 & 1 \\ 1 & -2 \end{pmatrix}\begin{pmatrix} 1 & -2 \\ 2 & 1 \end{pmatrix} = \frac{1}{5}\begin{pmatrix} 4 & -3 \\ -3 & -4 \end{pmatrix}
则Q=Q1Q2T=51(211−2)(12−21)=51(4−3−3−4)
法2:
g
(
y
1
,
y
2
)
=
4
y
1
2
+
4
y
1
y
2
+
y
2
2
f
(
x
1
,
x
2
)
=
x
1
2
−
4
x
1
x
2
+
4
x
2
2
x
1
=
y
2
,
x
2
=
−
y
1
,
即
(
x
1
x
2
)
=
(
0
1
−
1
0
)
(
y
1
y
2
)
可化为
4
y
1
2
+
4
y
1
y
2
+
y
2
2
,
(
0
1
−
1
0
)
为正交矩阵
则
Q
=
(
0
1
−
1
0
)
\begin{aligned} &\text{法2}:\\&g(y_1, y_2) =4y_1^2 + 4y_1y_2 + y_2^2 \\ &f(x_1, x_2) = x_1^2 - 4x_1x_2 + 4x_2^2 \\ &x_1 = y_2,\ x_2 = -y_1,\ \text{即}\ \begin{pmatrix} x_1 \\ x_2 \end{pmatrix} = \begin{pmatrix} 0 & 1 \\ -1 & 0 \end{pmatrix}\begin{pmatrix} y_1 \\ y_2 \end{pmatrix} \\&\text{可化为}\ 4y_1^2 + 4y_1y_2 + y_2^2,\ \begin{pmatrix} 0 & 1 \\ -1 & 0 \end{pmatrix}\ \text{为正交矩阵}\\ &\text{则}\ \boldsymbol{Q} = \begin{pmatrix} 0 & 1 \\ -1 & 0 \end{pmatrix} \end{aligned}
法2:g(y1,y2)=4y12+4y1y2+y22f(x1,x2)=x12−4x1x2+4x22x1=y2, x2=−y1, 即 (x1x2)=(0−110)(y1y2)可化为 4y12+4y1y2+y22, (0−110) 为正交矩阵则 Q=(0−110)
【小结】将二次型
x
T
A
x
经过正交变换
x
=
Q
y
化为了二次型
y
T
B
y
之后,与正交相似
对角化类似,由于
B
=
Q
T
A
Q
=
Q
−
1
A
Q
,可知矩阵
A
与
B
之间既是合同关系也是相似关
系,所以
A
与
B
的特征值是相同的。
要计算正交矩阵
Q
,可以按照如下步骤,分别求出正交矩阵
Q
1
,
Q
2
使得
Q
1
T
A
Q
1
=
Q
2
T
B
Q
2
为
对角矩阵,由矩阵的运算法则,有
Q
2
Q
1
T
A
Q
1
Q
2
T
=
(
Q
1
Q
2
T
)
T
A
Q
1
Q
2
T
=
B
,然后再令
Q
=
Q
1
Q
2
T
。
\begin{aligned} &\text{【小结】将二次型}\ \boldsymbol{x}^T\boldsymbol{A}\boldsymbol{x}\ \text{经过正交变换}\ \boldsymbol{x} = \boldsymbol{Q}\boldsymbol{y}\ \text{化为了二次型}\ \boldsymbol{y}^T\boldsymbol{B}\boldsymbol{y}\ \text{之后,与正交相似} \\ &\text{对角化类似,由于}\ \boldsymbol{B} = \boldsymbol{Q}^T\boldsymbol{A}\boldsymbol{Q} = \boldsymbol{Q}^{-1}\boldsymbol{A}\boldsymbol{Q}\ \text{,可知矩阵}\ \boldsymbol{A}\ \text{与}\ \boldsymbol{B}\ \text{之间既是合同关系也是相似关} \\ &\text{系,所以}\ \boldsymbol{A}\ \text{与}\ \boldsymbol{B}\ \text{的特征值是相同的。} \\ & \\ &\text{要计算正交矩阵}\ \boldsymbol{Q}\ \text{,可以按照如下步骤,分别求出正交矩阵}\ \boldsymbol{Q}_1,\boldsymbol{Q}_2\ \text{使得}\ \boldsymbol{Q}_1^T\boldsymbol{A}\boldsymbol{Q}_1 = \boldsymbol{Q}_2^T\boldsymbol{B}\boldsymbol{Q}_2\ \text{为} \\ &\text{对角矩阵,由矩阵的运算法则,有}\ \boldsymbol{Q}_2\boldsymbol{Q}_1^T\boldsymbol{A}\boldsymbol{Q}_1\boldsymbol{Q}_2^T = \left(\boldsymbol{Q}_1\boldsymbol{Q}_2^T\right)^T\boldsymbol{A}\boldsymbol{Q}_1\boldsymbol{Q}_2^T = \boldsymbol{B}\ \text{,然后再令}\ \boldsymbol{Q} = \boldsymbol{Q}_1\boldsymbol{Q}_2^T\ \text{。} \end{aligned}
【小结】将二次型 xTAx 经过正交变换 x=Qy 化为了二次型 yTBy 之后,与正交相似对角化类似,由于 B=QTAQ=Q−1AQ ,可知矩阵 A 与 B 之间既是合同关系也是相似关系,所以 A 与 B 的特征值是相同的。要计算正交矩阵 Q ,可以按照如下步骤,分别求出正交矩阵 Q1,Q2 使得 Q1TAQ1=Q2TBQ2 为对角矩阵,由矩阵的运算法则,有 Q2Q1TAQ1Q2T=(Q1Q2T)TAQ1Q2T=B ,然后再令 Q=Q1Q2T 。
3304

被折叠的 条评论
为什么被折叠?



