在求解线性回归的模型时,有两个需要注意的问题
一就是特征组合问题,比如房子的长和宽作为两个特征参与模型的构造,不如把其相乘得到面积然后作为一个特征来进行求解,这样在特征选择上就做了减少维度的工作。
二就是特征归一化(Feature Scaling),这也是许多机器学习模型都需要注意的问题。
有些模型在各个维度进行不均匀伸缩后,最优解与原来不等价,例如SVM。对于这样的模型,除非本来各维数据的分布范围就比较接近,否则必须进行标准化,以免模型参数被分布范围较大或较小的数据dominate。
有些模型在各个维度进行不均匀伸缩后,最优解与原来等价,例如logistic regression。对于这样的模型,是否标准化理论上不会改变最优解。但是,由于实际求解往往使用迭代算法,如果目标函数的形状太“扁”,迭代算法可能收敛得很慢甚至不收敛。所以对于具有伸缩不变性的模型,最好也进行数据标准化。
归一化后有两个好处:
1. 提升模型的收敛速度
如下图,x1的取值为0-2000,而x2的取值为1-5,假如只有这两个特征,对其进行优化时,会得到一个窄长的椭圆形,导致在梯度下降时,梯度的方向为垂直等高线的方向而走之字形路线,这样会使迭代很慢,相比之下,右图的迭代就会很快

2.提升模型的精度
归一化的另一好处是提高精度,这在涉及到一些距离计算的算法时效果显著,比如算法要计算欧氏距离,上图中x2的取值范围比较小,涉及到距离计算时其对结果的影响远比x1带来的小,所以这就会造成精度的损失。所以归一化很有必要,他可以让各个特征对结果做出的贡献相同。
下边是常用归一化方法
1). 线性归一化,线性归一化会把输入数据都转换到[0 1]的范围,公式如下

该方法实现对原始数据的等比例缩放,其中Xnorm为归一化后的数据,X为原始数据,Xmax、Xmin分别为原始数据集的最大值和最小值。
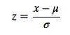
2). 0均值标准化,0均值归一化方法将原始数据集归一化为均值为0、方差1的数据集,归一化公式如下:

其中,μ、σ分别为原始数据集的均值和方法。该种归一化方式要求原始数据的分布可以近似为高斯分布,否则归一化的效果会变得很糟糕。
关于归一化方法的选择
1) 在分类、聚类算法中,需要使用距离来度量相似性的时候、或者使用PCA技术进行降维的时候,第二种方法(Z-score standardization)表现更好。
2) 在不涉及距离度量、协方差计算、数据不符合正太分布的时候,可以使用第一种方法或其他归一化方法。比如图像处理中,将RGB图像转换为灰度图像后将其值限定在[0 255]的范围。
选择方法是参考自http://blog.youkuaiyun.com/zbc1090549839/article/details/44103801,至于为什么,我现在也还不清楚
参考文献:
http://www.cnblogs.com/LBSer/p/4440590.html
NG讲义2012版
本文讨论了线性回归模型中特征组合与归一化的重要性,解释了如何通过特征组合减少维度,并探讨了特征归一化对模型收敛速度与精度的影响。文章对比了线性归一化与0均值标准化的方法,以及它们在不同场景下的适用性。
5万+

被折叠的 条评论
为什么被折叠?



