目录
一、二叉搜索树
- 二叉搜索树是一颗二叉树且满足性质:设x是二叉树的一个节点。如果y是x左子树的一个节点,那么y.key <= x.key ; 如果y是x右子树的一个节点,那么y.key > = x.key.
- 二叉搜索树的操作:查询、插入、删除(查询和插入的时间复杂度为logn)

1、二叉搜索树的插入
示例代码如下:
class BirTreeNode:
def __init__(self, data):
self.data = data
self.lchild = None # 左孩子
self.rchild = None # 右孩子
self.parent = None # 父节点;相当于双链表
class BST:
def __init__(self, li = None):
self.root = None
# self.root = None
if li:
for val in li:
self.insert_no_rec(val)
def insert(self, node, val): # 插入函数(递归写法);node为当前插入的根节点
node = BirTreeNode(node)
if not node: # 如果node为空
node = BirTreeNode(val)
elif val < node.data: # 根节点比val大,插入左节点
node.lchild = self.insert(node.lchild, val)
node.lchild.parent = node
elif val > node.data: # 根节点比val大,此时node.rchild为根节点
node.rchild = self.insert(node.rchild, val)
node.rchild.parent = node
return node
# 如果等于,此时插入左边或右边都可以,默认没有等于这种情况
def insert_no_rec(self ,val): # 插入函数(非递归)
p = self.root #跟节点
if not p:
self.root = BirTreeNode(val) # 空树
return
while True:
if val < p.data: # 往左子树走
if p.lchild: # p的左子树存在
p = p.lchild # 根节点为左子树的孩子
else:
p.lchild = BirTreeNode(val)
p.lchild.parent = p
elif val > p.data: #往右子树走
if p.rchild:
p = p.rchild
else:
p.rchild = BirTreeNode(val)
p.rchild.parent = p
else:
return
def pre_order(self, root):
if root: # 如果root不为空
print(root.data, end=",")
self.pre_order(root.lchild)
self.pre_order(root.rchild)
# 中序遍历
def in_order(self,root):
if root:
self.in_order(root.lchild)
print(root.data, end=',')
self.in_order(root.rchild)
# 后序遍历
def post_order(self, root):
if root:
self.post_order(root.lchild)
self.post_order(root.rchild)
print(root.data, end=",")
tree = BST([4,6,7,9,2,1,3,5,8])
tree.post_order(tree.root)
print("")
tree.in_order(tree.root)
print("")
tree.post_order(tree.root)

输出结果如下所示:我们可以发现,中序遍历的结果一定是升序的!(对于二叉搜索树来说),因为中序遍历的遍历规则为先遍历左边,再遍历根节点,再遍历右边。
2、二叉搜索树的查找
示例代码如下:
def query(self, node, val): # 查询函数(递归版)
if not node:
return None
if node.data < val: # 右边找
return self.query(node.rchild, val) # 往右边查找
elif node.data > val:
return self.query(node.lchild, val)
return node
def query_no_rec(self, val): # 查询函数(非递归版)
p = self.root
while p:
if p.data < val:
p = p.rchild
elif p.data > val:
p = p.lchild
else:
return p
return None
3. 二叉搜素树的删除
删除操作分三种情况:
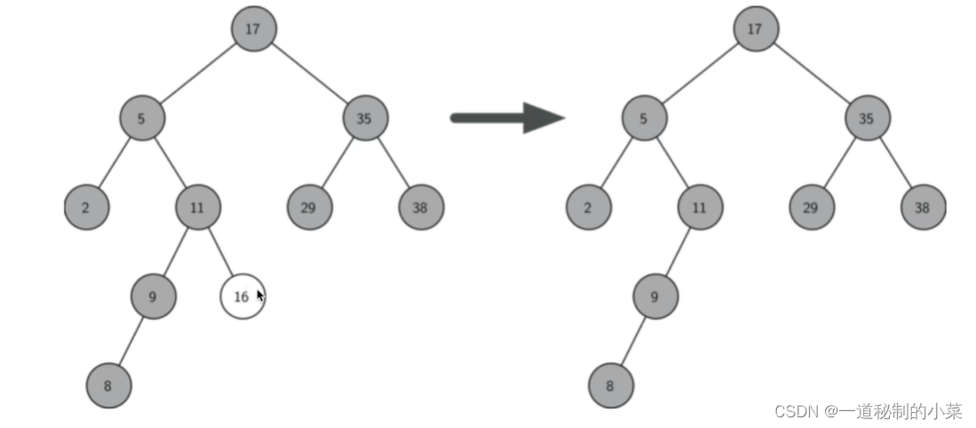
- 如果要删除的节点是叶子节点:直接删除

