目录
主要内容
该程序复现《A Modified Binary PSO to solve the Thermal Unit Commitment Problem》,主要做的是一个考虑需求响应的机组组合问题,首先构建了机组组合问题的基本模型,在此基础上,进一步考虑负荷侧管理,也就是需求响应,在调控过程中通过补偿引导负荷侧积极进行需求响应,在模型的求解上,采用了一种基于改进二进制粒子群算法的求解方法,相较于传统的粒子群算法,更加创新,而且求解的效果更好,代码出图效果非常好。该程序函数比较多,主函数为Swarm_generator,运行结果已经保存在Graphs文件夹内部,可以通过运行Graphs.m直接得到出图结果。程序采用matlab编程,注释清楚,方便学习!

模型研究
1.改进二进制粒子群算法(BPSO)
该算法流程图如下所示:

BPSO算法已经细化了离散二元空间中的位置和速度的概念,可用来解决离散优化问题。通过流程图能够看出,BPSO算法大多数步骤与原始算法相同,唯一的区别是新的速度映射和位置更新过程:在BPSO算法中,速度的新解释作为概率值,而非原始算法中的绝对值,因此,对位置坐标进行加法也没有意义,具体新算法中速度-位置关系为:

其他变量涉及到连续型变量和二进制变量转化可采用映射函数方式,这种方式很多同学都不陌生,由此能够看出,二进制粒子群算法不仅可以处理01变量问题,同时也可以处理连续变量问题,应用范围非常广泛!
2.模型分析
日前机组组合优化背后的主要想法是确定一组发电机组(主要是TGU)的开/关状态,从而获得一个最佳的发电计划。该发电计划必须满足每个电力系统的要求,并必须考虑运行发电机组的内在物理限制。

围绕机组燃料成本最低为目标进行优化,这里成本函数是发电功率的二次函数。

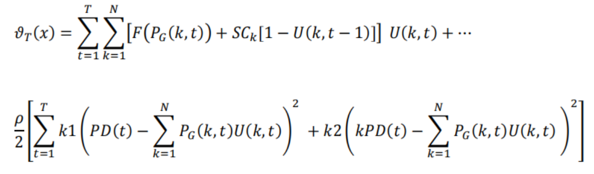
但是仅仅考虑燃料成本是不全面的,结合模型本身考量,需要增加启停成本这个目标,同时考虑到系统约束,目标函数设置如下:

这里将系统约束设置成罚函数的形式,通过罚函数确保求解得到的最优解满足约束条件。
结果一览
S和V分别代表不同的速度映射函数。









高峰时段负荷需求的减少是由于终端电能用户所采取的行动,因此,观察到的负荷变化是电力系统需求方所做的决策,这被称为需求响应(DR),最近,由于全球电力需求的增加,它已成为电力系统运行中的一个非常重要的概念。


本文介绍了一种改进的二进制粒子群算法(BPSO)在解决考虑需求响应的机组组合问题中的应用。通过Matlab实现的程序展示了如何利用BPSO优化发电计划,同时考虑燃料成本、启停成本和系统约束。结果表明,改进算法在实际问题中具有更好的性能。

被折叠的 条评论
为什么被折叠?



