

广义相对论(General Relativity) 是描述物质间引力相互作用的理论。其基础由阿尔伯特·爱因斯坦于1915年完成,1916年正式发表。这一理论首次把引力场等效成时空的弯曲。
来源 | 《微积分的历程:从牛顿到勒贝格》
作者 | [美] William Dunham
译者 | 李伯民 汪军 张怀勇
1
第一次波折:争议与批评
莱昂哈德·欧拉于1783年辞世,这一年距莱布尼茨发表第一篇微积分论文一百周年仅差一年。无论按什么标准衡量,这一百年都是数学史上非同寻常的一个世纪。到目前为止我们考察的结果虽然只是这个世纪获得的丰硕成果中的一小部分,却说明已经有了巨大进展。牛顿、莱布尼茨、伯努利兄弟和欧拉致力于无穷量研究,发现了大量正确的而且时常是惊人的结果,同时确立了微积分作为数学中的典范学科分支的地位。让我们不由得对这些开拓者们肃然起敬。
头一个世纪的一个重要的发展趋势是人们把视点从几何转向分析。当问题变得越来越棘手时,它们的解对曲线几何性质的依赖越来越少,而对函数代数运算的依赖却越来越多。莱布尼茨在1673年证明他的变换定理所用的复杂的几何图解在18世纪中期欧拉的著作中已经无影无踪了。从这个意义上说,分析学已经具备了更现代的形态。
但是这门学科的其他常见内容却销声匿迹了。例如,很大的一个缺失是现代分析学的支柱——不等式。17世纪和18世纪的数学家们主要处理等式。他们的工作倾向于利用巧妙的代换将一个公式变换成另一种想要的形式。虽然雅各布·伯努利对调和级数发散性的证明是以熟练地运用不等式为特征,但是这样的例子总体上是罕见的。
同样稀少的是对广泛函数类的分析。欧拉和他的前辈们擅长研究特定的积分或级数,但是他们对连续函数或可微函数这样的函数类的一般特性缺乏兴趣。把关注的焦点从特殊的函数转移到一般的函数将成为下一个世纪的标志。
早期微积分和当今微积分的另外一个显著差异是对逻辑基础的关注不同。正如我们所见,那个时期的数学家在使用结果时既不证明它们的正确性,在许多情况下,甚至也不考虑这个问题。一个例子是用积分的无穷级数代替无穷级数的积分的这种趋势,也就是说,把
和
看成是相等的。这里的两种运算(对函数积分和对级数求和)都包含无限的步骤,这种不加区别的交换可能会导致错误结果。只有在满足某些条件时这种交换才是可行的。在这方面,微积分的先驱们多半依靠直觉而不是根据推理进行运算。不可否认,他们的直觉通常是非常可靠的。特别是欧拉,他具有一种神奇的能力,在他陷入数学的深渊之前就准确知道自己可以走多远。
然而,微积分的基础依旧是令人怀疑的。作为一个例证,我们不妨回忆一下无穷小量所扮演的角色。为了解释这些称为无穷小的量,从莱布尼茨到欧拉,他们都作过尝试,但是从来没有给出令人满意的证明。像一条数学变色龙,无穷小看起来不可避免地同时既是零又不是零。从根本上说,它们的存在似乎是自相矛盾和违背直觉的。
数学家们将他们的结论建立在“逐渐消失的”量上不是什么好事。牛顿是这种动态方法的倡导者,对于醉心于运动研究的他来说,这或许是一种合理的主张。在引入我们现在所谓的导数的时候,他考察了逐渐消失的量的商,并且写道,他所指的这些逐渐消失的量的“最终比”,“既不是在它们消失之前的比,也不是在消失之后的比,而是正当这些量消失时的比”。除了想象一个量在消失(无论含义是什么)之后的概念以外,牛顿还要求他的读者想象当分子和分母噗的一声同时消失在稀薄空气中时的比。他的描述看起来给予非难者以可乘之机。
批评很快来临,而批评者是乔治·伯克莱(1685—1753)——英国著名的哲学家和克罗因教区的主教。伯克莱在他1734年所写的《分析学家》一文中,嘲笑那些遣责他依靠宗教信仰而不是理性行事的科学家们自己也在谈论着无穷小的量或逐渐消失的量。对伯克莱来说,这是最模糊的思想和最虚伪的行为。这一点隐含在文章长长的副标题中:
——致一位不信教的数学家的评论,其中剖析现代分析学的目标、原理和结论是否比宗教的神秘和教义有更清晰的构思或更缜密的推理。
伯克莱的评论非常刻薄。对于这位主教来说,无论微积分是建立在牛顿的逐渐消失的量的概念上还是建立在莱布尼茨的无穷小的概念上,都没有多大差别。他得出结论:“越是用心分析和追寻这些虚无飘渺的思想,越发陷入糊涂与迷茫的深渊。”伯克莱以拷问牛顿的口吻,提出了当时闻名遐尔的质疑:
这些流数到底是什么?逐渐消失的增量的速度有多么大?这些相同的逐渐消失的增量是什么?它们既不是有限的量,也不是无穷小的量,更不是零。难道我们不能把它们称为消逝的量的鬼魂吗?
伯克莱对莱布尼茨的无穷小量的概念也毫不客气。他嘲讽道,承认一个无穷小量的概念超出了“我的能力”,接受像
这样的无穷小量的无穷小部分“对任何人而言都是无限困难的”。
伯克莱并没有对数学家们从这些可疑的方法推出的结论提出质疑,他拒绝的是这些结论背后的逻辑。事实上,微积分是求切线和确定极大值或极小值的极好工具。但是,他争辩说,它的正确答案来自错误的思想,正如在某种错误补偿中某些错误抵消其他错误,从而掩盖其中隐藏的漏洞。他写道:“错误也许能产生真理,但是决不会产生科学。”
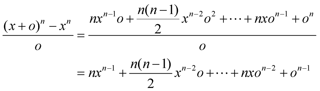
我们借助伯克莱的例子来说明他的观点,使用现代符号表示就是,当
时,求
。按照当时的方式,他先对 x 增加一个微小的非零增量o,然后求微商

