
1899年,.埃德蒙·兰道仅用16页就完成了他的博士论文,《Neuer Beweis der Gleichung/方程式的新证明》;但他本人却是个难以相处的人,但希尔伯特依然说,格丁根(哥廷根大学)必须得有兰道。
来源 | 《悠扬的素数:黎曼猜想趣史》
作者 | [英] 马库斯•杜•索托伊(Marcus du Sautoy)
译者 | 谈天星
希尔伯特的好友闵可夫斯基不幸早逝,格丁根大学随之空出了一个席位。年仅 45 岁的闵可夫斯基患上了致命的阑尾炎。那时候,希尔伯特刚刚解决华林问题,将数表示为三次方、四次方以及更高次方数之和。他知道,这正是这位好友所乐见的,因为这一结果推进了对方早先的一项成果。
凭借那项成果,年仅 18 岁的闵可夫斯基斩获法国科学院颁发的数学科学大奖。“在下一次研讨会上,我会谈谈华林问题的解决。闵可夫斯基对此满是关切,哪怕他还躺在病床上,经受着致命的折磨,无法到场。”
闵可夫斯基的离开对希尔伯特影响深远。一位格丁根学生是这样描述的:“那会儿我就在课堂上,希尔伯特流着眼泪告诉我们闵可夫斯基的死讯。在那个年代,出于教授和学生之间的地位差异,比起闵可夫斯基的过世,更让我们感到震惊的是看见希尔伯特哭了。”希尔伯特热切地寻找着继任者,希望对方能对数论怀有像闵可夫斯基那样的热情。
从各方面来看,希尔伯特最后选择的埃德蒙·兰道(Edmund Landau)都不是一个好相与的人。对于任命他还是另一人,似乎是有过争议的。希尔伯特询问自己的同事:“这两位,谁更难打交道?”毫无疑问,是兰道。
此时希尔伯特说,格丁根必须得有兰道。系里不缺讨喜的人,希尔伯特希望同事们能够同时挑战一下社会传统和数学传统。
兰道对自己的学生要求严格,在系里也是个出了名的“刺儿头”。他的学生们都生怕在周末被请去他家,他太喜欢做数学游戏了。兰道有一位学生正值新婚,要去度蜜月。在火车即将驶离格丁根之际,兰道向着站台飞奔而来,把自己最新的书稿从车厢的窗户塞了进去,要求道:“回来前,把它校对好!”
兰道很快就承袭了黎曼与高斯的传统,成为欧洲的中心人物,继续推进德拉瓦莱普桑和阿达马的工作。从他们建立好的大本营出发,去攀登黎曼之峰,这正契合了他的脾性。为证明高斯的素数定理,阿达马和德拉瓦莱普桑已经揭示,穿过数 1 的南北分界线上并无零点。现在的挑战是,证明在抵达黎曼那条穿过1/2的临界线之前,不会有零点出现。
哈拉尔·玻尔(Harald Bohr)加入了兰道的征途。玻尔虽身在丹麦哥本哈根,但会定期穿越欧洲,加入前往格丁根的朝圣之旅。他的哥哥尼尔斯·玻尔(Niels Bohr)后来因参与了量子物理理论的创立而闻名于世。
早在 1908 年的奥运会上,丹麦足球队取得银牌,作为主力的哈拉尔·玻尔就已一战成名。

