摘要
在直流无刷电机(BLDC)的磁场定向控制(FOC)策略中,d-q轴电流的波动会直接影响电机的转矩平稳性和控制性能。本文从理论基础、波动成因、优化方法等多个维度,深入分析了d-q轴电流波动问题,并提出了一套完整的解决方案,包括改进的采样策略、滤波器设计、控制器优化和延时补偿等技术。
1. 引言
磁场定向控制(FOC)作为BLDC电机的高性能控制策略,通过将三相电流转换到旋转的d-q坐标系实现解耦控制。然而在实际应用中,d-q轴电流的波动问题普遍存在,导致转矩脉动、效率降低和噪音增加。这种波动主要来源于电流采样噪声、参数失配、延时效应和逆变器非线性等因素。
2. FOC基本原理与电流环结构
2.1 坐标变换理论
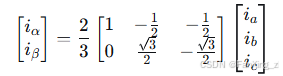
FOC控制的核心是通过Park和Clarke变换将三相静止坐标系转换为两相旋转坐标系:
Clark变换:

Park变换:

其中$\theta$为转子电角度。
2.2 电流环控制结构
d-q轴电流环通常采用PI控制器:

其中,
为d-q轴电压指令值,
, i_q为电流指令值。
3. d-q轴电流波动成因分析
3.1 采样与量化误差
电流采样过程中的噪声和ADC量化误差会直接引入到反馈电流中。采样噪声主要来源于:
-
传感器自身噪声
-
电磁干扰
-
ADC量化误差:

最低0.47元/天 解锁文章
2572

被折叠的 条评论
为什么被折叠?