到这一步为止,o依然被假设为一个非零的量,伯克莱强调:“如果没有这个条件,我就不能在下一步推出任何结果。”但是,随后o忽然变成了零,所以

伯克莱不赞成的是第二个假设与第一个假设完全冲突,因此他否定由此推出的任何结论。毕竟,如果o是零,我们不仅不能把它作为分母,而且必须承认x根本就没有增加。所有的论据立刻土崩瓦解。伯克莱写道:“当提到让增量消失时,前面那个增量为某种量的假设就被破坏了,然而,由这个假设所推出的结果,即由它获得的表达式却保留了下来。”
对这位主教来说,这种推理方法是完全不能接受的,并且是“一种极端自相矛盾的讨论方式,而这种方式在上帝那里是不允许的”。在《分析学家》最具火药味的一段话中,伯克莱对比了他所说的微积分的错误逻辑与人类知识要求的高标准,“我相信在人类所有知识门类的任何一种知识中,人们都不会承认像在数学证明中所接受的这种推理”。
伯克莱主教充分阐明了他的观点。即使微积分的结果似乎是正确的,并且当应用于像力学或光学中的实际现象时,得到的解答也和观测结果一致,但是,如果基础不牢的话,这种结果依然一钱不值。
必须做些事情了!在其后的数十年中,很多数学家试图加固微积分摇摇欲坠的基础结构。让·勒朗·达朗贝尔(1717—1783)就是其中的一员。他是一位备受尊敬的学者,与德尼·狄德罗(1713—1784)一起在法国编纂《百科全书》。对于微积分的基础,达朗贝尔同意无穷小量或者逐渐消失的量是没有意义的。他毫不含糊地宣称:“一个量或者是有,或者是没有。如果是有,它就还没有消失;如果是没有,它就确实消失了。假设存在介于这两者之间的中间状态,就只能是一头由狮头羊身和蛇尾构成的吐火怪物。”
相反,达朗贝尔提出了建立在“极限”概念基础之上的微积分。在处理导数时,他把
看成是有限项的商的极限。他将这个商表示为
,而我们现在认为是
。那么,
是“在我们假定z和u为实数并且不断减小时,比值
越来越接近的量。没有比这更清楚的定义了”。
达朗贝尔取得了某些进展。他没有使用无限小,也没有使用逐渐消失的量,并且由于突出极限作为修补微积分薄弱基础的方法而理应受到称赞。
但是断言达朗贝尔扭转了乾坤,那是言过其实的。虽然他可能已经察觉到正确的路径,但是他没有在这条路径上走得很远。缺少的是“极限”的明确定义,以及没有从极限出发推导微积分的一些基本定理。最终,达朗贝尔不过是提出了走出困境的方法而已。这些思想的完全确立尚需等待一代人或者更长的时间。
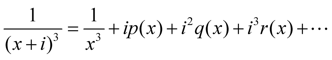