为了定位黎曼图景中海平面上的点,兰道与玻尔共同迈出了成功的第一步。他们可以证明,大部分零点都集中在黎曼的神秘力量线附近。他们考虑了 0.5 和 0.51 之间的零点个数,并和这片狭窄区域外的零点个数做了对比。他们能够证出,大部分零点都在这片区域内。黎曼曾预测,所有零点都在那条穿过1/2的线上。兰道与玻尔虽然给不出如此明确的证明,但也已离开起跑线。
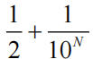
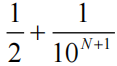
要想让这一论点成立,这片区域的宽度不一定非得是 0.01。无论有多窄,哪怕宽为
,兰道和玻尔也能证明大部分零点都在这片垂直区域内。但遗憾的是,他们都无法证实这就意味着大部分零点都在黎曼那条穿过1/2的线上。对此,黎曼自称已有证明,但一直都没发表。
这似乎并不合理。如果所有零点都在一片极小的区域内,那为什么我们没法得出结论说,大部分零点都在那条临界线上呢?这就是数学的奥秘。例如,对于每个数 N,在
和
之间的这片狭窄区域内,会有
个零点。
这一假设满足玻尔和兰道的推论,但并未要求任何零点都须在那条穿过1/2的临界线上。
此时的格丁根正着手实践镌刻在市政厅的那条格言,即这道中世纪城墙之外没有生活。正是受到希尔伯特的影响,黎曼时代的这座安安静静的大学城在 20 世纪初期成为数学重镇。在黎曼的时代,充满知识力量的地方当是柏林,但后来,希尔伯特拒绝了柏林大学的任职邀请。这座留存着高斯遗产的中世纪小镇,才是从事数学的绝佳环境。
希尔伯特能为格丁根带来最优秀的数学家,要感谢保罗·沃尔夫斯凯尔的资金支持。1908 年,沃尔夫斯凯尔过世。根据遗嘱,第一个证出费马大定理的人将会获得他所提供的 10 万马克奖金。
怀尔斯从小就知道这个奖项,正是受此激励,对证明费马谜题产生了兴趣。(德国在两次世界大战之后遭遇了通货膨胀,所以,怀尔斯凭借其证明最终获取的奖金是大幅度贬值的。)沃尔夫斯凯尔在遗嘱中规定,在该定理得证之前,每年的奖金利息都将用于资助访问格丁根的学者。
兰道负责检查格丁根大学学院收到的各种证明方案。但他最终不堪重负,将手稿交给了自己的学生们,还附有一份需要填写的拒信范本。信上说:“感谢您对费马大定理的解答。第一处错误出现在第……页第……行……”希尔伯特则承担了更为愉快的工作,也就是花掉这笔奖金被领取前所产生的利息。有了这样的便利,他就可以邀请许多数学家前来格丁根。他可太希望费马大定理不能得证了。“我干吗要杀掉一只会下金蛋的鹅呢?”他问道。
一般来说,当年每位想走向世界的年轻数学家,首先都会去格丁根。
有学生曾将希尔伯特在数学上的影响比作“魔笛手的甜美笛声……引得一大群老鼠跟着他掉进了数学的深河”。19 世纪,在席卷欧洲的政治与思想革命中,欧洲大陆的学术机构蓬勃发展。毫不意外,这群“数学老鼠”大多来自欧洲学界。
相比之下,当时故步自封的英国并没有能力去吸收来自欧洲大陆的先进思想。英国凭借其海岸线有力阻挡了法国大革命引发的政治动荡,但同时,英国数学界也错过了黎曼的革命。虚数仍被视为危险的欧洲观念。17世纪,牛顿和莱布尼茨对于谁先发现微积分产生了争执。自此以后,英国在数学上的确再无重大突破。即便是牛顿最早发现了微积分,他的祖国也因拒绝承认莱布尼茨的非凡数学成就而在数学上裹足不前。不过,转机出现了。
推荐阅读

《悠扬的素数:黎曼猜想趣史》
作者:[英] 马库斯•杜•索托伊(Marcus du Sautoy)
译者:谈天星
全新译本,20周年纪念增订版!增加了初版至今20多年间的素数进展和突破。
1.被译为11 种语言,全球累计销售百万册
2.荣获意大利皮亚诺奖,德国格丁根科学院萨托里乌斯奖
3.欧拉、高斯、黎曼、希尔伯特、兰道、哈代等大师攀登黎曼猜想高峰的天才与疯狂、失败与突破的数学史上最热血的人类智慧之战。
4.没有黎曼猜想就没有今天的互联网,顶尖数学家、计算机专家都在研究素数。
5.补上最精彩的一堂数学课:为什么顶级黑客都在研究素数?没有黎曼猜想,就没有今天的互联网?
埃德蒙·兰道与格丁根的数学征程
14

被折叠的 条评论
为什么被折叠?



