摘要
作为电机控制领域的工程师,我在多个工业项目中应用了无刷直流电机(BLDC)的磁场定向控制(FOC)。FOC技术通过解耦转矩和磁场分量,实现了BLDC电机的高效、平滑控制,但其实现涉及复杂的数学建模和工程调试。本文将深入解析FOC的原理、关键变换、控制系统设计,并结合实际工程经验,分享参数调谐、传感器选择和常见问题解决方案。文章旨在为工程师提供实用的参考,避免理论空谈,聚焦于实践中的难点与技巧。全文基于LaTeX格式呈现数学公式,确保严谨性。
引言
无刷直流电机(BLDC)因其高功率密度、长寿命和低维护成本,在工业驱动、电动汽车和家电领域广泛应用。然而,传统方波控制导致转矩脉动和噪声,限制了高性能场景。磁场定向控制(FOC)通过模拟直流电机的控制方式,将三相电流分解为独立的磁场(d轴)和转矩(q轴)分量,实现平滑的转矩输出和高效运行。尽管FOC在理论上成熟,但工程实践中常面临参数敏感、实时性要求和硬件限制等挑战。本文将从基础原理出发,结合我在电机驱动项目中的经验,系统性地探讨FOC的实现细节,帮助读者规避常见陷阱。
一、FOC控制原理
FOC的核心思想是将三相交流系统转换为旋转坐标系,从而独立控制转矩和磁场。其控制结构包括坐标变换、PI调节器和空间矢量调制(SVPWM)。对于BLDC电机,FOC假设反电动势为正弦波,这与永磁同步电机(PMSM)类似,但需注意BLDC的非理想特性(如反电动势畸变)。
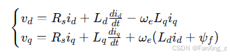
在FOC中,目标是通过控制定子电流矢量,使其与转子磁场正交,以最大化转矩。数学模型基于电机电压方程:

其中,d和vq为d-q轴电压,id和iq为d-q轴电流,Rs为定子电阻,Ld和Lq为d-q轴电感,ωe为电角速度,ψf为永磁体磁链。在BLDC中,通常设id=0(对于表贴式电机),以最小化铜损并实现最大转矩电流比。
FOC的闭环结构包括电流环、速度环和位置环。电流环作为内环,需高带宽以跟踪参考值;速度环和位置环则用于外部控制。工程中,电流环采样频率通常为10-50 kHz,以适应PWM周期。

最低0.47元/天 解锁文章
1426

被折叠的 条评论
为什么被折叠?