与此同时,一位更卓越的数学家卷入了这个难题,并且提出一种完全不同的解答。他就是约瑟夫·路易·拉格朗日(1736—1813)——18世纪晚期在欧洲数学界有着重大影响的一位杰出数学家。对于这个基础性的问题,拉格朗日发誓要提供一个逻辑上完备的构架,使得微积分的宏伟大厦可以建立它的基础上。在他1797年所写的《解析函数论》一书中,他设想了一种“排除无穷小量、逐渐消失的量、极限以及流数所有因素在内”的微积分。鉴于以往的任何合理性都不具备优势,拉格朗日宣誓要重新开始。
他的基本思想是把无穷级数作为微分的源头而不是结果。这就是说,拉格朗从他要寻找导数的函数f (x)开始,把 f (x+i)表示成 i 的无穷级数
(1)
的形式,其中,正如他指出的那样,“p,q,r,… 将是从简单函数x导出的并且与i无关的新函数”。于是,f 的(一阶)导数恰好就是
,在这个展开式中,
为i的系数。
任何熟悉泰勒级数的人都会明白拉格朗日得到了什么,但是对他而言重要的是注意这个级数出现在先,而导数是作为它的一个结果,在现代分析学中导数出现在级数之前。
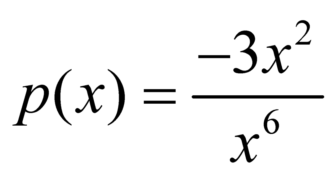
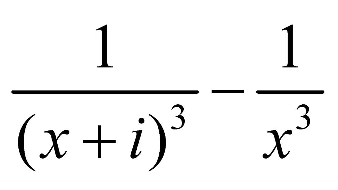
用一个例子可以说明这一点。假定我们想求
的导数
。(顺便指出,“
”这个记号来源于拉格朗日。)展开式(1)所示的函数,得到
,所以

因此
(2)
至此,拉格朗日在式(2)中令
,得到
。因此,
。对牛顿或莱布尼茨来说,这个结果自然是不足为奇的。
对拉格朗日而言,这个推导过程避免了无穷小量,同时也避免了那些湮灭不见的消逝的量的鬼魂。同样,他无需用达朗贝尔的没有确切定义的极限。当拉格朗日令
时,他的意思是严格的。在式(2)中不会遇到任何陷阱,因为在任何分母中都没有出现零。他认为这是解决导数问题的纯粹的分析方法,不需要任何曾经困扰他的先驱们的逻辑转换。这个方法竟然如此精致,如此整齐。
然而,果真是这样吗?举一个事例,可以说明用这种方式定义导数过于曲折。尽管牛顿和莱布尼茨的思想夹杂着曲线和三角形,并且建立在不牢固的基础之上,但是他们对研究对象的定义是直接的。在拉格朗日的思想中没有任何的图解,却把导数同切线斜率有关的事实完全掩盖了。
这还只是次要的毛病。更大的麻烦是在对待比上述函数更为复杂的函数如何求导数的问题上。在我们的例子中,问题的关键是展开并且简化
,以便从结果中分解出因子i。但是每个函数的可以展开和简化的保证在哪里?这样构造的级数是收敛的保证在哪里?而这样构造的一个收敛级数收敛到我们原始的函数的保证又在哪里?这些才是深层次的和重要的问题。
最终,拉格朗日的理论经不起如此严格的推敲。1822年,法国数学家奥古斯丁·路易·柯西发表了一个例子,证实拉格朗日的思想存在致命缺陷。我们在下一章的主角柯西证明了函数

