数据挖掘05
书接上回
1.包含动量的随机梯度下降算法
(1)定义
包含动量的随机梯度下降(Momentum Stochastic Gradient Descent, 简称 SGD with Momentum)是一种在标准随机梯度下降(SGD)基础上引入“动量”项的优化算法,旨在加速收敛、减少震荡,并帮助模型跳出局部极小值或鞍点。
(2)复习一下上一篇介绍过的SGD
标准 SGD 在每次迭代中使用一个样本(或一个小批量)来估计梯度并更新参数,公示如下:

缺点:
1)更新方向完全依赖当前梯度,容易产生高方差和震荡;
2)在狭窄峡谷或非凸地形中收敛缓慢;
3)容易陷入局部最优或鞍点。
(3)更新方向完全依赖当前梯度,为什么容易产生高方差和震荡?
因为每次根据样本估计的梯度可能与真实梯度方向相差很远,
所以会出现:
有时更新方向接近最优;
有时却几乎垂直甚至反向;
导致参数在最优解附近来回震荡,而不是平稳靠近。
举个例子:
假设你在一个嘈杂的房间里听人说话。每次只听一个词(SGD),这个词可能是“向左”也可能是“向右”,即使整体趋势是“向前”。你每一步都按听到的词走,就会左右乱晃。
(4)为什么SGD在狭窄峡谷或非凸地形中收敛缓慢?
狭窄峡谷:
例子:
在一条深而窄的山谷里想走到谷底最低点。每次你只看脚下最陡的方向往下跳,结果就是不断撞到左右岩壁,前进效率极低。
非凸地形:
存在大量鞍点(saddle points) 和平坦区域(plateaus);
SGD 在平坦区域梯度接近零 导致更新几乎停滞;
复习完毕,我们看下带动量的SGD
(5) 动量机制的引入
动量方法借鉴了物理学中的“惯性”概念:参数更新不仅考虑当前梯度,还累积过去梯度的方向,形成一种“速度”。
动量 SGD 的更新公式:

动量是历史梯度的加权和,形成一个惯性速度。
动量不是只记住“上一次”的梯度,而是综合了最近若干次梯度的方向和大小。
(6)动量的作用:
1)平滑更新方向:通过指数加权平均历史梯度,减少随机噪声的影响。
2)加速收敛:在一致方向上持续加速(如沿峡谷底部)。
3)帮助逃离平坦区域:即使当前梯度很小,若之前有动量,仍可继续移动。
2.Adagrad算法
(1)定义
AdaGrad(Adaptive Gradient Algorithm) 是一种自适应学习率优化算法。
核心思想是:
为每个参数分配一个独立的学习率,根据该参数的历史梯度大小自动调整。
梯度大的参数学习率变小,梯度小的参数学习率变大。
(2)为什么需要自适应学习率?
我们知道,在标准 SGD 中:
所有参数都使用同一个全局学习率 η;
但不同参数的重要性、更新频率、梯度尺度可能差异巨大。
所以,为了解决这个问题,引入自适应学习率,让每个参数“按需调整步长”。
(3)公式

调节学习率的原理:

(4)性质
优点:
特别适合稀疏数据(如自然语言处理、推荐系统中的嵌入层),能显著提升收敛速度和性能。
缺点:

3.RMSprop算法
(1)定义
RMSProp(Root Mean Square Propagation) 是一种自适应学习率优化算法。
核心思想是:
对 AdaGrad 进行改进,通过引入指数移动平均(EMA)来“遗忘”久远的梯度信息,从而避免学习率过早衰减到零的问题。
(2)回顾 AdaGrad:
它累积所有历史梯度的平方和:

这会导致学习率分母持续增大 → 学习率单调下降 → 训练后期几乎停止更新。
为了解决这个问题,我们提出了RMSprop。
(3)公式:
对每个参数(或整体向量形式),RMSProp 的更新规则如下:

(4)性质
1)指数移动平均(EMA)


这样就能更好的调节学习率:

2)避免学习率崩溃
因为旧梯度被遗忘 , 所以 vt 不会无限增长,分母不会趋于无穷;
学习率可以在训练后期保持一定活性,适合长时间训练。
4.Adam算法
Adam(Adaptive Moment Estimation)算法是自适应学习率优化算法。
结合了动量法和RMSProp的优点,能够高效地处理非平稳目标函数,并在实践中表现出良好的收敛性能。
(1) 核心思想
Adam 同时维护两个移动平均:
一阶矩估计(First moment):梯度的指数加权平均(类似动量)。
二阶矩估计(Second moment):梯度平方的指数加权平均(类似 RMSProp)。
然后对这两个矩进行偏差修正(bias correction),以解决初始阶段估计偏小的问题
(2)算法步骤


(3) 优点
自适应学习率:不同参数可有不同的更新步长。
对梯度噪声鲁棒。
通常收敛速度快,适合大规模数据和高维参数空间。
实现简单,只需设置少量超参数。
(4)缺点
在某些凸问题上可能不如 SGD + 动量稳定。
可能会“过早收敛”或陷入次优解(尤其在泛化敏感的任务中)。
超参数(尤其是学习率)仍需调优。
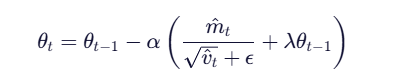
5.AdamW算法
AdamW(Adam with Weight Decay)是 Adam 优化器的一个改进版本。
在Adam的基础上,修正了Adam算法对于所有参数的权重衰减相同的问题,加入了权重衰减系数。
参数更新公式:

至此,我们介绍完了优化器算法。
什么是优化器呢?
“优化器”指的是用于更新模型参数以最小化损失函数的算法。
7665

被折叠的 条评论
为什么被折叠?



