什么是图:
按照数据结构的定义,图由顶点集V(G)和边集E(G)组成,记为G=(V,E)。其中E(G)是边的有限集合,边是顶点的无序对(无向图)或有序对(有向图)。
对有向图来说,E(G)是有向边(也称弧(Arc))的有限集合,弧是顶点的有序对,记为<v,w>,v、w是顶点,v为弧尾(箭头根部),w为弧头(箭头处)。
对无向图来说,E(G)是边的有限集合,边是顶点的无序对,记为(v, w)或者(w, v),并且(v, w)=(w,v)。
例子:
微信是有向图,因为你钓妹子不成功,妹子把你删了后仍然出现在你的好友列表里,只是再也接收不到你发的信息而已。
QQ则是无向图,妹子把你删了之后,连带着会影响你的好友列表,从你的好友列表里面消失,从此你们各过各的,互不影响。
什么式计算图:
计算图就是将计算过程图形化表示出来。是一种描述方程的“语言”,既然是图,则有节点(变量),边(操作(简单函数))。下面是个例子:

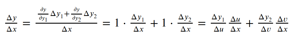
怎么用呢?
结合链式法则可以对给定计算图表示微分

经过逐级放大,x的变化传递到y,根据链式求导法则:

另一个例子:


复杂一些的例子:

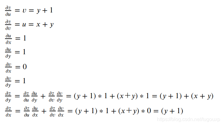
如果求上图中z对x,y的偏导(偏微分),等于x, y到顶点z所有路径的微分的和。步骤如下:
1.计算每个边对应的微分,比如:

2.对于每条从z到y,x的路径,所有边的微分相乘求得该路径上的微分。
3.将该变量到z所有路径上的边乘积得到的微分相加.
从计算图数据流向的角度,相当于每个图中每个终端节点(代表自变量)的微小变化反馈给顶层节点的过程,所谓蝴蝶效应,这里可以类比为变元x,y对z引发的蝴蝶效应,所以,从这种角度来看,可以按照下图中颜色箭头标识的路径来理解。

当需要求多个变量的偏微分时,反向的模式(从根开始)更有效率
计算方法一样【本质是一样的,可以理解成,链式法则相乘的部分顺序颠倒】

下面的流程比较好理解,可以看成是正常的多元函数微分求导的过程。
就像是剥洋葱,简单的说,上上图标识的从里往外面剥(四维空间可能能办到 :) ),而上图则是正常的剥法,从外向里面剥.
计算图中,可能会出现同一个节点出现在图的不同位置的情况,比如,如下函数的计算图:


x节点出现在了图结构的不同位置,对于这种的处理方式仍然是把他们当做不同的节点,不同的变量求微分处理。

BP的理解:
BP是Back Propagation的简称.

信号的传递关系如下公式描述:
其中是非线性函数,也叫激活函数。
Loss:损失函数
:激活函数
: l -1层的第j个节点 与 l层的第i个节点 的连接权重
: 第l层的输入
:第l-1层的输出
:第l层的输出
前向传播递推公式:
输入关系:
第一层的输入是样本数据,后续中间层的输入是前层的输出向量。
Loss函数可以看成是对各个权重和偏置的多元函数:
则:
计算图是将计算过程以图形形式表示,用于描述方程,常用于微分计算。它包含节点(变量)和边(操作)。反向传播(BP)利用链式法则求解网络中变量的偏导数,通过计算图中的路径来实现。计算图在神经网络和自动微分中有重要应用。
2034

被折叠的 条评论
为什么被折叠?