及其在x=0的各阶导数为零。因此,作为原来函数的幂级数,
。这反过来说明,如果我们从函数 f 开始,将它写成级数的形式,我们得到一个完全不同于开初的函数!作为一个级数,我们无法区分上面的函数 f 和常值函数
。柯西的两个不同的函数有一个共同幂级数的例子,说明分析学完全不能按照拉格朗日的设想来创建。
总之,基于级数的导数定义以及随之而来的基于级数的微积分的基础被抛弃了。虽然拉格朗日未能完成他的主要使命,但却作出了许多贡献,引导了新世纪的发展。首先,他将基础问题提升到更突出的位置,使之成为既有趣又重要的问题。其次,他试图从他的基本定义推导出微积分的种种定理,在这个过程中引入了不等式,并且对不等式的应用展现出熟练的技巧。最后,正如Judith Grabiner在她的《柯西的严密微积分的起源》一书中所说:
阅读拉格朗日的著作,人们总是会被他对普遍性的感悟所打动……,他对普遍性的极端钟情在那个年代是非同寻常的,与许多他同时代人专注于解决特定问题形成鲜明对比。他提出的微积分的代数基础与其普遍化的思想倾向是一致的。
尽管数学家们作出了这么多贡献,在18世纪结束时,微积分的逻辑危机依然没有解决。达朗贝尔和拉格朗日以及其他致力于处理这些问题的数学家的工作没能平息批评的浪潮。伯克莱主教说过这么一句话:“我要指出在其他每一种科学中,人们总是用他们的原理来证明结论,而不是用他们的结论来证明原理。”直到进入19世纪,他的话听起来还一直带有真实性的意味。
但是一种解决方案近在咫尺了。在19世纪初期,正是认识到级数非唯一性的柯西,行将发现一个可以圆满解释微积分基础的方法。到他完成这个任务的时候,分析学就超越了他的前辈们所能设想的情景,成为远具普遍性、抽象性和充满不等式的学科。同时,这门学科将会越发严密。
现在我们就转向这位杰出的人物,转向他所进行的革命性的工作。
2
第二次波折:争议与批评
关于微积分的演化历程,我们讲述到了1873年,此时离欧拉辞世将近一个世纪,而距牛顿和莱布尼茨初创微积分已逾两个世纪。及至这时,柯西、黎曼和魏尔斯特拉斯为推进微积分严格化而做的工作,足以令随后可能登场的任何后世的伯克莱们三缄其口。那么,在分析学中还遗留着有待攻克的难题吗?
答案当然是……“当然”。当数学家们竭尽全力建立像连续性和可积性这样一些基本概念时,他们取得的巨大成功也引出了连带的问题,这些问题或者具有诱惑力,或者极端困难,或者既富诱惑力又极端困难。有许许多多独具特色的例子,从这些例子中可以窥视未来的研究途径,而魏尔斯特拉斯的病态函数就是这些例子中最著名的一个。下面我们将要考察几个其他的例子,这些例子将在本书其余几章讨论。
第一个例子就是通常所说的“直尺函数”,是在约翰尼斯·卡尔·托梅(1840—1921)于1875年所写的一本书中提出的,这是一个简单但是带有挑战性的例子。他在介绍直尺函数时用这样的开场白:“在单独的点连续或者不连续的可积函数是五花八门的,但是最重要的是识别那些通常是无限不连续的可积函数。”
托梅函数是在开区间(0, 1)上由

定义的函数。由此可知,
,而
。图10-1显示这个函数在
之上的部分图形;在
之下,图中散列点的密集程度是难以想象的。这个图形由于呈现一条直尺上的垂直刻度,因而得名。

