目录
主要内容
该程序复现《多区域综合能源系统热网建模及系统运行优化》模型并进一步延伸,基于传热学的基本原理建立了区域热网能量传输通用模型,对热网热损方程线性化实现热网能量流建模,在冷热电联供系统运行优化模型基础上建立了含有热网的多区域 IES 优化混合整数线性规划模型,以从电网购电费用、向电网售电所得费用、燃气费、弃光成本和热网运行费用之和为目标,包括CCHP、热网和耦合关系约束条件,采用蒙特卡洛和kmeans聚类生成可再生能源出力随机优化场景,并将原确定性模型调整为日前确定、实时鲁棒优化模型。程序采用matlab+gurobi编程,本次对程序进行了修正优化,IES方向的同学可以下载学习!

本次主要对程序做了三方面的修正:
1.解决了求解速度慢的问题,通过优化程序代码,目前求解时间为5min左右。
2.修正了热功率失衡问题。
3.通过addpath命令应用解决了程序对文件夹依赖问题,程序下载后可直接运行,无需修改文件夹路径及名称。
部分代码
%上述模型为 0-1 混合整数线性规划模型,其中决策变量有:CCHP 中各设备出力、储能装置输入输出
% 电网购电、售电量、转换设备输入以及热网中各管段输入输出热功率。目前该模型已有成熟的求解算法
% 导入参数
%居民区 CCHP 1;
%商业区 CCHP 2
%工业区 CCHP 3
%办公区 CCHP 4
%--------------------------------------------------------------------------第一阶段
warning off
addpath('..\data')
addpath('..\子函数')
clc
clear
close all
Params = LoadParams();
NumOfScence = 3; % 场景数
NumOfDistract = 4; % 区域数
Params = WindSceneProduce(Params,NumOfScence,1000); % 光伏不确定性场景
p = ones(1,NumOfScence) /NumOfScence;
Preal = Params.CCHP1.P'; % 真实场景概率
R = 4; % 循环水泵的数量
StateParams = StateParamsInit(NumOfDistract);
% 主问题热网变量
StateTemData = cell(1,24);
for i = 1:24
StateTemData{i} = TemFlowRate(Params);
end
% 实时情况
DifferentScence = NowParamsInit(NumOfScence,NumOfDistract);
% 子问题热网变量
DifferentTemData = cell(1,NumOfScence);
for j = 1:NumOfScence
a = cell(1,24);
for i = 1:24
a{i} = TemFlowRate(Params);
end
DifferentTemData{j} = a;
end
clear a i j
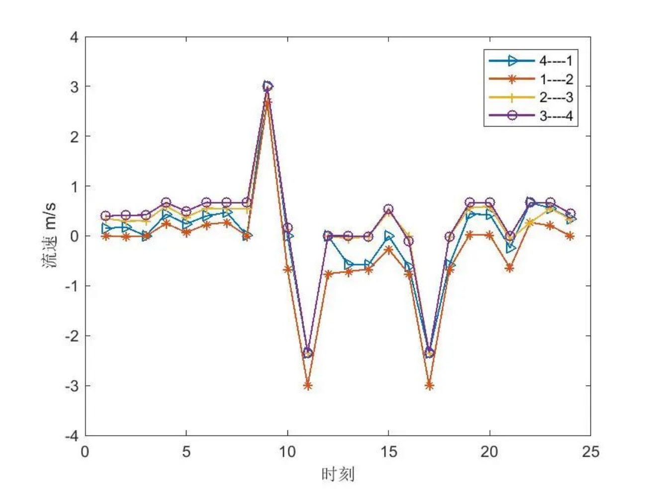
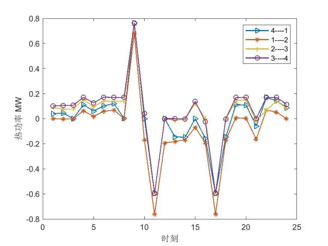
结果一览

主场景











由于出图结果较多,其他场景出图结果不再展示,有兴趣的可以获取程序源码进一步了解。
文章介绍了一个基于MATLAB和Gurobi的程序,用于复现和扩展能源系统模型,解决热网热损、热功率平衡问题,并实现CCHP与热网的耦合优化。程序经过修正,提高了求解速度和稳定性,适用于能源系统领域的研究和学习。
252

被折叠的 条评论
为什么被折叠?