2. 如果要删除的节点只有一个孩子:将此节点的父亲与孩子连接,然后删除该节点。

此时如果要删除的节点是根,那么将子节点作为新根。
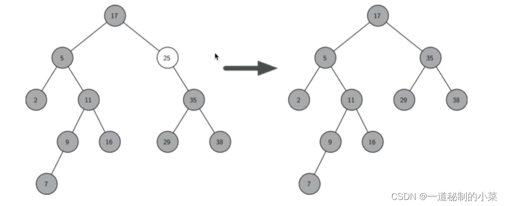
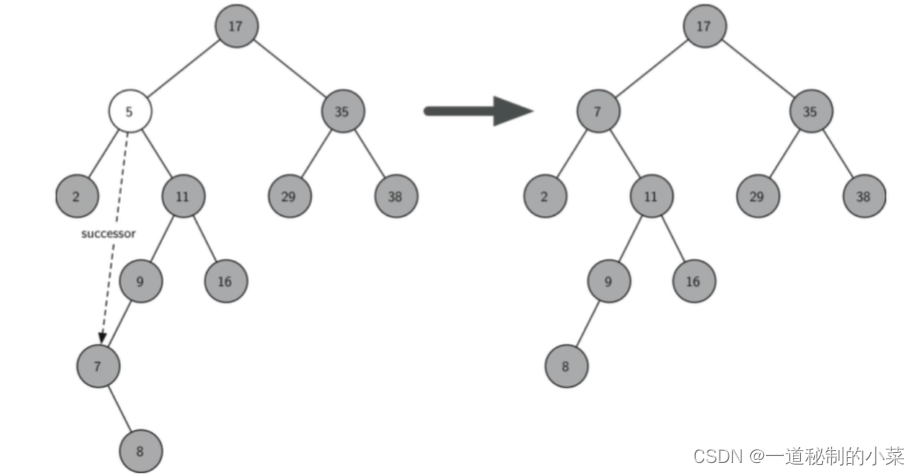
3. 如果要删除的节点有两个孩子:将该节点删除,并其右子树的最小节点(该节点最多有一个右孩子)替换当前节点。

删除操作的代码示例如下:
def __remove_node_1(self, node): # 情况1,删除的点为叶子节点时
if not node.parent: # 这个树只有一个节点,既是叶子节点也是根节点
self.root = None
if node == node.parent.lchild: # node是左孩子
node.parent.lchild = None
else:
node.parent.rchild = None
def __remove_node_2_1(self, node): # 情况2_1,node只有一个左孩子
if not node.parent: # 判断是否为根节点
self.root = node.lchild
node.lchild.parent = None
elif node == node.parent.lchild: # node为左孩子
node.parent.lchild = node.lchild # 爷孙相连
node.lchild.parent = node.parent
else:
node.parent.rchild = node.lchild # node为右孩子
node.parent.rchild = node.parent
def __remove_node_2_2(self, node): # node只有一个右孩子
if not node.parent:
self.root = node.rchild
elif node == node.parent.lchild: # node为左孩子
node.parent.lchild = node.rchild
node.rchild.parent = node.parent
else:
node.parent.rchild = node.rchild
node.rchild.parent = node.parent
def delete(self, val): # 因为删除操作有三种情况,因此在写删除操作之前需要先将其他集几种情况写下来
if self.root: # 不是空树
node = self.query_no_rec(val) # 先查询到要删除的节点
if not node: # node不存在
return False
if not node.lchild and not node.rchild: # 既没有左孩子也没有右孩子,即删除的节点为叶子节点
self.__remove_node_1(node)
elif not node.rchild: # 只有左孩子,2_1
self.__remove_node_2_1(node)
elif not node.lchild: # 只有右孩子
self.__remove_node_2_2(node)
else: # 情况三:有两个子节点,将该节点删除,将右子树的最小节点替换至该节点
min_node = node.rchild # 从右子树开始寻找
while min_node.lchild: # 一直往左走,走到头就找到最小节点
min_node = min_node.lchild # 循环结束找到最小节点
node.data = min_node.data # 将min的最小值替换到节点位置
# 接下来将min_node删除,此时min_node有三种删除情况,但是min_node肯定没有左孩子,只能是叶子节点或只有一个右孩子
if min_node.rchild:
self.__remove_node_2_2(min_node)
else:
self.__remove_node_1(min_node)
552

被折叠的 条评论
为什么被折叠?