图 10-1
应用前一章引进的
定义,很容易证明下面的引理。
引理 如果a是区间(0, 1)内的任意点,那么
。
证明 对于
,我们选择一个满足
的自然数N。证明依据如下结果:在区间(0, 1)内仅有有限个最简形式的有理数是以N或者更小的自然数作为分母的。例如,以5或者小于5的自然数作为分母的这种分数有1/2, 1/3, 2/3, 1/4, 3/4,1/5, 2/5和3/5。由于这个集合是有限的,我们可以求出一个足够小的正数δ,使得区间(a-δ, a+δ)落入(0, 1)内,并且这个区间不包含这些分数(a除外)。现在选择满足0<|x-a|<δ的任意x,并且考虑两种情形。第一,如果x=p/q是最简形式的有理数,那么
,因为只要
在区间(a-δ, a+δ)内,q必定大于N。第二,如果x为无理数,那么同样有
。无论哪一种情形,对于
,我们已经求出一个
,只要
,就有
。根据函数的极限的定义,
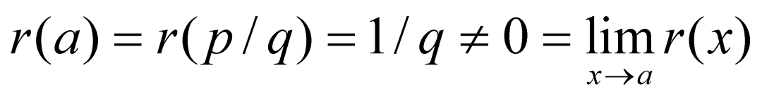
。
以这个引理作后盾,我们可以证明直尺函数具有极为惊人的性质:它在区间(0, 1)的每个无理数点是连续的,而在其中每个有理数点是不连续的。这是立即可得的结果,因为如果a为无理数,那么根据引理,有
——恰好符合r(x)在x=a连续的柯西定义。另一方面,如果a=p/q是一个最简形式的有理数,那么

所以直尺函数在x=a是不连续的。
这个结果向我们展现一种奇特的情景:直尺函数在无理数点是连续的(我们越来越不可靠的直觉把它视为“不间断的”),而在有理数点是不连续的(“间断的”)。绝大部分人会发觉,函数的连续点同不连续点能够如此缠结在一起是难以想象的。但是,上面的数学论证是明确无误的而不是模棱两可的。
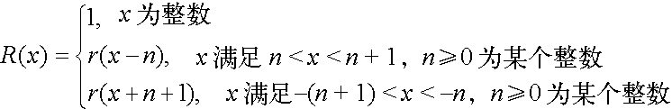
我们把直尺函数的定义域从区间(0, 1)扩展到全部实数集,这将会是有用的。为此目的,令新函数在每个整数点取值1,并且把r(x)的拷贝置于每个子区间(1, 2), (2, 3), …之上。更确切地说,我们定义扩展的直尺函数R为

按照上面的定义,对于任何实数a,我们有
,所以R在每个无理数点是连续的,而在每个有理数点是不连续的。
直尺函数提出一个自然的问题:“怎样反转角色方能创建一个在每个有理数点连续而在每个无理数点不连续的函数?”这个问题虽然说起来非常简单,但是它的解答是很深奥的,而且是极为有趣和令人着迷的。这将是下一章讨论的主题。
直尺函数R值得注意的另一个原因,在于它不连续的范围尽管是无限的,然而它在区间[0, 1]是可积的。自然,这就是托梅在上面那本书的开场白中道出的实质。为了证明这一点,我们利用第7章中的黎曼可积性条件。
我们从一个d > 0的值和一个固定的函数振幅 σ> 0开始。然后选择一个满足1/N < σ 的自然数N。按照前面的论证,我们知道区间[0, 1]仅含有有限个最简形式的有理数p/q,使得R(p/q)≥1/N,也就是说,这些最简形式的有理数的分母不大于N。我们令M为这种最简形式的有理数的个数,并且划分区间 [0, 1]使其中每个最简形式的有理数落入宽度为d/2 M的一个子区间内。我们把这些子区间称为A类子区间,也就是函数振幅超过σ的子区间。用黎曼的术语,我们有

