一、生活化例子理解两种相关系数的差异
1. 皮尔森相关系数的适用场景
皮尔森相关系数适合衡量两个变量之间的线性关系。让我们通过一个日常例子来理解:
假设您正在研究"身高"和"体重"之间的关系。收集了10位朋友的数据后,您发现身高和体重呈现明显的线性正相关——身高越高的人通常体重也越重。此时,使用皮尔森相关系数计算,结果可能是r=0.85,表明两者有较强的线性正相关关系。
另一个例子是"跑步速度"与"完成100米所需时间"之间的关系。显然,跑步速度越快,完成时间越短,呈现完美的线性负相关。皮尔森相关系数计算结果r=-1,表示完全的负线性相关 。
2. 斯皮尔曼秩相关系数的适用场景
斯皮尔曼相关系数适合衡量两个变量之间的单调关系,无论这种关系是线性的还是非线性的。让我们看一个典型的例子:
假设您研究"复习时间"和"考试成绩"之间的关系。收集了5位同学的数据后,发现随着复习时间的增加,考试成绩也提高,但这种关系并非线性的。比如,复习1小时可能提升10分,复习2小时再提升15分,复习3小时仅提升5分。此时,使用斯皮尔曼相关系数计算,结果可能是r_s=0.9,表明两者有很强的单调正相关关系;而皮尔森相关系数可能只有r=0.6,因为非线性关系导致线性相关性减弱。
另一个例子是"收入水平"与"幸福感"之间的关系。根据伊斯特林悖论,收入与幸福感在低收入阶段呈正相关,但达到一定水平后相关性减弱或消失。这种非线性但单调的关系在早期阶段适合用斯皮尔曼相关系数分析,而非皮尔森系数 。
二、两种相关系数的计算原理与步骤
1. 皮尔森相关系数的计算原理
皮尔森相关系数基于原始数据值,衡量两个变量之间的线性相关程度。计算步骤如下:
步骤一:计算两个变量的均值
先计算每个变量的平均值,作为后续计算的基础点。例如,对于身高和体重数据,分别计算平均身高和平均体重。
步骤二:计算每个数据点与均值的偏差
将每个数据点减去对应的均值,得到偏离平均值的程度。例如,某人身高比平均身高高5厘米,体重比平均体重重10公斤。
步骤三:计算协方差
协方差是衡量两个变量共同变化趋势的指标。计算方法是将每个数据点的偏差相乘后求平均。协方差越大,表示两个变量同步变化的趋势越强。
步骤四:计算标准差
标准差是衡量单个变量偏离均值程度的指标。计算每个变量的标准差,用于后续标准化。
步骤五:计算皮尔森相关系数
将协方差除以两个变量标准差的乘积,得到皮尔森相关系数。这个系数的范围在-1到1之间,绝对值越接近1,表示线性相关性越强。
2. 斯皮尔曼秩相关系数的计算原理。
斯皮尔曼相关系数基于数据的秩次(排名顺序),衡量两个变量之间的单调关系。
计算步骤如下:
步骤一:对两个变量的数据分别排序并赋予秩次
将每个变量的数据从小到大排序,赋予相应的排名(秩次)。例如,对于复习时间和考试成绩数据,分别将复习时间按长短排序,将成绩按高低排序。
步骤二:处理重复值
如果两个数据点的值相同,采用平均秩次的方法处理。例如,如果有两位同学复习时间都是2小时,那么他们的秩次应该是两个相邻秩次的平均值。
步骤三:计算每个数据点的秩次差
将同一数据点在两个变量中的秩次相减,得到秩次差( d_i )。例如,某位同学复习时间排名第3,成绩排名第2,那么秩次差是1。
步骤四:计算斯皮尔曼相关系数
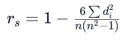
使用秩次差计算斯皮尔曼相关系数。最常用的方法是使用秩差公式:

这个系数同样在-1到1之间,绝对值越接近1,表示单调相关性越强。三、公式的数学表达与直观解释
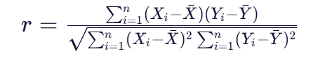
1. 皮尔森相关系数公式
数学表达式:

直观解释:
- 分子部分:
是协方差的计算,表示两个变量共同变化的趋势。当两个变量都高于均值或都低于均值时,乘积为正,协方差增大;当一个变量高于均值而另一个低于均值时,乘积为负,协方差减小。 - 分母部分:
是两个变量标准差的乘积,用于标准化协方差,消除量纲的影响。 - 整体结果:r的值在-1到1之间。当r=1时,表示完全正线性相关;当r=-1时,表示完全负线性相关;当r=0时,表示无线性相关关系。
2. 斯皮尔曼秩相关系数公式
斯皮尔曼秩相关系数有两种等价的计算方式:
方式一(秩差公式):
直观解释:
- 核心思想:斯皮尔曼相关系数不关心变量的具体数值,只关注它们的排名顺序。即使变量之间是复杂的非线性关系,只要这种关系是单调的(即随着一个变量增加,另一个变量也增加或减少),斯皮尔曼相关系数就能准确捕捉到。
- 计算逻辑:通过将原始数据转换为秩次,消除了异常值和分布形态的影响,使计算更关注数据的相对位置而非绝对值。
- 结果解读:( r_s ) 的值同样在-1到1之间。当所有数据点的秩次差为0时(即两个变量的排名完全一致),( r_s=1 );当排名完全相反时,( r_s=-1 );当排名无相关性时,( r_s=0 )。
四、两种相关系数的应用场景对比
1. 皮尔森相关系数的适用条件
皮尔森相关系数适用于以下情况:
- 变量之间呈现线性关系
- 数据服从正态分布或接近正态分布
- 数据中没有明显的异常值
- 变量是连续型数据
例如,身高与体重的关系、温度与冰淇淋销量的关系等,通常适合使用皮尔森相关系数。
2. 斯皮尔曼秩相关系数的适用条件
斯皮尔曼相关系数适用于以下情况:
- 变量之间呈现非线性但单调的关系
- 数据分布未知或明显偏离正态分布
- 数据中存在异常值
- 变量是序数数据或需要非参数分析
例如,收入与幸福感的关系、考试成绩与复习时间的关系、基因表达量之间的关系等,通常适合使用斯皮尔曼相关系数。
五、总结与建议
1. 核心区别总结
|
特征 |
皮尔森相关系数 |
斯皮尔曼秩相关系数 |
|
基于数据 |
原始数值数据 |
秩次(排名顺序)数据 |
|
适用关系 |
线性关系 |
单调关系(线性或非线性) |
|
对异常值敏感 |
敏感 |
不敏感 |
|
对分布要求 |
要求正态分布 |
无需特定分布 |
|
计算复杂度 |
中等 |
较高(需排序处理) |
2. 实际应用建议
作为数据分析新手,您可以根据以下原则选择合适的相关系数:
首先,绘制变量之间的散点图,直观观察关系形态。如果呈现明显的直线趋势,优先考虑皮尔森相关系数;如果呈现曲线趋势但整体趋势一致(即单调关系),则选择斯皮尔曼相关系数。
其次,考虑数据的分布形态和异常值情况。如果数据明显偏离正态分布或存在异常值,斯皮尔曼相关系数通常更为稳健。
最后,理解相关系数不等于因果关系。即使两个变量之间存在高度相关,也不能直接推断因果关系,需要进一步的分析和验证。
通过掌握皮尔森相关系数和斯皮尔曼秩相关系数的原理和应用方法,您将能够更准确地分析变量之间的关系,为您的数据分析工作提供有力支持。
2962

被折叠的 条评论
为什么被折叠?



