注:本文为 csdn 博主 xuuyann 考研高分 “高等数学笔记” 相关博文合辑。
原文短散,此处汇辑重排,一览到底。
图片清晰度受引文原图所限。
如有内容异常,请看原文。
高等数学笔记(汇总版)
xuuyann 已于 2023-05-10 15:16:47 修改
写在前面
这是本人之前考研的高数手写笔记,工科学硕数一考了 146(满分 150),笔记有一定参考价值,欢迎大家收藏借鉴。
不喜勿看,作为个人笔记电子档留存。
一、函数与极限,无穷大与无穷小
xuuyann 已于 2022-09-20 15:22:47 修改



二、极限的运算法则,极限存在准则,两个重要极限,无穷小的比较
xuuyann 已于 2022-09-20 15:23:36 修改



三、函数的连续性和间断性,闭区间上连续函数的性质
xuuyann 已于 2022-09-20 15:23:57 修改



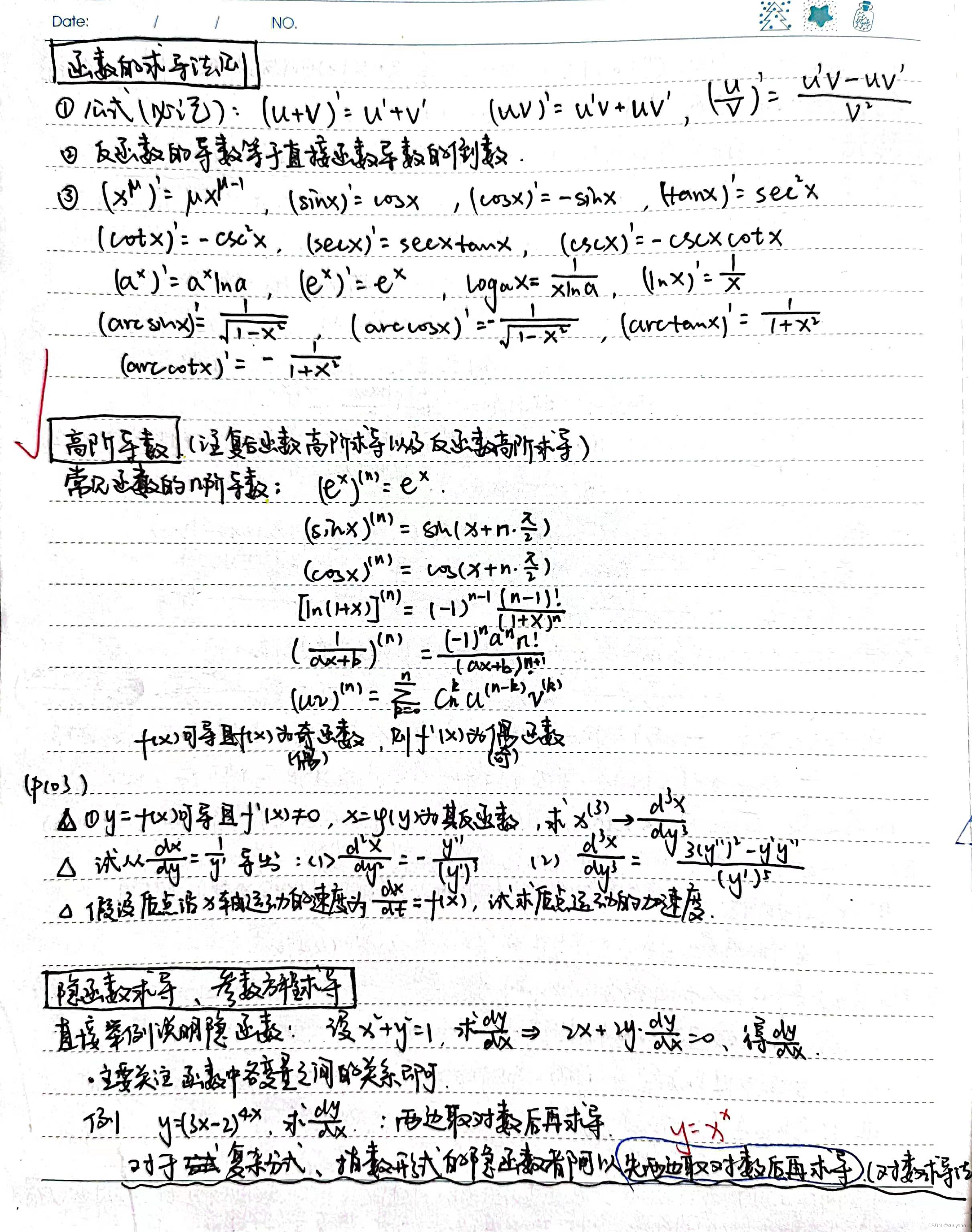
四、导数概念,函数的求导法则,高阶导数,隐函数求导、参数方程求导
xuuyann 已于 2022-09-20 15:24:19 修改



五、函数的微分,微分中值定理,罗尔定理
xuuyann 已于 2022-09-20 15:24:37 修改


六、拉格朗日中值定理,柯西中值定理,洛必达法则,泰勒定理
xuuyann 已于 2022-09-20 15:25:01 修改



七、函数的单调性和曲线的凹凸性、拐点
xuuyann 已于 2022-09-20 15:25:29 修改



八、函数的极值与最大值最小值,函数图形的描绘,曲率
xuuyann 已于 2022-09-20 15:25:48 修改



九、不定积分,分部积分法,有理函数的积分
xuuyann 已于 2022-09-20 15:26:16 修改




十、定积分的概念与性质,微积分基本公式,牛顿-莱布尼兹公式,变限函数求导
xuuyann 已于 2022-09-20 15:26:32 修改





十一、反常积分,柯西-施瓦茨不等式,闵可夫斯基不等式,定积分的应用
xuuyann 已于 2022-09-20 15:26:49 修改



十二、向量及其线性运算,平面及其方程
xuuyann 已于 2022-09-20 15:27:28 修改





十三、多元函数的极限及连续性,闭区域上多元连续函数的性质,偏导数,全微分
xuuyann 已于 2022-09-20 15:27:44 修改



十四、多元复合函数的求导法则,隐函数的偏导数,多元微分在几何上的应用
xuuyann 已于 2022-09-20 15:28:01 修改



十五、方向导数与梯度
xuuyann 已于 2022-09-20 15:28:18 修改



十六、无条件极值,条件极值(拉格朗日乘数法),最值求法,二元函数的泰勒公式
xuuyann 已于 2022-09-20 15:28:34 修改




十七、二重积分的概念、性质与计算,三重积分的概念、性质与计算
xuuyann 已于 2022-09-20 15:30:07 修改






十八、对弧长的曲线积分(第一类线积分),对坐标的曲线积分(第二类曲线积分),格林公式及其应用,平面上曲线积分与路径无关的条件
xuuyann 已于 2022-09-20 15:30:29 修改





十九、对面积的曲面积分,对坐标的曲面积分,高斯公式,斯托克斯公式
xuuyann 已于 2022-09-20 15:30:47 修改




二十、无穷级数,级数的审敛法
xuuyann 已于 2022-09-20 15:31:07 修改




二十一、幂级数,函数展开成幂级数,傅里叶级数
xuuyann 已于 2022-09-20 15:31:27 修改





via:
- 数学不好是原罪——高等数学笔记(汇总版)_高等数学笔记整理大全-优快云 博客
https://openrsl.blog.youkuaiyun.com/article/details/124558885
5万+

被折叠的 条评论
为什么被折叠?