所以当
时
。这正好是黎曼需要建立的可积性条件。换句话说,积分
存在。当知道这个积分存在后,我们很容易进一步证明
。
应当说明,直尺函数所扮演的角色同第7章中的黎曼病态函数是相仿的。这两种函数都是无限不连续的,然而又都是可积的。它们之间的主要差异在于直尺函数更为简单,而在某些情况下,小小的简单性却是不可轻视的。
这些例子提出一个令数学家们神往的问题。回忆一下,狄利克雷函数是处处不连续的和非黎曼可积的。相反,直尺函数仅在有理数点是不连续的,并且是可积的。毫无疑问,直尺函数存在一种极端的不连续性,然而它仍然具备足够的连续性使其成为可积的。凭借这样的证据,数学家们猜测,一个黎曼可积函数虽说可能是不连续的,但是不至于过分地不连续。函数的连续性与可积性问题将使分析学家们在19世纪剩余的岁月忙得不亦乐乎。从本书最后一章我们会看到,这个举世瞩目的问题是由亨利·勒贝格着手研究并于1904年最终解决的。
我们在下面举出的三个例子是相互关联的,所以可以把它们放在一起考察。像直尺函数一样,这几个函数具有令人惊奇的特性,所以是大多数分析学教科书务必讨论的。
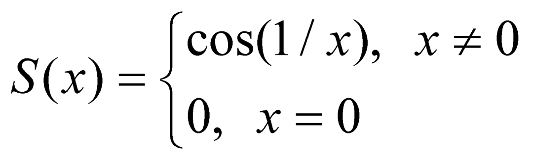
首先,我们定义函数

并且在图10-2中画出它的图形。当x趋近零时,其倒数1/x无限增加,致使cos(1/x)在原点的任何邻域内从-1到1无限次地来回摆动。如果用一种委婉的说法,那就是函数S(x)在原点附近剧烈地振荡。
通过引进序列
,并且考察函数图形上对应于
的点,我们证明不存在极限
。如图10-2中所示,我们的函数交替地选取峰值与谷值。就是说,我们有
,但是
。由于后面这个极限不存在,极限
也就不存在,而这本身又意味着
在
是不连续的。

图 10-2
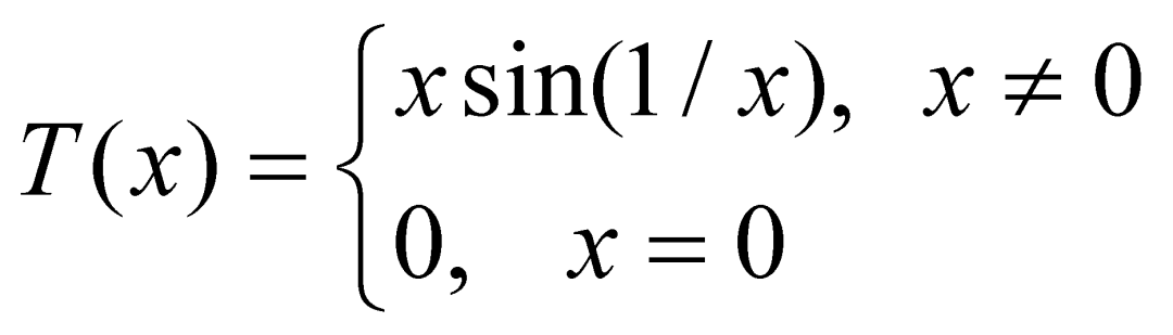
与此相关的第二个函数是

它的图形在图10-3中给出。由于函数定义中包含乘数x,当x趋近原点时T的无限次振荡逐渐衰减。

图 10-3
在任何非零点,T是两个连续函数
和
的乘积,所以它本身是连续的。由于
和
,挤压定理保证
,所以T在
也是连续的。总之,T是一个处处连续的函数。它经常被作为一个例子引用,用来说明函数是“连续的”与“一笔就可以画出图形”不是同一回事。在初级微积分教程中,后面这种表述可能算是一种有用的特征,但是在原点的邻域内,不可能用所有这样上下振荡的值绘制
的图形。
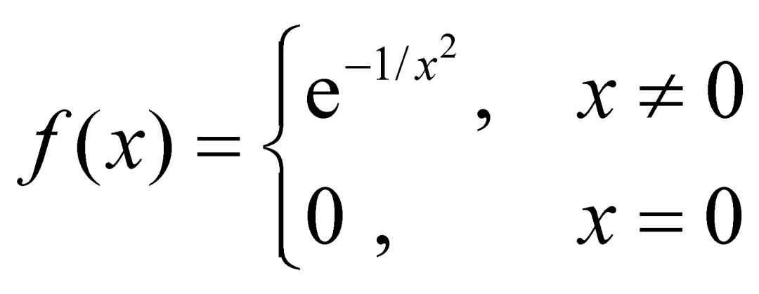
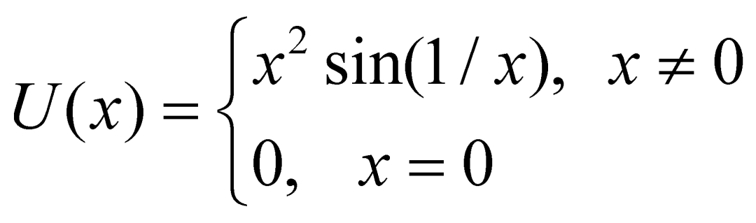
最后,我们来考察第三个函数,这是三个相关函数中最富刺激性的函数,其定义为

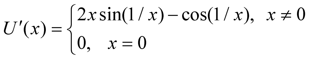
表达式中的二次系数x2加速函数曲线在原点附近的衰减。由于U(x) = xT(x),而其中两个因式是处处连续的,所以U是处处连续的函数。
这时困难在于可微性。在任何点
,U无疑是可微的,并且由微分法则有
。函数在
也是可微的,这是因为

其中最后一个极限利用了我们刚见到的同样的“挤压”。所以,尽管函数U的值在原点附近无限次地上下摆动,它在那里依然具有一条水平切线。
我们证明了U是处处可微的,它的导数为

可惜这个导数不是连续函数,我们只要再次考虑序列{1/kπ},并且注意极限

并不存在,就知道这一点。因此,
是不存在的,所以
在
是不连续的。总之,U是一个具有不连续导数的可微函数。
这个例子不禁使我们想起那个著名的定理:一个可微函数是连续函数。对于这个定理作出如下修正是自然的:“一个可微函数的导数必定是连续函数。”然而,函数U(x)这个例子表明,这个修正是错误的。
这三个函数同样使连续性同介值定理之间的关系出现混乱。正如我们所见,柯西曾经证明,一个连续函数必定遍取介于它的任何两个值之间的所有值。可以把这个几何上不言而喻的事实看作连续性的本质,而人们据此可以推测,一个函数是连续的,当且仅当它在定义域的每个区间上具备介值特性。
但是,这个猜想再次被证明是错误的。让我们考虑上面第一个例子的函数S(x),把它作为一个反面例子。我们已经看出S在原点是不连续的,但是可以断定它在每个区间上具备介值特性。
为了证明这种特性,假定对于a < b有
。根据余弦函数的性质,我们知道
。现在考察下面两种情况。
首先,如果0 < a < b,或者a< b < 0,那么S在整个区间[a, b]上是连续的,所以根据介值定理,对于(a, b)中的某个c有S(c) = r。
其次,如果a< 0 < b,我们可以固定一个满足
的自然数N。于是,有
,并且当x在正数
与
之间取值时,1/x在2 Nπ与
之间取值。在这个过程中,
的值从
连续地变化到
。根据介值定理,在
与
之间(并因此而在a与b之间)必定存在一个满足
的c。上述断言由此得以证明。
总而言之,我们列举的三个例子证明了一个可微函数的导数并非一定是连续的,同时,具备介值特性的函数未必一定是连续函数。这两个结论似乎显得离奇,然而还有一个更令人吃惊的结果。
这个结果是由法国数学家伽斯腾·达布(1842—1917)发现的。达布以对分析学的两大贡献而闻名于世。第一,他简化了黎曼积分的推演,以简便得多的方法达到同样目的。当今的分析学教科书在导入积分时,倾向于采用达布精致的处理步骤而不用黎曼原来的方法。
不过我们在这里要提出的是达布的第二个贡献。那就是现在所说的“达布定理”,他在这个定理中证明了函数的导数虽然不一定是连续的,但是必定具备介值特性。达布的论证依据是任何一本分析学入门教材都要介绍的两个结果:其中一个是,连续函数在有界闭区间上取一个极小值;另一个是,如果g是可微函数,并且在区间(a, b)内的点x = c具有一个极小值,那么
。
达布定理 如果f (x)是区间[a, b]上的可微函数,而r是任意一个满足
的数,那么在(a, b)内存在一点c满足
。
证明 我们从引进一个新函数
入手。由于f是可微的,它是一个连续函数,而rx也是连续的,所以g在[a, b]上是连续的。进一步说,g是可微的,因为
。
在[a, b]内存在一点c, 函数g在这个点取一个极小值。由于
,而
,我们看出极小值不可能出现在端点a和b,所以c位于(a, b)内。于是,根据上面引述的第二个结果,
,或者简单说
因此
取介于
和
之间的这个中间值r,正如定理的要求。
读者不妨回忆一下柯西对中值定理所作的证明,为了推断函数取中间值,他假定函数的导数是连续的。如今我们看出,柯西可以抛开他的假设而不必舍弃其结论。从达布定理还可以推出,一个不具备介值特性的函数,例如狄利克雷函数,不可能成为某个函数的导数。
达布证明了导数与连续函数同样具有介值的特性。这又提出另外一个问题:“一个导数到底在何等程度上是不连续的?”我们在本书第13章将会看到,对于这个问题,勒内·贝尔在1899年提供了一个答案。
如果说导数遇到麻烦,那么积分会遇到更大的麻烦。以往我们指出过,即使函数序列{fk}是点态收敛的,对于取极限和求积分的过程,一般不能推断
(1)
魏尔斯特拉斯证明了一致收敛是保证交换极限与积分的充分条件,但是不能反过来成为必要条件。这就是说,已经发现若干函数序列{fk}的例子,它们是点态收敛而非一致收敛的,但是式(1)对它们依然成立。数学家们或许忽略了某个中间条件,这种条件不具有一致收敛那样强的限制,却使我们能够进行所渴求的对取极限与求积分的交换。
或者——乍看起来这是极端不可能的“或者”,黎曼积分的定义也许存在缺陷。按照黎曼的做法,他在处理积分中可能误入歧途,走上一条需要某些特殊条件才能使式(1)成立的道路。倘若果真如此,那么可以把他的积分视为不完善的。
从表面上判断,这无异于异端邪说,因为黎曼积分已经成为数学分析的支柱。达布把它描述为“唯有最聪慧的人才能取得的”一个创举。保罗·杜布瓦·雷蒙则这样表达他的信念,黎曼的定义是无法再改进的,因为它把可积性的概念延伸到最大限度。不过,正如我们将会见到的那样,种种美中不足促使大家研究定义范围更广阔的积分。这一研究的结果就是20世纪初建立的勒贝格积分论。
概括起来说,上述几个函数提出了这样一些问题:
我们能构造出一个在每个有理数点连续而在每个无理数点不连续的函数吗?
一个黎曼可积函数的不连续性可能达到何种地步?
一个导数可以在何等程度上是不连续的?
我们能以任何一种方式弥补黎曼积分的缺陷吗?
虽然这里并没有列举所有的问题,但是已经举出的这些问题是数学分析在19世纪的最后四分之一世纪所面对的关键性问题。由于这些问题的特殊本质,在柯西、黎曼和魏尔斯特拉斯对分析学作出贡献之前是很难被提出来的,就更不用说给予回答了。随着问题变得越来越复杂,求解也就需要越来越周密的推理。在本书余下的几章中,我们将简要地阐述如何寻找这四个问题的答案。
不过,我们的第一站将停留在格奥尔格·康托尔于1874年所写的一篇论文上,正是这位天才促成了集合论的诞生,并且运用他的思想重新证明了超越数的存在。他的成就同时说明这样一个道理,对于人们长期以来认为已经解决的问题再展开思考,还是会大有裨益的。
推荐阅读

作者:[美] William Dunham
译者:李伯民 汪军 张怀勇
第七届文津图书奖推荐书目
这不是一本数学家的传记,而是一座展示微积分宏伟画卷的陈列室
汇聚了牛顿、莱布尼茨、伯努利兄弟、欧拉、柯西、黎曼等耳熟能详的数学大师经典卓著


本文讲述了微积分发展历程,早期微积分在逻辑基础上存在问题,如无穷小量概念模糊,引发伯克莱主教批评。达朗贝尔提出基于“极限”的微积分,但未完善;拉格朗日试图用无穷级数定义导数,也有缺陷。还介绍了直尺函数等特殊函数,引出连续性、可积性等问题,推动后续研究。
10

被折叠的 条评论
为什么被折叠?



